MichaelVio

50 Reputation

5 Badges

6 years, 262 days

MaplePrimes Activity


These are replies submitted by MichaelVio

@sand15 

This is the equation E(nu):=Em+E0*ln(1+A*3.7653333333333333333*10^(-18)*nu)+ C*nu^2;

And if case 1) I gave up the negative Em condition?

case 2) I gave up all conditions except E(nu) positive for nu = [~10^4 to ~2.8*10^10]?

What is the value of A that I should start with so that the abs|Em| is the minimum possible, and the plot looks like shown above?

@dharr 

about phot1.mw, I can explain in the document file that works for photon, monopole, phonon, and  gamma-ray in Planck.docx

phot1.mwPlanck.docx

I look forward to your reply

Vio

@dharr 

In the case of just being diff(E(nu),nu) = g(nu,E(nu)), can it be solved?

What should be the equation exactly for a cuanta of space 4/3 Pi*rb^3, thus for Tq:=c/rb where rb is the Radius Bohr?

All good!

Vio

@dharr 

https://perso.crans.org/sylvainrey/Biblio%20Physique/Physique/Physique%20statistique/%5BLandau%2C%20Lifshitz%5D%2005%20Statistical%20Physics%20Part.1.pdf

https://perso.crans.org/sylvainrey/Biblio%20Physique/Physique/Physique%20statistique/%5BLandau%2C%20Lifshitz%5D%2005%20Statistical%20Physics%20Part.1.pdf

page 184

I hope it will work

All good!

Vio

@dharr 

If you search on Google, [1] Landau & Lifshitz Vol 9 Statistical Physics Cap 5 Paragraph 63 Black-body Radiation (63.4) page 184. You will find the document, but I reattached it

LandauLifsh.pdf

For 1, " you have both he(nu) and h(nu), but I assume you mean to solve the de that led to it, assuming he(nu)=h(nu)." It was a mistake. I apologize, there is only h(nu) I want to calculus h(nu) and Plot it !!!!

I reattached the Planck1.mw

For 2, "I am assuming that when you say 'fit, ' you mean find the single value of k*T that makes those two conditions true." Yes, I want the value of k*T for that 

 nu2 =9.733521364*10^16 =>h(nu2)= 3.348222989*10^(-17) eV*s and the same energy of 3.259eV for nu1 = 7.889275211*10^14 =>h(nu2)=4.135667697*10^(-15) eV*s

 Planck1.mw

I look froward to your's reply!

@dharr 

 for h(nu) with E=ν⸱h(nu). Thus, for nu2 =9.733521364*10^16 =>h(nu2)= 3.348222989*10^(-17) eV*s and the same energy of 3.259eV for nu1 = 7.889275211*10^14 =>h(nu2)=4.135667697*10^(-15) eV*s  With the partular case the plot 

with the supposition that k = 1/2 eV/K, thus kT=>1.380649*10^(-23)*297/(1.60217*10^(-19));
=0.02559, so kT should be the energy close to 0.5 and could be assimilated to an energy E0

1) I want to solve the equation he(nu) = -k*T*LambertW(((_C1 - Int(nu*h(nu), nu))*exp(-1))/(8*Pi*Tq*nu^2*k*T))/nu 

plot the solution for k=1/2      Planck.mw

2) and if it is possible to solve the k that fit  for nu2 =9.733521364*10^16 =>h(nu2)= 3.348222989*10^(-17) eV*s and the same energy of 3.259eV for nu1 = 7.889275211*10^14 =>h(nu2)=4.135667697*10^(-15) eV*s 

The calculus is according to [1] Landau & Lifshitz Vol 9 Statistical Physics Cap 5 Paragraph 63 Black-body Radiation (63.4) page 184.

