acer

32587 Reputation

29 Badges

20 years, 37 days
Ontario, Canada

Social Networks and Content at Maplesoft.com

MaplePrimes Activity


These are answers submitted by acer

I suggest that you keep the .mla archive libirary files all in one common directory, and use the subdirectory structure for the various source files.

As for how to manage the subdirectories, I sometimes do it as follows:

I have my various packages' module (parent) definition files in a common location, eg.
    src/pack1.mpl
    src/pack2.mpl

The src/pack1.mpl file looks like this,

pack1 := module()
   export f1,f2;
   local f3;
$include "../pack1/src/f1.mm"
$include "../pack1/src/f2.mm"
$include "../pack1/src/f3.mm"
   end module;

And similarly for the src/pack2.mpl file.

All in all, I get the following

   lib/pack1.mla
   lib/pack2.mla
   src/pack1.mpl       # module defn
   src/pack2.mpl       # module defn
   pack1/src/f1.mm   # module member, eg. proc defn or submodule defn
   pack1/src/f2.mm   # proc defn
   pack2/src/g1.mm   # proc defn
   pack2/src/g1.mm   # proc defn

This way I only have to have that single top "src" directory in the include-path. The other files are picked up when I read either of the two parent .mpl files because I used relative names in the $include directives. I don't ever have to concern myself with "searching" for parent source files, or adding multiple locations to the include path.

And I only have a single location added to libname.

(Eventually I move the .mla files over to a ($HOME)/maple/toolbox subdirectory  on my machine, so that libname gets augmented automagically.  I seldom bundle them up as a package redistributable via the Maple Cloud or someone else's Maple GUI, but if I did I would never use a Maple workbook as the only copy of my sources.)

[edit] You might wonder why I bother at all with having the files in a "src" subdirectory. It's because I also have "doc" and "tst" subdirectories at those same levels, for documention&notes and for unit test files.

You can alter various aspects of this, to suit your taste.

plot(0, sample=[$1..10], adaptive=false, color=blue,
     style=point, symbolsize=25, symbol=solidcircle,
     axis[1]=[tickmarks=[$1..10], color=black],
     axis[2]=[tickmarks=[], color=white],
     view=[0..10,default], size=[600,75]);
 

Download 1d_numberline.mw

It's not the only way to get such an effect.

If you already have some existing, computed list of points (which does not simply include all the naturals up to some number), then the above code can be adjusted to get a few alternate appearances. [Thanks, dharr, for referencing this case.]

For example,

pts := [1, 3, 5, 9]:

plot(0, sample=pts, adaptive=false, color=blue,
     style=point, symbolsize=25, symbol=solidcircle,
     axis[1]=[tickmarks=[$1..10], color=black],
     axis[2]=[tickmarks=[], color=white],
     view=[0..10,default], size=[600,75]);
 

plot(0, sample=pts, adaptive=false, color=blue,
     style=point, symbolsize=25, symbol=solidcircle,
     axis[1]=[tickmarks=pts, color=black],
     axis[2]=[tickmarks=[], color=white],
     view=[0..10,default], size=[600,75]);

Download 1d_numberline2.mw

Your syntax for creation of Arrays for A and B is faulty. Your code creates them as lists, not Arrays.

Also the approach of using of a loop to repeatedly augment a list is inefficient. And you ended up with name t being assigned a numeric value, which then makes using the F formula awkward.

Here is one (of several) ways get it:

restart;

with(SignalProcessing):with(plots):

omega:=10*2*Pi:

F:=add(n/5*cos(n*omega*t),n=1..5);

(1/5)*cos(20*Pi*t)+(2/5)*cos(40*Pi*t)+(3/5)*cos(60*Pi*t)+(4/5)*cos(80*Pi*t)+cos(100*Pi*t)

X:=0.01;Y:=0.5

0.1e-1

.5

A:=Array([seq(0..Y,X)]);

A := Array(1..51, {(1) = 0, (2) = 0.1e-1, (3) = 0.2e-1, (4) = 0.3e-1, (5) = 0.4e-1, (6) = 0.5e-1, (7) = 0.6e-1, (8) = 0.7e-1, (9) = 0.8e-1, (10) = 0.9e-1, (11) = .10, (12) = .11, (13) = .12, (14) = .13, (15) = .14, (16) = .15, (17) = .16, (18) = .17, (19) = .18, (20) = .19, (21) = .20, (22) = .21, (23) = .22, (24) = .23, (25) = .24, (26) = .25, (27) = .26, (28) = .27, (29) = .28, (30) = .29, (31) = .30, (32) = .31, (33) = .32, (34) = .33, (35) = .34, (36) = .35, (37) = .36, (38) = .37, (39) = .38, (40) = .39, (41) = .40, (42) = .41, (43) = .42, (44) = .43, (45) = .44, (46) = .45, (47) = .46, (48) = .47, (49) = .48, (50) = .49, (51) = .50})

