ecterrab

14687 Reputation

24 Badges

20 years, 211 days

MaplePrimes Activity


These are answers submitted by ecterrab

Hi @nm,
Good catch; interesting it didn't show up before, it is a case where an intermediate step requiring the computation of a series solution to an intermediate problem fails due to branch cuts. Anyway, it is fixed in the Physics Updates v.1885 for Maple 2025. As usual, provided you have installed the Physics Updates Maplecloud package already (use the Maplecloud toolbar for that), it suffices to input Physics:-Version(latest).

Edgardo S. Cheb-Terrab
Physics, DIfferential Equations and Mathematical Functions

Good catch yours as usual. It is fixed within the Physics Updates v.1882; to install, input Physics:-Version(latest)

Edgardo S. Cheb-Terrab
Physics, Differential Equations and Mathematical Functions

If implementing c__1 had been done on day 1, then there would be only c__1. But that implementation happened after 30+ years of existence of _C1. Books and everything would break if _C1 were replaced by c__1. On the other hand, making c__n = _Cn automatically and without using dsolve would be a real puzzle for everybody: why are these infinitely many letters the same all the time? Nowhere in Maple would you find an example of that.

Summarizing, the compromise that

A) installed c__1 (also f__1 instead of _F1) once and for all,

B) didn't break a single line of previously existing code/worksheet/books that were using _C1 from before introducing c__1,

C) allows you (the user) to optionally choose to use either _C1 or c__1 and having it displayed the way you prefer (say you prefer _C1, check dsolve's help),

 

is what you see: an alias only for the c__n (or f__n) that are actually introduced by dsolve, pdsolve, or commands from the Physics package (e.g for an arbitrary spacetime metric).

I designed and implemented this change (advertised it here in Mapleprimes too), and it was amazing to see that nothing broke, and we now have the much better, more modern symbols to represent arbitrary constants and function names.

Edgardo S. Cheb-Terrab

Physics, Differential Equations and Mathematical Functions,

Hi @Hullzie16, Really surprising ... but, it was there. Good catch. It is fixed in v.1881 of the Physics Updates. To install, as usual, Physics:-Version(latest)

Edgardo S. Cheb-Terrab
Physics, Differential Equations and Mathematical Functions

I've seen this one and some more DE related reports by you @nm, but people at Maplesoft are too busy. I will change some gears and restart producing, in my spare time, and introducing DE-related fixes directly in the Physics Updates, and replying in each report when they are ready.

NOTE LATER: OK, this one is fixed in v.1880 of the Physics Updates. To install, open Maple and input PDEtools:-Version(latest)

Best,

Edgardo S. Cheb-Terrab
Physics, Differential Equations, and Mathematical Functions.

Hi @nm ; good catch, as you usually do. The problem is fixed in v.1878 of the Physics Updates. As usual, to update (assuming you already installed it) open Maple 2025 and input Physics:-Version(latest);

By the way: while I am not working for Maplesoft since the end of 2024, I intend to keep maintaining the Physics package in my spare time. If I don't read a report here, feel free to write me a private message about it. Also, you understand, besides Physics, I am not currently maintaining the rest of the Maple library that I maintained in the past (e.g. your reports on assuming, odetest, etc.), neither I participate in the SupportTools package project.

Best
Edgardo S. Cheb-Terrab
Physics, Differential Equations and Mathematical Functions

I can't see your worksheet, something is failing in MaplePrimes site.

 

Anyway the following shows how to do it, it is easy. For illustration purposes, set a curved spacetime, the keywords sc and tol are handy for that, but any curved spacetime is fine (the database of Einstein's solutions has approx 1,000 programmed, and you can set the metric anyway you want, see Physics,Tensors  section 12.