Landau&Lifsh.pdf

@dharr 

Please advise on solving the Planck.mw and plot the solution for h(nu) with E=ν⸱h(nu). Thus, for nu2 =9.733521364*10^16 =>h(nu2)= 3.348222989*10^(-17) eV*s and the same energy of 3.259eV for nu1 = 7.889275211*10^14 =>h(nu2)=4.135667697*10^(-15) eV*s  With the partular case the plot 

with the supposition that k = 1/2 eV/K, thus kT=>1.380649*10^(-23)*297/(1.60217*10^(-19));
=0.02559, so kT should be the energy close to 0.5 and could be assimilated to an energy E0

[1]

restart;

with(PDEtools, dchange):with(plots):

with(Units):

Automatically loading the Units[Simple] subpackage
 

 

kernelopts(maxdigits);

38654705646

(1)

Digits:=10;

10

(2)

params:={k= 1.380649*10^(-23)*Unit(J/K),rb=5.293*10^(-11)*Unit(m),he=4.135667697*10^(-15)*Unit(eV*s),
ec= 1.602176634*10^(-19)*Unit(C),Tq=1.765*10^(-19)*Unit(s),
c= 299792458*Unit(m/s),T=297*Unit(K),nu1=7.880979442*10^14*Unit(s^(-1)),E1=3.259*Unit(eV)};

{E1 = 0.5221493608e-18*Units:-Unit(J), T = 297*Units:-Unit(K), Tq = 0.1765000000e-18*Units:-Unit(s), c = 299792458*Units:-Unit(m/s), ec = 0.1602176634e-18*Units:-Unit(C), he = 0.6626070096e-33*Units:-Unit(m^2*kg/s), k = 0.1380649000e-22*Units:-Unit(m^2*kg/(s^2*K)), nu1 = 0.7880979442e15*Units:-Unit(1/s), rb = 0.5293000000e-10*Units:-Unit(m)}

(3)

NV:=8*Pi*Tq*nu^2*he(nu)*nu/(exp(he(nu)*nu/(k*T) - 1));

8*Pi*Tq*nu^3*he(nu)/exp(he(nu)*nu/(k*T)-1)

(4)

E:=nu*h(nu);

nu*h(nu)

(5)

ic:=h(7.889275211*10^14)=4.135667697*10^(-15);

h(0.7889275211e15) = 0.4135667697e-14

(6)

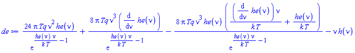
de:=diff(NV,nu)-h(nu)*nu;

24*Pi*Tq*nu^2*he(nu)/exp(he(nu)*nu/(k*T)-1)+8*Pi*Tq*nu^3*(diff(he(nu), nu))/exp(he(nu)*nu/(k*T)-1)-8*Pi*Tq*nu^3*he(nu)*((diff(he(nu), nu))*nu/(k*T)+he(nu)/(k*T))/exp(he(nu)*nu/(k*T)-1)-nu*h(nu)

(7)

dsolve({de});

{he(nu) = -k*T*LambertW((1/8)*(_C1-(Int(nu*h(nu), nu)))*exp(-1)/(Pi*Tq*nu^2*k*T))/nu}

(8)

#Thus, for k=3/2*k*T we have the solution

c:=299792458;nu1:=7.880979442*10^14;c/nu1;ec:= 1.602176634*10^(-19);k:= 1/2;E1:=3.259*ec;T:=297;Tq:=1.765*10^(-19);;he := h/ec;

299792458

 

0.7880979442e15

 

0.3804000000e-6

 

0.1602176634e-18

 

1/2

 

0.5221493650e-18

 

297

 

0.1765000000e-18

 

0.6241509074e19*h

(9)

NV:=8*Pi*Tq*nu^2*he(nu)*nu/(exp(he(nu)*nu/(k*T) - 1));

27.68689003*nu^3*h(nu)/exp(0.4203036413e17*nu*h(nu)-1)

(10)

ic1:=h(9.489275211*10^16)=4.135667697*10^(-17);

h(0.9489275211e17) = 0.4135667697e-16

(11)

de:=diff(NV,nu)-h(nu)*nu;