B:=Array([seq(F,t=0..Y,X)]);

B := Array(1..51, {(1) = 3, (2) = -1.547213596, (3) = .5000000003, (4) = -.6527864051, (5) = .5000000028, (6) = -.6000000000, (7) = .4999999973, (8) = -.6527864066, (9) = .5000000010, (10) = -1.547213590, (11) = 3.000000000, (12) = -1.547213594, (13) = .5000000048, (14) = -.6527864056, (15) = .4999999987, (16) = -.6000000000, (17) = .5000000023, (18) = -.6527863990, (19) = .4999999936, (20) = -1.547213586, (21) = 3.000000000, (22) = -1.547213599, (23) = .5000000034, (24) = -.6527864063, (25) = .5000000022, (26) = -.6000000000, (27) = .4999999989, (28) = -.6527863994, (29) = .4999999892, (30) = -1.547213580, (31) = 3.000000000, (32) = -1.547213604, (33) = .4999999897, (34) = -.6527864153, (35) = .4999999964, (36) = -.6000000000, (37) = .5000000047, (38) = -.6527863987, (39) = .4999999562, (40) = -1.547213587, (41) = 3.000000000, (42) = -1.547213579, (43) = .5000000338, (44) = -.6527864182, (45) = .4999999880, (46) = -.6000000000, (47) = .4999999849, (48) = -.6527863804, (49) = .4999999960, (50) = -1.547213619, (51) = 3.000000000})

pointplot(<A,B>,connect=true);

DD := DFT(B);

DD := Array(1..51, {(1) = .42008402179171944+.0*I, (2) = .42175153453166814+0.260127386732813e-1*I, (3) = .4273854433108563+0.529217918211225e-1*I, (4) = .439904132785008+0.8223233375459758e-1*I, (5) = .47323108886278337+.11902238832572307*I, (6) = 1.0877924551184714+.3460516889265493*I, (7) = .3569320370031822+.1382762050895581*I, (8) = .4148338889065726+.1908538823428024*I, (9) = .4619399099671241+.2480565000272187*I, (10) = .5560941614839366+.3443189070181002*I, (11) = 1.4698363115945032+1.0404755675645527*I, (12) = .1354050516836275+.10896003639239854*I, (13) = .3109084304533812+.28343048302699486*I, (14) = .3994997970246128+.4119978120383033*I, (15) = .532233172411374+.6212251967601387*I, (16) = 1.3813301699553153+1.8291767721959242*I, (17) = -.14619781495367054-.22063465161597345*I, (18) = .14702941821882043+.254662412254526*I, (19) = .251510503173138+.5051011909405684*I, (20) = .3632279493696535+.8581599783585913*I, (21) = .8576247440707302+2.433762362192655*I, (22) = -.24629996741195287-.8656546262097845*I, (23) = 0.3677142408705413e-1+.1679034515700907*I, (24) = .10208684041263871+.6576543746261295*I, (25) = .12844054276315037+1.3860942388899873*I, (26) = .13882940709643427+4.50603323174799*I, (27) = .13882940709643493-4.50603323174799*I, (28) = .12844054276315028-1.3860942388899873*I, (29) = .10208684041263884-.6576543746261296*I, (30) = 0.36771424087054055e-1-.16790345157009076*I, (31) = -.2462999674119529+.8656546262097844*I, (32) = .8576247440707302-2.433762362192655*I, (33) = .36322794936965364-.858159978358591*I, (34) = .25151050317313806-.5051011909405685*I, (35) = .14702941821882043-.254662412254526*I, (36) = -.1461978149536705+.22063465161597343*I, (37) = 1.3813301699553155-1.829176772195924*I, (38) = .532233172411374-.6212251967601383*I, (39) = .3994997970246128-.41199781203830343*I, (40) = .3109084304533811-.2834304830269948*I, (41) = .13540505168362754-.10896003639239851*I, (42) = 1.4698363115945032-1.0404755675645527*I, (43) = .5560941614839372-.34431890701810014*I, (44) = .46193990996712386-.24805650002721866*I, (45) = .41483388890657275-.1908538823428024*I, (46) = .35693203700318216-.13827620508955804*I, (47) = 1.0877924551184714-.3460516889265493*I, (48) = .47323108886278337-.11902238832572289*I, (49) = .43990413278500806-0.8223233375459792e-1*I, (50) = .4273854433108562-0.52921791821123e-1*I, (51) = .42175153453166814-0.2601273867328127e-1*I}, datatype = complex[8])

 

Download DFT_Test_ac.mw

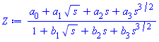
The following might get you started, at least for steps 1-3.