 

with(Physics)

Setup(coordinates = cartesian, metric = tol)

[coordinatesystems = {X}, metric = {(1, 1) = -(diff(R(t, r), r))^2/(1+2*E(r)), (2, 2) = -R(t, r)^2, (3, 3) = -R(t, r)^2*sin(theta)^2, (4, 4) = 1}]

(1)

CompactDisplay([coordinatesystems = {X}, metric = {(1, 1) = -(diff(R(t, r), r))^2/(1+2*E(r)), (2, 2) = -R(t, r)^2, (3, 3) = -R(t, r)^2*sin(theta)^2, (4, 4) = 1}])

R(t, r)*`will now be displayed as`*R

(2)

In order to perform a transformation of the metric, either you know the form of the coordinate transformation (in that case, use TransformCoordinates ) or you know the form of the new metric directly, as it is the case of a conformal transformation, where the new components become

g_[mu, nu] = exp(2*Phi)*rhs(g_[])

Physics:-g_[mu, nu] = Matrix(%id = 36893488152431114228)

(3)

So, just Define this as the metric, and everything else follows automatically, you don't need to do anything manually

"Define(?)"

{Physics:-D_[mu], Physics:-Dgamma[mu], Physics:-Psigma[mu], Physics:-Ricci[mu, nu], Physics:-Riemann[mu, nu, alpha, beta], Physics:-Weyl[mu, nu, alpha, beta], Physics:-d_[mu], Physics:-g_[mu, nu], Physics:-gamma_[i, j], Physics:-Christoffel[mu, nu, alpha], Physics:-Einstein[mu, nu], Physics:-LeviCivita[alpha, beta, mu, nu], Physics:-SpaceTimeVector[mu](X)}

(4)

For example,

Christoffel[1, mu, nu, matrix]

Physics:-Christoffel[1, mu, nu] = Matrix(%id = 36893488152493016716)

(5)

Christoffel[`~alpha`, mu, 1, matrix]

Physics:-Christoffel[`~alpha`, mu, 1] = Matrix(%id = 36893488152431172052)

(6)

By the way note the difference between scalar and scalars for the Ricci tensor

Ricci[scalar] = Ricci[trace]

2*exp(-2*Phi)*(-2*R(t, r)*(diff(R(t, r), r))*(diff(diff(R(t, r), t), t))-(diff(R(t, r), t))^2*(diff(R(t, r), r))-R(t, r)^2*(diff(diff(diff(R(t, r), r), t), t))-2*(diff(R(t, r), t))*R(t, r)*(diff(diff(R(t, r), r), t))+2*(diff(R(t, r), r))*E(r)+2*(diff(E(r), r))*R(t, r))/((diff(R(t, r), r))*R(t, r)^2) = -2*exp(-2*Phi)*((diff(R(t, r), t))^2*(diff(R(t, r), r))+2*(diff(R(t, r), t))*R(t, r)*(diff(diff(R(t, r), r), t))+R(t, r)^2*(diff(diff(diff(R(t, r), r), t), t))+2*R(t, r)*(diff(R(t, r), r))*(diff(diff(R(t, r), t), t))-2*(diff(E(r), r))*R(t, r)-2*(diff(R(t, r), r))*E(r))/((diff(R(t, r), r))*R(t, r)^2)

(7)

Ricci[scalars]

Phi__00 = -(1/2)*((diff(R(t, r), t))*(diff(diff(R(t, r), r), t))-(diff(diff(R(t, r), t), t))*(diff(R(t, r), r))-(diff(E(r), r)))*exp(-2*Phi)/((diff(R(t, r), r))*R(t, r)), Phi__01 = 0, Phi__02 = 0, Phi__11 = (1/4)*exp(-2*Phi)*(R(t, r)^2*(diff(diff(diff(R(t, r), r), t), t))+2*(diff(R(t, r), r))*(-(1/2)*(diff(R(t, r), t))^2+E(r)))/(R(t, r)^2*(diff(R(t, r), r))), Phi__12 = 0, Phi__22 = -(1/2)*((diff(R(t, r), t))*(diff(diff(R(t, r), r), t))-(diff(diff(R(t, r), t), t))*(diff(R(t, r), r))-(diff(E(r), r)))*exp(-2*Phi)/((diff(R(t, r), r))*R(t, r)), Lambda = -(1/12)*exp(-2*Phi)*((diff(R(t, r), t))^2*(diff(R(t, r), r))+2*(diff(R(t, r), t))*R(t, r)*(diff(diff(R(t, r), r), t))+R(t, r)^2*(diff(diff(diff(R(t, r), r), t), t))+2*R(t, r)*(diff(R(t, r), r))*(diff(diff(R(t, r), t), t))-2*(diff(E(r), r))*R(t, r)-2*(diff(R(t, r), r))*E(r))/((diff(R(t, r), r))*R(t, r)^2)