83.06067009*nu^2*h(nu)/exp(0.4203036413e17*nu*h(nu)-1)+27.68689003*nu^3*(diff(h(nu), nu))/exp(0.4203036413e17*nu*h(nu)-1)-27.68689003*nu^3*h(nu)*(0.4203036413e17*h(nu)+0.4203036413e17*nu*(diff(h(nu), nu)))/exp(0.4203036413e17*nu*h(nu)-1)-nu*h(nu)

(12)

evalf(simplify(dsolve({de,ic1},h(nu),series)));

h(nu) = series(0.4135667697e-16-0.4060327648e71635144604154866*(nu-0.9489275211e17)+0.3287671071e143270289208309765*(nu-0.9489275211e17)^2-0.3549395354e214905433812464664*(nu-0.9489275211e17)^3+0.4310949299e286540578416619563*(nu-0.9489275211e17)^4-0.5584961425e358175723020774462*(nu-0.9489275211e17)^5+O((nu-0.9489275211e17)^6),nu = 0.9489275211e17,6)

(13)

h0(nu):=convert(%,polynom);

h(nu) = 0.3852956650e71635144604154883-0.4060327648e71635144604154866*nu+0.3287671071e143270289208309765*(nu-0.9489275211e17)^2-0.3549395354e214905433812464664*(nu-0.9489275211e17)^3+0.4310949299e286540578416619563*(nu-0.9489275211e17)^4-0.5584961425e358175723020774462*(nu-0.9489275211e17)^5

(14)

odetest(h0(nu), [de,ic1], series);

Error, (in odetest/series) numeric exception: overflow

 

 

evalf(c/(3*10^(-9)));1/ec;

0.9993081933e17

 

0.6241509074e19

(15)

plot(h(nu),nu=10^14..1.2*10^17);

Warning, unable to evaluate the function to numeric values in the region; see the plotting command's help page to ensure the calling sequence is correct

 

 

#All we have to do is to fit the constant k=1/2 so for lambda=3.08nm and for lambda=380.4nm we have E=3.259 eV

9.733521364*10^16Hz & ;

 

restart; # With the particular case the plot below

with(PDEtools, dchange):with(plots):

with(Units):

Automatically loading the Units[Simple] subpackage
 

 

kernelopts(maxdigits);

38654705646

(16)

Digits:=20;

10

(17)

params:={k= 1.380649*10^(-23)*Unit(J/K),rb=5.293*10^(-11)*Unit(m),he=4.135667697*10^(-15)*Unit(eV*s),
ec= 1.602176634*10^(-19)*Unit(C),Tq=1.765*10^(-19)*Unit(s),
c= 299792458*Unit(m/s),T=297*Unit(K),nu1=7.880979442*10^14*Unit(s^(-1)),E1=3.259*Unit(eV)};

{E1 = 0.5221493608e-18*Units:-Unit(J), T = 297*Units:-Unit(K), Tq = 0.1765000000e-18*Units:-Unit(s), c = 299792458*Units:-Unit(m/s), ec = 0.1602176634e-18*Units:-Unit(C), he = 0.6626070096e-33*Units:-Unit(m^2*kg/s), k = 0.1380649000e-22*Units:-Unit(m^2*kg/(s^2*K)), nu1 = 0.7880979442e15*Units:-Unit(1/s), rb = 0.5293000000e-10*Units:-Unit(m)}

(18)

NV:=8*Pi*Tq*nu^2*he*nu/(exp(he*nu/(k*T) - 1));

8*Pi*Tq*nu^3*he/exp(he*nu/(k*T)-1)

(19)

E:=diff(NV,nu);

24*Pi*Tq*nu^2*he/exp(he*nu/(k*T)-1)-8*Pi*Tq*nu^3*he^2/(exp(he*nu/(k*T)-1)*k*T)