Step 4 does not seem to allow for the fact that the names R__ct,R__s,R__w,C__dl, and omega can be expressed in terms of the a[i] and b[i] in more than one way. Below is a solution (with a check on it), but it may not be the same choice of representation by a[i] and b[i] that you want(?).

restart

with(numapprox)

Y := 1/(R__s+1/(s*C__dl+1/(R__ct+1/(sqrt(s)/sigma+1/R__w))))

1/(R__s+1/(s*C__dl+1/(R__ct+1/(s^(1/2)/sigma+1/R__w))))

padey := pade(Y, x = sqrt(s), [1, 1])

(C__dl*s^(3/2)*R__ct*R__w+C__dl*R__ct*s*sigma+C__dl*R__w*s*sigma+s^(1/2)*R__w+sigma)/(C__dl*s^(3/2)*R__ct*R__s*R__w+C__dl*R__ct*R__s*s*sigma+C__dl*R__s*R__w*s*sigma+s^(1/2)*R__ct*R__w+s^(1/2)*R__s*R__w+R__ct*sigma+R__s*sigma+sigma*R__w)

The padey2 term isn't really needed. I include it to match the given document.

padey2 := sort(collect(padey, s, factor), order = plex(s), ascending)

(sigma+R__w*s^(1/2)+C__dl*sigma*(R__ct+R__w)*s+C__dl*R__ct*R__w*s^(3/2))/(sigma*(R__ct+R__s+R__w)+R__w*(R__ct+R__s)*s^(1/2)+C__dl*R__s*sigma*(R__ct+R__w)*s+C__dl*R__ct*R__s*R__w*s^(3/2))

padey3 := sort(collect(padey, s, proc (u) options operator, arrow; simplify(u/(sigma*(R__ct+R__s+R__w))) end proc), order = plex(C__dl, s), ascending)

(1/(R__ct+R__s+R__w)+R__w*s^(1/2)/(sigma*(R__ct+R__s+R__w))+(R__ct+R__w)*C__dl*s/(R__ct+R__s+R__w)+R__ct*R__w*C__dl*s^(3/2)/(sigma*(R__ct+R__s+R__w)))/(1+R__w*(R__ct+R__s)*s^(1/2)/(sigma*(R__ct+R__s+R__w))+R__s*(R__ct+R__w)*C__dl*s/(R__ct+R__s+R__w)+R__ct*R__s*R__w*C__dl*s^(3/2)/(sigma*(R__ct+R__s+R__w)))

N, M := op(padey3)

One way to get the equations from padey3:
eqs := {seq(a[i-1] = eval(op(i, N), s = 1), i = 1 .. nops(N)), seq(b[i-1] = eval(op(i, 1/M), s = 1), i = 1 .. nops(1/M))}

{a[0] = 1/(R__ct+R__s+R__w), a[1] = R__w/(sigma*(R__ct+R__s+R__w)), a[2] = (R__ct+R__w)*C__dl/(R__ct+R__s+R__w), a[3] = R__ct*R__w*C__dl/(sigma*(R__ct+R__s+R__w)), b[0] = 1, b[1] = R__w*(R__ct+R__s)/(sigma*(R__ct+R__s+R__w)), b[2] = R__s*(R__ct+R__w)*C__dl/(R__ct+R__s+R__w), b[3] = R__ct*R__s*R__w*C__dl/(sigma*(R__ct+R__s+R__w))}

Another way to get the equations from padey3:
temp1 := `assuming`([map(evala, eval(N, s = s^2))], [s > 0]); temp2 := `assuming`([map(evala, eval(1/M, s = s^2))], [s > 0]); eqs := {seq(a[i] = coeff(temp1, s, i), i = 0 .. 3), seq(b[i] = coeff(temp2, s, i), i = 0 .. 3)}

{a[0] = 1/(R__ct+R__s+R__w), a[1] = R__w/(sigma*(R__ct+R__s+R__w)), a[2] = (R__ct+R__w)*C__dl/(R__ct+R__s+R__w), a[3] = R__ct*R__w*C__dl/(sigma*(R__ct+R__s+R__w)), b[0] = 1, b[1] = R__w*(R__ct+R__s)/(sigma*(R__ct+R__s+R__w)), b[2] = R__s*(R__ct+R__w)*C__dl/(R__ct+R__s+R__w), b[3] = R__ct*R__s*R__w*C__dl/(sigma*(R__ct+R__s+R__w))}