(8)

Ricci[scalarsdefinition]

Phi__00 = -(1/2)*Physics:-Ricci[`~mu`, `~nu`]*Physics:-Tetrads:-l_[mu]*Physics:-Tetrads:-l_[nu], Phi__01 = -(1/2)*Physics:-Ricci[`~mu`, `~nu`]*Physics:-Tetrads:-l_[mu]*Physics:-Tetrads:-m_[nu], Phi__02 = -(1/2)*Physics:-Ricci[`~mu`, `~nu`]*Physics:-Tetrads:-m_[mu]*Physics:-Tetrads:-m_[nu], Phi__11 = -(1/4)*Physics:-Ricci[`~mu`, `~nu`]*(Physics:-Tetrads:-l_[mu]*Physics:-Tetrads:-n_[nu]+Physics:-Tetrads:-m_[mu]*Physics:-Tetrads:-mb_[nu]), Phi__12 = -(1/2)*Physics:-Ricci[`~mu`, `~nu`]*Physics:-Tetrads:-m_[mu]*Physics:-Tetrads:-n_[nu], Phi__22 = -(1/2)*Physics:-Ricci[`~mu`, `~nu`]*Physics:-Tetrads:-n_[mu]*Physics:-Tetrads:-n_[nu], Lambda = (1/24)*Physics:-Ricci[mu, `~mu`]

(9)

You got the point. Everything.

Weyl[scalars]

psi__0 = 0, psi__1 = 0, psi__2 = (1/6)*(-R(t, r)^2*(diff(diff(diff(R(t, r), r), t), t))+(diff(R(t, r), t))*R(t, r)*(diff(diff(R(t, r), r), t))+R(t, r)*(diff(R(t, r), r))*(diff(diff(R(t, r), t), t))+(2*E(r)-(diff(R(t, r), t))^2)*(diff(R(t, r), r))-(diff(E(r), r))*R(t, r))*exp(-2*Phi)/(R(t, r)^2*(diff(R(t, r), r))), psi__3 = 0, psi__4 = 0

(10)

Weyl[scalarsdefinition]

psi__0 = -Physics:-Weyl[`~mu`, `~nu`, `~alpha`, `~beta`]*Physics:-Tetrads:-l_[mu]*Physics:-Tetrads:-m_[nu]*Physics:-Tetrads:-l_[alpha]*Physics:-Tetrads:-m_[beta], psi__1 = -Physics:-Weyl[`~mu`, `~nu`, `~alpha`, `~beta`]*Physics:-Tetrads:-l_[mu]*Physics:-Tetrads:-n_[nu]*Physics:-Tetrads:-l_[alpha]*Physics:-Tetrads:-m_[beta], psi__2 = -Physics:-Weyl[`~mu`, `~nu`, `~alpha`, `~beta`]*Physics:-Tetrads:-l_[mu]*Physics:-Tetrads:-m_[nu]*Physics:-Tetrads:-mb_[alpha]*Physics:-Tetrads:-n_[beta], psi__3 = -Physics:-Weyl[`~mu`, `~nu`, `~alpha`, `~beta`]*Physics:-Tetrads:-l_[mu]*Physics:-Tetrads:-n_[nu]*Physics:-Tetrads:-mb_[alpha]*Physics:-Tetrads:-n_[beta], psi__4 = -Physics:-Weyl[`~mu`, `~nu`, `~alpha`, `~beta`]*Physics:-Tetrads:-n_[mu]*Physics:-Tetrads:-mb_[nu]*Physics:-Tetrads:-n_[alpha]*Physics:-Tetrads:-mb_[beta]