(20)

solve(E=0);

{T = T, Tq = Tq, he = he, k = k, nu = 0}, {T = T, Tq = Tq, he = 0, k = k, nu = nu}, {T = T, Tq = 0, he = he, k = k, nu = nu}, {T = (1/3)*he*nu/k, Tq = Tq, he = he, k = k, nu = nu}

(21)

#Thus, for k=3/2*k*T we have the solution

c:=299792458;nu1:=7.880979442*10^14;c/nu1;ec:= 1.602176634*10^(-19);k:= 1/2;E1:=3.259*ec;T:=297;Tq:=1.765*10^(-19);h := 6.62607015*10^(-34);he := h/ec;

299792458

 

0.7880979442e15

 

0.3804000000e-6

 

0.1602176634e-18

 

1/2

 

0.5221493650e-18

 

297

 

0.1765000000e-18

 

0.6626070150e-33

 

0.4135667697e-14

(22)

NV:=8*Pi*Tq*nu^2*he*nu/(exp(he*nu/(k*T) - 1));

0.1834552756e-31*nu^3/exp(0.2784961412e-16*nu-1)

(23)

NV;

0.1834552756e-31*nu^3/exp(0.2784961412e-16*nu-1)

(24)

eval(eval(NV,{E(nu)=E__nu1,nu=nu1}),params);

0.2387994260e14

(25)

E:=diff(NV,nu);

0.5503658268e-31*nu^2/exp(0.2784961412e-16*nu-1)-0.5109158634e-48*nu^3/exp(0.2784961412e-16*nu-1)

(26)

solve(E=0);

0., 0.1077214207e18

(27)

evalf(subs(nu=c/(3*10^(-9)),E));

6.682779197

(28)

evalf(c/(3*10^(-9)));1/ec;

0.9993081933e17

 

0.6241509074e19

(29)

plot(E,nu=10^14..1.2*10^17);

 

#All we have to do is to fit the constant k=1/2 so for lambda=3.08nm and for lambda=380.4nm we have B=3.259 eV

 

evalf(c/(9.993081933*10^16));evalf(c/(380*10^(-9)));evalf(subs(nu=c/(380.4*10^(-9)),E));evalf(subs(nu=c/(3.08*10^(-9)),E));

0.3000000001e-8

 

0.7889275211e15

 

0.9023714125e-1

 

9.086107279

(30)

evalf(c/(3.08*10^(-9)));evalf(c/(9.733521364*10^16));

0.9733521364e17

 

0.3079999999e-8

(31)

evalf(subs(nu=c/(345*10^(-9)),E));evalf(subs(nu=c/(315*10^(-9)),E));evalf(subs(nu=c/(10^4*10^(-9)),E));

 

 

Download Planck.mw

Cap 5 Paragraph 63 Black-body Radiation (63.4) page 184 . 

@dharr 

I have the first partial solution:

The equation that fits the dimensional units is   and we assume E-=ν⸱h. The LHS has dimensions of energy J (or eV), and the RHS we have Tq=[s] and ν^3=[s^-3]. The exponential is nondimensional, and h has dimension h=[J*s] Derive h with respect to t is [J*s/s] =[J]

h =[J*s]. Deriving h with respect to t is divided by seconds [J*s/s] =[J]. So RHS=LHS [J]

Please advice 

restart;

with(PDEtools, dchange):with(plots):

with(Units):

Automatically loading the Units[Simple] subpackage
 

 

kernelopts(maxdigits);

38654705646

(1)

Digits:=10;

10

(2)

params:={k= 1.380649*10^(-23)*Unit(J/K),rb=5.293*10^(-11)*Unit(m),he=4.135667697*10^(-15)*Unit(eV*s),
ec= 1.602176634*10^(-19)*Unit(C),Tq=1.765*10^(-19)*Unit(s),
c= 299792458*Unit(m/s),T=297*Unit(K),nu1=7.880979442*10^14*Unit(s^(-1)),E1=3.259*Unit(eV)};