U := simplify(eliminate(eqs, [R__s, C__dl, R__ct, sigma, R__w, a[3], b[3]]))

ans := Equate([R__s, C__dl, R__ct, sigma, R__w], eval([R__s, C__dl, R__ct, sigma, R__w], U[1]))

[R__s = b[2]/a[2], C__dl = -a[2]^2/(a[0]*b[2]-a[2]), R__ct = (-a[1]*b[2]+a[2]*b[1])/(a[2]*a[1]), sigma = (-a[0]*b[1]+a[1])/a[1]^2, R__w = (-a[0]*b[1]+a[1])/(a[1]*a[0])]

W := Equate(simplify(eval([a[3], b[3]], U[1])), [a[3], b[3]])

[a[2]*(a[1]*b[2]-a[2]*b[1])/(a[0]*b[2]-a[2]) = a[3], b[2]*(a[1]*b[2]-a[2]*b[1])/(a[0]*b[2]-a[2]) = b[3]]

Z := sort(collect(simplify(eval(N, ans), W), s), order = plex(s), ascending)/sort(collect(simplify(eval(1/M, ans), W), s), order = plex(s), ascending)

(a[0]+a[1]*s^(1/2)+a[2]*s+a[3]*s^(3/2))/(1+b[1]*s^(1/2)+b[2]*s+b[3]*s^(3/2))

Download maple_attempt_ac.mw

The six periodic values have two sets of three, negations of each other.

The two sets of three can be alternately obtained by setting the parameter in the solve(...,allsolutions) result to either an odd or even integer.

Below I set that parameter (eg. _Z1) to 1, though I also have merged both sets of three from using both 1 and 0.

We can sort the roots of the derivative by the values that would attain by substitution into the original expression. This allows us to pick off a value of t which attains the maximal value.

There doesn't seem to be any simplification benefit to conversion to exp&ln, with a larger form as well as the presence of I the imaginary unit.

The optimal symbolic values below for both t and the expression seem reasonably compact.

restart;

expr:=sin(sqrt(3)*t)*cos(sqrt(3)*t)*(sqrt(3)*cos(sqrt(3)*t) - sin(sqrt(3)*t))/3;

(1/3)*sin(3^(1/2)*t)*cos(3^(1/2)*t)*(3^(1/2)*cos(3^(1/2)*t)-sin(3^(1/2)*t))

S:=[solve(diff(expr,t),t,allsolutions)]:
v:=indets(S,suffixed(_Z))[1];

_Z1

plots:-display(
  plots:-pointplot([seq(Re~(evalf([s,eval(expr,[t=s])])),s=simplify(S,{v=1}))],
                   symbol=solidcircle,symbolsize=15,color=blue),
  plot(expr,t=-2*Pi..2*Pi), size=[600,300])

H:=simplify(evalc(simplify(S,{v=1}))):

HH := sort(H, (a,b)->is(eval(expr,t=a)>eval(expr,t=b))):

t_opt := HH[1];

-(1/3)*3^(1/2)*(arctan(2^(1/2)*cos((1/3)*arctan((1/19)*503^(1/2)))+3^(1/2)*2^(1/2)*sin((1/3)*arctan((1/19)*503^(1/2)))-(2/3)*3^(1/2))-Pi)

evalf( eval(expr, t=t_opt) );

.3242632442

expr_opt := combine(expand(eval(expr, t=t_opt)));

-(1/9)*(-6*3^(1/2)*sin((2/3)*arctan((1/19)*503^(1/2)))+3*2^(1/2)*sin((1/3)*arctan((1/19)*503^(1/2)))+cos((1/3)*arctan((1/19)*503^(1/2)))*6^(1/2)+6*cos((2/3)*arctan((1/19)*503^(1/2)))-10)/(-(4/3)*cos((1/3)*arctan((1/19)*503^(1/2)))*6^(1/2)+2*3^(1/2)*sin((2/3)*arctan((1/19)*503^(1/2)))-4*2^(1/2)*sin((1/3)*arctan((1/19)*503^(1/2)))-2*cos((2/3)*arctan((1/19)*503^(1/2)))+19/3)^(3/2)

 

Download some_trig_opt.mw

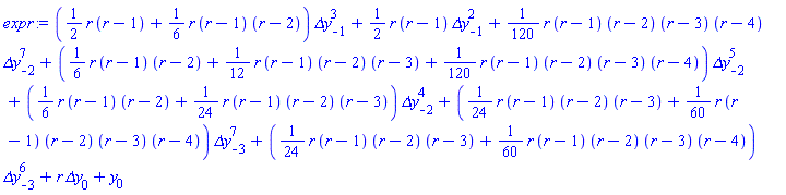
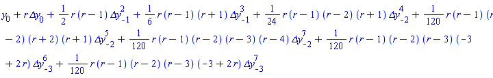
The following sorts, in ascending order of exponents, by the indexed `&Delta;y` names taken in descending order of index.