(11)

NULL

Download Redefine_the_metric.mw

Edgardo S. Cheb-Terrab
Physics, Differential Equations and Mathematical Functions

@nm ​​​​​
You are right in your "Guess", which is the same thing I mentioned in the other Mapleprimes-question you posted basically about the same: you interrupt with timelimit, (have in mind that is a rather low-level interruption), not letting assuming to restore the status of things of before you call it. So without changes in the current implementation, the problem is not addressable.

And, you know, in spite of the Maplesoft icon under my name, recall I am not working for Maplesoft anymore since the end of 2024. Anyway, here is my suggestion, what would I do:

  • A small touch in assuming tracking, in a single variable, the restoring activity, as in: "evaluate the symbol `assuming/restore_previous_state`"
  • Add a touch to the kernel code so that if timelimit interrupts (ditto for "try catch: end try", and also to simple "interrupt" when pressing that formerly red button, the kernel evaluates `assuming/restore_previous_state`.

OK. What can I do to help you in your saga about differential equations (which I always appreciated)? I will spend some spare time this week and code  `assuming/restore_previous_state`. If my suggestion above is implemented, that day all will be resolved. Until then, you will be able to just add "`assuming/restore_previous_state`" to the catch branch, as in "try timelimit(...) catch: `assuming/restore_previous_state` end try". 

Two other comments  turning the lights on this so that you don't need to scratch your chin and post again about the same.

1. You realize you are not computing with Physics. You are only computing with assume and its optional renamevariables = false, used by assuming when placing temporary assumptions. So why is this under "Physics:-Setup"? Because, for historical reasons, the Physics package, in addition to physics-related functionality, it was also a powerhouse of ideas useful for physics-related computations, but clearly beyond that (e.g what you see today as: simplify(expression, size), FunctionAdvisor, latex, ...). Over time, most of these ideas moved from Physics to "outside the Physics package". The option renamevariables::truefalse of assume is one of these ideas, the advantages of not renaming variables are significant and relevant beyond physics-related computations (see the help page of Physics:-Assume). For reasons A, B, ..., this didn't get documented in assume, nor the functionality exported as an option to assuming before the end of 2024. So to use it today, the documented option is Physics:-Setup(assumingusesAssume = true)

2. Why this doesn't happen when you renamevariables = true (this is the default behaviour of assuming)? Because in this other case, each time assume is called, a completely new variable is created. Although that automatically resolves the problem (who cares of tables filled with varaibles previously used if they will never again be used?), not only it fills assume tables with assumptions (and their consequences) on variables that will never be used again, but in addition has limitations (for details see ?Physics:-Assume)

Edgardo S. Cheb-Terrab
Physics, Differential Equations and Mathematical Functions



Download noncommutative_example_(reviewed).mw

Edgardo S. Cheb-Terrab
Physics, Differential Equations and Mathematical Functions

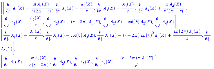
Consider how it works for method = laplace

ode := diff(diff(x(t), t), t)+4*x(t) = Dirac(t)+Dirac(t-Pi)

sol__L := dsolve(ode, x(t), method = laplace)

x(t) = cos(2*t)*x(0)+(1/2)*sin(2*t)*(1+Heaviside(t-Pi)+(D(x))(0))

(1)