{E1 = 0.5221493608e-18*Units:-Unit(J), T = 297*Units:-Unit(K), Tq = 0.1765000000e-18*Units:-Unit(s), c = 299792458*Units:-Unit(m/s), ec = 0.1602176634e-18*Units:-Unit(C), he = 0.6626070096e-33*Units:-Unit(m^2*kg/s), k = 0.1380649000e-22*Units:-Unit(m^2*kg/(s^2*K)), nu1 = 0.7880979442e15*Units:-Unit(1/s), rb = 0.5293000000e-10*Units:-Unit(m)}

(3)

NV:=8*Pi*Tq*nu^2*he*nu/(exp(he*nu/(k*T) - 1));

8*Pi*Tq*nu^3*he/exp(he*nu/(k*T)-1)

(4)

E:=diff(NV,nu);

24*Pi*Tq*nu^2*he/exp(he*nu/(k*T)-1)-8*Pi*Tq*nu^3*he^2/(exp(he*nu/(k*T)-1)*k*T)

(5)

solve(E=0);

{T = T, Tq = Tq, he = he, k = k, nu = 0}, {T = T, Tq = Tq, he = 0, k = k, nu = nu}, {T = T, Tq = 0, he = he, k = k, nu = nu}, {T = (1/3)*he*nu/k, Tq = Tq, he = he, k = k, nu = nu}

(6)

#Thus, for k=3/2*k*T we have the solution

c:=299792458;nu1:=7.880979442*10^14;c/nu1;ec:= 1.602176634*10^(-19);k:= 1/2;E1:=3.259*ec;T:=297;Tq:=1.765*10^(-19);h := 6.62607015*10^(-34);he := h/ec;

299792458

 

0.7880979442e15

 

0.3804000000e-6

 

0.1602176634e-18

 

1/2

 

0.5221493650e-18

 

297

 

0.1765000000e-18

 

0.6626070150e-33

 

0.4135667697e-14

(7)

NV:=8*Pi*Tq*nu^2*he*nu/(exp(he*nu/(k*T) - 1));

0.1834552756e-31*nu^3/exp(0.2784961412e-16*nu-1)

(8)

NV;

0.1834552756e-31*nu^3/exp(0.2784961412e-16*nu-1)

(9)

eval(eval(NV,{E(nu)=E__nu1,nu=nu1}),params);

0.2387994260e14

(10)

E:=diff(NV,nu);

0.5503658268e-31*nu^2/exp(0.2784961412e-16*nu-1)-0.5109158634e-48*nu^3/exp(0.2784961412e-16*nu-1)

(11)

solve(E=0);

0., 0.1077214207e18

(12)

evalf(subs(nu=c/(3*10^(-9)),E));

6.682779197

(13)

evalf(c/(3*10^(-9)));1/ec;

0.9993081933e17

 

0.6241509074e19

(14)

plot(B,nu=10^14..1.2*10^17);

 

#All we have to do is to fit the constant k=1/2 so for lambda=3.08nm and for lambda=380.4nm we have B=3.259 eV

 

evalf(c/(9.993081933*10^16));evalf(c/(380*10^(-9)));evalf(subs(nu=c/(380.4*10^(-9)),B));evalf(subs(nu=c/(3.08*10^(-9)),B));

0.3000000001e-8

 

0.7889275211e15

 

0.9023714125e-1

 

9.086107279

(15)

evalf(c/(3.08*10^(-9)));evalf(c/(9.733521364*10^16));

0.9733521364e17

 

0.3079999999e-8

(16)

evalf(subs(nu=c/(345*10^(-9)),B));evalf(subs(nu=c/(315*10^(-9)),B));evalf(subs(nu=c/(10^4*10^(-9)),B));

.1093758750

 

.1307980197

 

0.1343086142e-3

(17)

 

k:=0.4640872608;


Download phot.mw

@dharr 

The equation that fits the dimensional units is ; where t=1/ν and we assume E-=ν⸱h(nu). The LHS has dimensions of energy J (or eV), and the RHS we have Tq^3=[s^3] and ν^3=[s^-3]. The exponential is nondimensional, and h has dimension h=[J*s] Derive h with respect to t is [J*s/s] =[J]

h =[J*s]. Deriving h with respect to t is divided by seconds [J*s/s] =[J]. So RHS=LHS [J]

I'm working on the program and will be back soon.