I used `collect` to first factor the coefficients of those names.

The result seems to match what you gave as target form.

(I used Maple 2015.)

restart;

expr := ((1/2)*r*(r-1)+(1/6)*r*(r-1)*(r-2))*`&Delta;y`[-1]^3+(1/2)*r*(r-1)*`&Delta;y`[-1]^2+(1/120)*r*(r-1)*(r-2)*(r-3)*(r-4)*`&Delta;y`[-2]^7+((1/6)*r*(r-1)*(r-2)+(1/12)*r*(r-1)*(r-2)*(r-3)+(1/120)*r*(r-1)*(r-2)*(r-3)*(r-4))*`&Delta;y`[-2]^5+((1/6)*r*(r-1)*(r-2)+(1/24)*r*(r-1)*(r-2)*(r-3))*`&Delta;y`[-2]^4+((1/24)*r*(r-1)*(r-2)*(r-3)+(1/60)*r*(r-1)*(r-2)*(r-3)*(r-4))*`&Delta;y`[-3]^7+((1/24)*r*(r-1)*(r-2)*(r-3)+(1/60)*r*(r-1)*(r-2)*(r-3)*(r-4))*`&Delta;y`[-3]^6+r*`&Delta;y`[0]+y[0];

((1/2)*r*(r-1)+(1/6)*r*(r-1)*(r-2))*`&Delta;y`[-1]^3+(1/2)*r*(r-1)*`&Delta;y`[-1]^2+(1/120)*r*(r-1)*(r-2)*(r-3)*(r-4)*`&Delta;y`[-2]^7+((1/6)*r*(r-1)*(r-2)+(1/12)*r*(r-1)*(r-2)*(r-3)+(1/120)*r*(r-1)*(r-2)*(r-3)*(r-4))*`&Delta;y`[-2]^5+((1/6)*r*(r-1)*(r-2)+(1/24)*r*(r-1)*(r-2)*(r-3))*`&Delta;y`[-2]^4+((1/24)*r*(r-1)*(r-2)*(r-3)+(1/60)*r*(r-1)*(r-2)*(r-3)*(r-4))*`&Delta;y`[-3]^7+((1/24)*r*(r-1)*(r-2)*(r-3)+(1/60)*r*(r-1)*(r-2)*(r-3)*(r-4))*`&Delta;y`[-3]^6+r*`&Delta;y`[0]+y[0]

S:=sort([indets(expr,specindex(`&Delta;y`))[]], (a,b)->op(1,a)<=op(1,b)):

sort(collect(expr,S,factor),
     order=plex(S[]), ascending);

y[0]+r*`&Delta;y`[0]+(1/2)*r*(r-1)*`&Delta;y`[-1]^2+(1/6)*r*(r-1)*(r+1)*`&Delta;y`[-1]^3+(1/24)*r*(r-1)*(r-2)*(r+1)*`&Delta;y`[-2]^4+(1/120)*r*(r-1)*(r-2)*(r+2)*(r+1)*`&Delta;y`[-2]^5+(1/120)*r*(r-1)*(r-2)*(r-3)*(r-4)*`&Delta;y`[-2]^7+(1/120)*r*(r-1)*(r-2)*(r-3)*(-3+2*r)*`&Delta;y`[-3]^6+(1/120)*r*(r-1)*(r-2)*(r-3)*(-3+2*r)*`&Delta;y`[-3]^7

Download sort_collect.mw

You could send an email to Maplesoft's Technical Support team, at,
     support@maplesoft.com

They'll want to know your Operating System and Maple version number.

Or you could fill out this form.

I'd suggest that using 1D (plaintext) Maple Notation would be one good alternative. If you do that then you can use the arrow notation in the input, to enter the operator, while also using the local declaration.

If you really need to use 2D Input then you could enter it using proc()...end, and optionally throw the procedure options arrow,operator on and get it nicely pretty-printed as output.

This illustrates the warning messages for these expressions.