You see there are no integration constants to adjust. Instead, you see x(0) and (D(x))(0) as part of the solution. Think about ... it is not the same process of "solve in general, then adjust the integration constants cn". Next you indicate, precisely, the values of  x(0) and (D(x))(0):

ic := x(0) = 0, (D(x))(0) = 0


I.e., in this formulation of the ode+ic problem using method = laplace, there is nothing to be adjusted, it just follows a simple substitution

subs(ic, sol__L)

x(t) = (1/2)*sin(2*t)*(1+Heaviside(t-Pi))

(3)

And that is what dsolve gives you when you pass both ode and ic with method = laplace

dsolve([ode, ic], x(t), method = laplace)

x(t) = (1/2)*sin(2*t)*(1+Heaviside(t-Pi))

(4)

Then this result

odetest(x(t) = (1/2)*sin(2*t)*(1+Heaviside(t-Pi)), ode)

-Dirac(t)

(5)

is related to the fact that Dirac(t) is not really a function, you know, but a distribution, i.e.: there is no well defined meaning for it unless you integrate it over a domain that includes its roots. Also, it is not that the Laplace method is flawed but that your ode has Dirac(t), with the interpretation that at t = 0 you can't really tell what x(t) is, or its derivatives, are. So passing to odetest you ic, for a result computed in this way, and precisely about the value of x(t) and (D(x))(t) at t = 0, is kinda nonsense for me, or else you can expect any value at x(0) and (D(x))(0), even when you substituted their values as in (3).

 

Anyway, dsolve has specialized code for handling Dirac(t)in the ode, but to see it working you need to let dsolve do its job:

sol := dsolve([ode, ic])

x(t) = (1/4)*sin(2*t)*(2*Heaviside(t-Pi)+2*Heaviside(t)-1)

(6)

odetest(x(t) = (1/4)*sin(2*t)*(2*Heaviside(t-Pi)+2*Heaviside(t)-1), [ode, ic])

[0, 0, 0]

(7)

How is this possible? By adjusting integration constants properly (not as you do in "method=laplace)", that is, compute first the general solution,

dsolve(ode)

x(t) = sin(2*t)*c__2+cos(2*t)*c__1+(1/2)*(Heaviside(t)+Heaviside(t-Pi))*sin(2*t)

(8)

then adjust the values of c__1, c__2 accordingly, resulting in (6) above.

NULL


 

Download Dirac_in_the_ode.mw

Edgardo S. Cheb-Terrab
Physics, Differential Equations and Mathematical Functions

Your computation is simpler if you use the native Maple Physics package, available there with your Maple copy.  Here I follow your steps adding a few illustrative comments. At the end, a recommendation of a help page with everything you need to compute with GR using Maple, and a link to download what you see here as a Maple worksheet.

 

with(Physics)

Coordinates(X = [t, r, p, q])

{X}

(1)

 

Following your steps,

M := Matrix(4)

M[1, 1] := -1; M[2, 2] := H(X)^2; M[3, 3] := F(X)^2; M[4, 4] := F(X)^2

 

Set now the (all covariant) metric

Setup(metric = M)

[metric = {(1, 1) = -1, (2, 2) = H(X)^2, (3, 3) = F(X)^2, (4, 4) = F(X)^2}, spaceindices = lowercaselatin_is]

(2)

 

Physics:-g_[mu, nu] = Matrix(%id = 36893488153459666804)(3)

For convenience, let's use a compact display avoiding the redundant display of X = (t, r, p, q)

"CompactDisplay(?):"


At any moment during your computation, to see what is being displayed in this compact way you can use show: it will show the actual thing behind the last output.
 