@dharr 

In the case that I change the equation, like in file fot.mw

And change the equation so E(nu)=nu*h(nu) and d/d(nu)(E(nu))=nu*d/d(nu)(h(nu))+h(nu);

and the equation is:  

Could you do the plot?

restart;

with(PDEtools, dchange):with(plots):

with(Units):

Automatically loading the Units[Simple] subpackage
 

 

kernelopts(maxdigits);

38654705646

(1)

Digits:=30;

30

(2)

params:={k= 1.3806490000*10^(-23)*Unit(J/K),rb=5.293*10^(-11)*Unit(m),
ec= 1.602176634*10^(-19)*Unit(C),Tq=1.765*10^(-19)*Unit(s),
c= 299792458*Unit(m/s),T=297*Unit(K),a=1,nu1=7.880979442*10^15*Unit(s^(-1)),E1=3.259*Unit(eV)};

{E1 = 0.522149360725642886832993280287e-18*Units:-Unit(J), T = 297*Units:-Unit(K), Tq = 0.176500000000000000000000000000e-18*Units:-Unit(s), a = 1, c = 299792458*Units:-Unit(m/s), ec = 0.160217663400000000000000000000e-18*Units:-Unit(C), k = 0.138064900000000000000000000000e-22*Units:-Unit(m^2*kg/(s^2*K)), nu1 = 7880979442000000.000000000*Units:-Unit(1/s), rb = 0.529300000000000000000000000000e-10*Units:-Unit(m)}

(3)

c:=299792458;nu1:=7.880979442*10^15;c/nu1;ec:= 1.602176634*10^(-19);k:=1.3806490000*10^(-23);E1:=3.259;T:=297;Tq:=1.765*10^(-19);

299792458

 

7880979442000000.000000000

 

0.380400000033396864176212883463e-7

 

0.160217663400000000000000000000e-18

 

0.138064900000000000000000000000e-22

 

3.259

 

297

 

0.176500000000000000000000000000e-18

(4)

de:=nu*diff(h(nu),nu)+h(nu)=(((nu*h(nu)-Tq^2*8*Pi*nu*h(nu)/(exp(nu*h(nu)/(k*T)-1)))*(exp(nu*h(nu)/(k*T)-1))^2)/(Tq^2*8*Pi*nu)/(exp(nu*h(nu)/(k*T)-nu*h(nu)/(k*T))*((exp(nu*h(nu)/(k*T)))-nu*h(nu)/(k*T)*(exp(nu*h(nu)/(k*T)))-1)));

nu*(diff(h(nu), nu))+h(nu) = 0.127723473498619951824413776992e37*(nu*h(nu)-0.782941437942341091303183058694e-36*nu*h(nu)/exp(243871061146125264521.757765153*nu*h(nu)-1))*(exp(243871061146125264521.757765153*nu*h(nu)-1))^2/(nu*(exp(243871061146125264521.757765153*nu*h(nu))-243871061146125264521.757765153*nu*h(nu)*exp(243871061146125264521.757765153*nu*h(nu))-1.))