Omega := proc (a::list) options operator, arrow; (-1)^add(a[i]-1, i = 1 .. nops(a)) end proc; `&Omega;__rev` := proc (a::list) options operator, arrow; (-1)^add(a[i]-i, i = 1 .. nops(a)) end proc

Warning, (in Omega) `i` is implicitly declared local

Warning, (in Omega__rev) `i` is implicitly declared local

proc (a::list) local i; options operator, arrow; (-1)^add(a[i]-1, i = 1 .. nops(a)) end proc

proc (a::list) local i; options operator, arrow; (-1)^add(a[i]-i, i = 1 .. nops(a)) end proc

Omega := proc (a::list) local i; (-1)^add(a[i]-1, i = 1 .. nops(a)) end proc

proc (a::list) local i; (-1)^add(a[i]-1, i = 1 .. nops(a)) end proc

Omega := proc (a::list) local i; options arrow, operator; (-1)^add(a[i]-1, i = 1 .. nops(a)) end proc

proc (a::list) local i; options operator, arrow; (-1)^add(a[i]-1, i = 1 .. nops(a)) end proc

Download warningmessage_ac.mw

As you noticed, the local declation is not yet fully supported for the arrow notation in 2D Input.

The name x is a parameter of your procedure IPM.

But there is a statement in IPM which attempts to perform,
   x := x/ix;
which is an assignment that is not allowed when x has been passed in with a value (here, a Vector).

You could change the name of the procedural parameter to, say xin, and have the procedure assign xin to a new local named x at its beginning. The rest of IPM would then be able to assign to that local x or use its running value.

IOMMcode_ac.mw

I will submit a bug report against the original result you obtained from int, which throws an error even under a call to normal.

However, forcing a particular method, in Maple 2022.2,

restart;

f:=1/(3*u^(2/3)+3*((-4*u^(1/3)+1)*u^(4/3))^(1/2)-12*u);

1/(3*u^(2/3)+3*((-4*u^(1/3)+1)*u^(4/3))^(1/2)-12*u)

anti := int(f,u,method=derivativedivides)

(1/4)*ln((4*u-u^(2/3)+(-(4*u^(1/3)-1)*u^(4/3))^(1/2))/(u^(2/3)*(-4*u^(1/3)+1)^(1/2)))-(1/4)*ln((-4*u+u^(2/3)+(-(4*u^(1/3)-1)*u^(4/3))^(1/2))/(u^(2/3)*(-4*u^(1/3)+1)^(1/2)))-(1/4)*ln(4*u^(1/3))

MmaTranslator:-Mma:-LeafCount(anti);

85

simplify( f - diff(anti,u) );

0

Download indef_int_ex05.mw

Did you call fclose or fflush (or restart)?

If not, then buffered results may not yet be flushed to the file.

Another possibility is that currentdir() is not what you expecting. That's a Maple command.

You could use,

    1+ilog2(n)

Eg,

    1+ilog2(22);

              5

For base 3 you might use the following,

   nops(convert(n,base,3));

and you might be able to use the following for positive integers,

   1+trunc(log[3](Float(n,0)))

Test, to make sure I haven't made mistakes.

For some reason the Sliders don't appear when the worksheet is inlined in this discussion forum. But they're there in the .mw file. You need to execute the definition of F, for it to work.

You should easily be able to add a textplot at the end-point of the 4th arrow.

restart;

with(plots):

F := proc(a,b,c)
  local w:=5, arropts := (':-width'=w,':-head_length'=20);
  uses plots, ColorTools;
  display(arrow(<0,0,0>,<255.0,0.0,0.0>,':-color'="red",arropts),
          arrow(<0,0,0>,<0.0,255.0,0.0>,':-color'="green",arropts),
          arrow(<0,0,0>,<0.0,0.0,255.0>,':-color'="blue",arropts),
          arrow(<0,0,0>,<a,b,c>,':-color'=Color([a,b,c]),arropts),
          ':-view'=[-5..255+w,-10..255+w,-w..255+w],':-axes=none',
          map(L->plottools:-line(L[],':-color'="808080",':-thickness'=3,
                                 ':-linestyle'=':-dot'),
              [[[0,255,255],[0,0,255]],[[0,255,255],[0,255,0]],
               [[255,255,0],[255,0,0]],[[255,255,0],[0,255,0]],
               [[255,0,255],[0,0,255]],[[255,0,255],[255,0,0]],
               [[255,255,255],[255,0,255]],[[255,255,255],[255,255,0]],
               [[255,255,255],[0,255,255]]]),
          ':-orientation'=[-70,75,0], ':-size'=[700,700]);
end proc:

Explore(F(red,green,blue),
        ':-parameters'=[[red=0..255],
                    [green=0..255],
                    [blue=0..255]],
        ':-initialvalues'=[red=217,green=43,blue=143],
        ':-placement'=':-left', width=700);

 

 

 

 

red

 

 

 

 

green

 

 

 

 

blue

 

 

 

 

 

 

 

 

 

 

 

 

 

 

Download expl_rgb.mw

And here is a version that creates it in a new Tab in the GUI (new worksheet). This should subsequently run-standalone, as the definition of procedure F gets put into the Startup Region of that sheet.