And that is all, since in Maple's Physics, once you entered the metric, everything gets set automatically. For example, you don't need to specify, in addition, the computation of the inverse of the metric. It is already there

"g_[~]"

Physics:-g_[`~mu`, `~nu`] = Matrix(%id = 36893488153459650676)

(5)

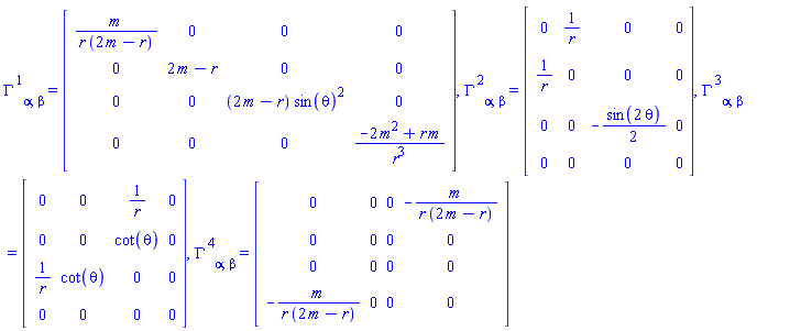
The same happens with the Christoffel symbols I see in your input lines. For example,

seq(Christoffel[mu, alpha, beta, matrix], mu = [1, 2, 3, 4])

Physics:-Christoffel[1, alpha, beta] = Matrix(%id = 36893488153487780788), Physics:-Christoffel[2, alpha, beta] = Matrix(%id = 36893488153487774532), Physics:-Christoffel[3, alpha, beta] = Matrix(%id = 36893488153487776092), Physics:-Christoffel[4, alpha, beta] = Matrix(%id = 36893488153487777532)

(6)

"seq(Christoffel[mu, alpha,beta, matrix], mu = [~1, ~2,~3,~4])"

Physics:-Christoffel[`~1`, alpha, beta] = Matrix(%id = 36893488153487821148), Physics:-Christoffel[`~2`, alpha, beta] = Matrix(%id = 36893488153487817892), Physics:-Christoffel[`~3`, alpha, beta] = Matrix(%id = 36893488153487814516), Physics:-Christoffel[`~4`, alpha, beta] = Matrix(%id = 36893488153487809100)

(7)

 

For a convenient way of exploring the components of tensors (any number of indices) see TensorArray , in particular check its explore option.

 

For the other things you present, it is the same

Ricci[]

Physics:-Ricci[mu, nu] = Matrix(%id = 36893488152583639276)

(8)

"Ricci[~]"

Physics:-Ricci[`~mu`, `~nu`] = Matrix(%id = 36893488153484338948)

(9)

Or the mixed components:

"Ricci[alpha,~beta,matrix]"

Physics:-Ricci[alpha, `~beta`] = Matrix(%id = 36893488152583656140)

(10)

The Ricci scalars are also there

Ricci[scalars]