(5)

dsolve({de,h(nu1)=E1/nu1});

h(nu) = RootOf(-ln(nu)+ln(7880979442000000)+Int(-(1562500000000000000000000000000000000000000000000/3991358546831873494512930531)*(243871061146125264521757765153*_a*exp((243871061146125264521757765153/1000000000)*_a)-1000000000*exp((243871061146125264521757765153/1000000000)*_a)+1000000000)/(_a*(391470718971170545651591529347*exp((243871061146125264521757765153/1000000000)*_a-1)-500000000000000000000000000000000000000000000000000000000000000000*exp((243871061146125264521757765153/500000000)*_a-2))), _a = _b .. 407374999999999999999999999998338018199/125000000000000000000000000000000000000)-(Int(-(1562500000000000000000000000000000000000000000000/3991358546831873494512930531)*(243871061146125264521757765153*_a*exp((243871061146125264521757765153/1000000000)*_a)-1000000000*exp((243871061146125264521757765153/1000000000)*_a)+1000000000)/(_a*(391470718971170545651591529347*exp((243871061146125264521757765153/1000000000)*_a-1)-500000000000000000000000000000000000000000000000000000000000000000*exp((243871061146125264521757765153/500000000)*_a-2))), _a = _b .. _Z)))/nu

(6)

invals:=eval({f1=nu1*Tq,E1=E1/(k*T),f2=1e18*Unit(s^(-1))*Tq},params);

{f1 = 0.139099287151300000000000000000e-2, f2 = .176500000000000000000000000000*Units:-Unit(1/s), 0.522149360725642886832993280287e-18*Units:-Unit(J) = 794775788275222237076.408556634}

(7)

sol:=dsolve(eval({de,h(7.880979442*10^15)=4.135667697*10^(-15)},{a=1} union invals),h(nu),numeric,stiff=true);

Error, (in dsolve/numeric/SC/firststep) unable to evaluate the partial derivatives of f(x,y) for stiff solution

 

odeplot(sol,nu=eval(f1..f2,invals),labels=[nu/Tq,E/k/T]);

Error, (in Units:-Simple:-=) the following expressions imply incompatible dimensions: {nu = 0.139099287151300000000000000000e-2 .. .176500000000000000000000000000*Units:-Unit(1/s)}

 
 

Diff(sol(nu),nu);
dchange({nu=f/Tq},%,[f],'params'=Tq); # chain rule
dsdnu:=simplify(eval(%,sol(f)=sol_f));

Diff(sol(nu), nu)

 

0.176500000000000000000000000000e-18*(diff(sol(f), f))

 

0.

(8)

 E(nu):= (3.9965*10^(-15)*ln(nu)+8.941594733*10^(-20))

0.399650000000000000000000000000e-14*ln(nu)+0.894159473300000000000000000000e-19

(9)

plot(E(nu),nu=10^14..10^18);        

 

E(nu):= -(3.9965*10^(-30)*ln(1/nu)-8.941594733*10^(-20));        

-0.399650000000000000000000000000e-29*ln(1/nu)+0.894159473300000000000000000000e-19

(10)

plot(E(nu),nu=c*10^14..c*10^18);

Download fot.mw

Please fit the new vision to the file plg.mw to fulfill the work, and check with the old work.

Please apply the same method to verify it for the Gamma ray.

Download plg.mw

PGam.docxplgOld.mw

You are right, Professor Et is for the same energy, depending on the period of oscillation. Is the same energy with dependence on (t=1/nu), like the attached file...

Download plm4.mw

PEdoc.docx

Details are provided in the attached document for the proper equation.

Please advice.

It's ok, "I would propose writing e=E/kT as a dimensionless energy." YES

Thanks for the dimensional analysis.

Could we move on?

I'm looking forward to your suggestions!

Tq is in seconds

rb in meter 

E in Joule

c in m/s

V = volume in m^3

N*V=J*s^3/m^3

k constant Boltzmann

si ec electron change 

And we can have as an Initial condition Nu 1 with the energy that I specify; or a boundary condition

Nu2:= 9.993081933*10^16 => E:= 0.

Please advice 

1 2 3 Page 1 of 3