Download expl_rgb_mkalone.mw

You might call Optimization:-Maximize on a range restricted to close to a peak. This can be performed on a simplification of abs(q) that is real-valued with less imaginary roundoff noise (artefact).

For example, using Maple 18.02,

restart

kernelopts(version);

`Maple 18.02, X86 64 LINUX, Oct 20 2014, Build ID 991181`

with(plots):

q := -(-518445+187776*x^4+4096*x^6-48932352*t^2+30670848*t^6-3939840*x^2-13559808*t^4-84934656*t^8-2048*sqrt(2)*x^7+14352384*t^4*x^2+3801088*t^3*x^3+638976*t^2*x^4+49152*t*x^5-14024704*t^4*x^4-589824*t^2*x^6-65536*t*x^7+29097984*t^5*x-113246208*t^7*x-40894464*t^5*x^3-84934656*t^6*x^2-15759360*t*x-3407872*t^3*x^5-85843968*sqrt(2)*t^5-2047860*sqrt(2)*x+4126464*sqrt(2)*t^3+(294912*I)*t^5+(8702976*I)*t^3-(1440*I)*t-4095720*sqrt(2)*t-1064960*sqrt(2)*t^3*x^4-7667712*sqrt(2)*t^5*x^2-221184*sqrt(2)*t^2*x^5-10616832*sqrt(2)*t^6*x-3506176*sqrt(2)*t^4*x^3-28672*sqrt(2)*t*x^6+4700160*sqrt(2)*t^2*x^3+(84934656*I)*t^6*x-(245760*I)*t^2*x^3+3917952*sqrt(2)*t^2*x-1658880*sqrt(2)*t^3*x^2-53096448*sqrt(2)*t^4*x+1391040*sqrt(2)*t*x^2+1866240*sqrt(2)*t*x^4-(835584*I)*t^3*x^2-(1376256*I)*t^4*x+(53035008*I)*sqrt(2)*t^4+(49152*I)*t*x^6+(589824*I)*t^2*x^5+(17301504*I)*t^4*x^3+(4128768*I)*t^3*x^4+(7077888*I)*sqrt(2)*t^6+(541440*I)*sqrt(2)*t^2+(49545216*I)*t^5*x^2+(2193408*I)*sqrt(2)*t*x^3+(44064768*I)*sqrt(2)*t^3*x+(13160448*I)*sqrt(2)*t^2*x^2+(4325376*I)*sqrt(2)*t^4*x^2+(1376256*I)*sqrt(2)*t^3*x^3+(270720*I)*sqrt(2)*t*x+(8257536*I)*sqrt(2)*t^5*x+1502208*t*x^3+211968*t^2*x^2-11169792*t^3*x+186624*sqrt(2)*x^5+231840*sqrt(2)*x^3-7077888*sqrt(2)*t^7-4096*x^8)*exp(I*(3*t-x))/(-518409+91968*x^4-512*x^6-145440*t^2-884736*t^6-34776*x^2-7449600*t^4-1024*sqrt(2)*x^7-516096*t^4*x^2-180224*t^3*x^3-43008*t^2*x^4-6144*t*x^5-884736*t^5*x-139104*t*x-307200*sqrt(2)*t^5-1045458*sqrt(2)*x-950400*sqrt(2)*t^3-2090916*sqrt(2)*t+(7077888*I)*t^7-(1105920*I)*sqrt(2)*t^2*x^2-(184320*I)*sqrt(2)*t*x^3+(69120*I)*sqrt(2)*t*x+(1728*I)*t*x^2+(12288*I)*t^2*x^3+(6912*I)*t^2*x-(245760*I)*t^4*x-(36864*I)*t^3*x^2+(7372800*I)*sqrt(2)*t^4+(1536*I)*t*x^4+(49152*I)*t^2*x^5+(4096*I)*t*x^6+(344064*I)*t^3*x^4+(4128768*I)*t^5*x^2+(1441792*I)*t^4*x^3+(7077888*I)*t^6*x+(138240*I)*sqrt(2)*t^2+(614400*I)*t^5+(57600*I)*t^3+(4147272*I)*t-532480*sqrt(2)*t^3*x^4-3833856*sqrt(2)*t^5*x^2-110592*sqrt(2)*t^2*x^5-5308416*sqrt(2)*t^6*x-1753088*sqrt(2)*t^4*x^3-14336*sqrt(2)*t*x^6+3072*sqrt(2)*t^2*x^3-294336*sqrt(2)*t^2*x+79872*sqrt(2)*t^3*x^2-30720*sqrt(2)*t^4*x+135648*sqrt(2)*t*x^2-3840*sqrt(2)*t*x^4+(2211840*I)*sqrt(2)*t^3*x+735744*t*x^3+4608*t^2*x^2-5867520*t^3*x-384*sqrt(2)*x^5+22608*sqrt(2)*x^3-3538944*sqrt(2)*t^7):

new := `assuming`([simplify(abs(q), size)], [x > -5, x < 5, t > -5, t < 5]):

plot3d(new, x = -5 .. 5, t = -5 .. 5, numpoints = 5000, axes = frame, style = surface, labels = ['x', 't', ""], labelfont = [TIMES, ITALIC, 16], axesfont = [TIMES, ROMAN, 14], shading = ZHUE, orientation = [50, 55, 0]);

sol1 := Optimization:-Maximize(new, t = -.5 .. 1.5, x = -5 .. -2);

[178.124646707148315, [t = HFloat(0.9557075158427223), x = HFloat(-3.5487225916120098)]]

[125.493296995342149, [t = HFloat(-0.9563856851285822), x = HFloat(0.2895352694643224)]]

[29.4557218848098721, [t = HFloat(1.7054438218049695e-8), x = HFloat(3.1825552777668866)]]

plots:-display(plot3d(new, x = -5 .. 5, t = -1.5 .. 1.5, grid = [201, 201], axes = frame, style = surface, labels = ['x', 't', ""], labelfont = [TIMES, ITALIC, 16], axesfont = [TIMES, ROMAN, 14], shading = ZHUE), plots:-pointplot3d([eval([x, t, new], sol1[2]), eval([x, t, new], sol2[2]), eval([x, t, new], sol3[2])], symbolsize = 10, symbol = solidcircle, color = black), orientation = [50, 55, 0]);

 

Download p3dopt.mw

Here is one way, using Maple 17.

In modern Maple there are more ways to get similar effects.

I could have used just plots:-surfdata to get the surface. But coloring that flexibly would be more complicated. And there are a few irritations with using plots:-listdensityplot here.

So instead I construct an interpolating procedure F, which I use for the various pieces.

restart;

kernelopts(version);

`Maple 17.02, X86 64 LINUX, Sep 5 2013, Build ID 872941`

(1)

with(plots): with(plottools):

x:=[0.1, 0.2, 0.3, 0.4, 0.5, 0.1, 0.2, 0.3, 0.4, 0.5,
    0.1, 0.2, 0.3, 0.4, 0.5,0.1, 0.2, 0.3, 0.4, 0.5,
    0.1, 0.2, 0.3, 0.4, 0.5]:

y:=[0.1, 0.1, 0.1, 0.1, 0.1, 0.2, 0.2, 0.2, 0.2, 0.2,
    0.3, 0.3, 0.3, 0.3, 0.3, 0.4, 0.4, 0.4, 0.4, 0.4,
    0.5,0.5,0.5,0.5,0.5]:

z:=[1.971284960, 1.642401616, 1.372353338,1.153620572,0.9762759982,

    1.675502483, 1.411976881, 1.190627373,1.007730234,0.8570007139,

    1.397140245, 1.184230644, 1.003688984,0.852696223,0.7268039317,

    1.144791107, 0.9725020383,0.8257592921,0.7020549659,0.5979974836,                                                        0.9208492326, 0.7816302394, 0.6627749172,0.5620029444,0.4766238930]:

M := Matrix(5,5,z)^%T:

xydat := [<[0.1,0.2,0.3,0.4,0.5]>,<[0.1,0.2,0.3,0.4,0.5]>]:

F := proc(a,b) option remember;
   if not [a,b]::list(numeric) then return 'procname'(args); end if;
   CurveFitting:-ArrayInterpolation(xydat, M,
                                    Array(1..1, 1..1, 1..2,
                                          [[[a,b]]]))[1,1];
end proc:

P3 := plot3d(F(a,b), a=0.1 .. 0.5, b=0.1 .. 0.5,
             color=[F(a,b)/(2-0.5)-0.333, F(a,b)/(2-0.5)-0.333, 1]):

P4 := contourplot(F(a,b), a=0.1 .. 0.5, b=0.1 .. 0.5,
                  color="DarkGreen",contours=5):

display(P3,
        transform((a,b,c)->[a,b,1e-2])(P4),
        plot3d(0, a=0.1 .. 0.5, b=0.1 .. 0.5,
               color="yellow",style=surface),
        labels=["x","y","z"], orientation=[30,75,0]);

 

 

 

Download MAXR_surfcontdat.mw

First 60 61 62 63 64 65 66 Last Page 62 of 338