Phi__00 = (1/4)*(-2*F(X)*H(X)*(diff(diff(F(X), r), r))+4*H(X)^2*(diff(diff(F(X), r), t))*F(X)-2*H(X)^3*(diff(diff(F(X), t), t))*F(X)-H(X)^2*(diff(diff(H(X), p), p))-H(X)^2*(diff(diff(H(X), q), q))+2*((-2*H(X)*(diff(H(X), t))+diff(H(X), r))*(diff(F(X), r))+(diff(H(X), t))*H(X)^2*(diff(F(X), t)))*F(X))/(H(X)^3*F(X)^2), Phi__01 = (1/4)*(-F(X)*H(X)*(diff(diff(F(X), p), r))+H(X)^2*(diff(diff(F(X), p), t))*F(X)-I*H(X)*(diff(diff(F(X), q), r))*F(X)+I*H(X)^2*(diff(diff(F(X), q), t))*F(X)+H(X)*(diff(diff(H(X), p), t))*F(X)^2+I*H(X)*(diff(diff(H(X), q), t))*F(X)^2-((diff(F(X), t))*H(X)-(diff(F(X), r)))*(H(X)*(diff(F(X), p))+I*H(X)*(diff(F(X), q))+(I*(diff(H(X), q))+diff(H(X), p))*F(X)))/(H(X)^2*F(X)^3), Phi__02 = (1/4)*(-(diff(diff(H(X), p), p))*F(X)-(2*I)*(diff(diff(H(X), p), q))*F(X)+(diff(diff(H(X), q), q))*F(X)+((2*I)*(diff(H(X), q))+2*(diff(H(X), p)))*(diff(F(X), p))+2*(I*(diff(H(X), p))-(diff(H(X), q)))*(diff(F(X), q)))/(H(X)*F(X)^3), Phi__11 = (1/4)*((diff(F(X), t))^2*H(X)^2*F(X)^2-F(X)^4*H(X)*(diff(diff(H(X), t), t))-(diff(diff(F(X), p), p))*H(X)^2*F(X)-(diff(diff(F(X), q), q))*H(X)^2*F(X)-(diff(F(X), r))^2*F(X)^2+(diff(F(X), p))^2*H(X)^2+(diff(F(X), q))^2*H(X)^2)/(H(X)^2*F(X)^4), Phi__12 = (1/4)*(F(X)*H(X)*(diff(diff(F(X), p), r))+H(X)^2*(diff(diff(F(X), p), t))*F(X)+I*F(X)*H(X)*(diff(diff(F(X), q), r))+I*H(X)^2*(diff(diff(F(X), q), t))*F(X)+H(X)*(diff(diff(H(X), p), t))*F(X)^2+I*H(X)*(diff(diff(H(X), q), t))*F(X)^2-((diff(F(X), t))*H(X)+diff(F(X), r))*(H(X)*(diff(F(X), p))+I*H(X)*(diff(F(X), q))+(I*(diff(H(X), q))+diff(H(X), p))*F(X)))/(F(X)^3*H(X)^2), Phi__22 = (1/4)*(-2*F(X)*H(X)*(diff(diff(F(X), r), r))-4*H(X)^2*(diff(diff(F(X), r), t))*F(X)-2*H(X)^3*(diff(diff(F(X), t), t))*F(X)-H(X)^2*(diff(diff(H(X), p), p))-H(X)^2*(diff(diff(H(X), q), q))+2*((2*H(X)*(diff(H(X), t))+diff(H(X), r))*(diff(F(X), r))+(diff(H(X), t))*H(X)^2*(diff(F(X), t)))*F(X))/(H(X)^3*F(X)^2), Lambda = (1/12)*(-(diff(diff(F(X), p), p))*H(X)^3*F(X)-(diff(diff(F(X), q), q))*H(X)^3*F(X)-2*F(X)^3*(diff(diff(F(X), r), r))*H(X)+2*F(X)^3*(diff(diff(F(X), t), t))*H(X)^3-(diff(diff(H(X), p), p))*H(X)^2*F(X)^2-(diff(diff(H(X), q), q))*H(X)^2*F(X)^2+F(X)^4*H(X)^2*(diff(diff(H(X), t), t))-(diff(F(X), r))^2*H(X)*F(X)^2+2*F(X)^3*(diff(F(X), r))*(diff(H(X), r))+H(X)^2*((diff(F(X), t))^2*F(X)^2*H(X)+2*(diff(F(X), t))*(diff(H(X), t))*F(X)^3+H(X)*((diff(F(X), p))^2+(diff(F(X), q))^2)))/(F(X)^4*H(X)^3)

(11)

You may be curious about the definition used in Maple (main reference is Landau & Lifshitz textbook)

Ricci[scalars, definition]

Phi__00 = -(1/2)*Physics:-Ricci[`~mu`, `~nu`]*Physics:-Tetrads:-l_[mu]*Physics:-Tetrads:-l_[nu], Phi__01 = -(1/2)*Physics:-Ricci[`~mu`, `~nu`]*Physics:-Tetrads:-l_[mu]*Physics:-Tetrads:-m_[nu], Phi__02 = -(1/2)*Physics:-Ricci[`~mu`, `~nu`]*Physics:-Tetrads:-m_[mu]*Physics:-Tetrads:-m_[nu], Phi__11 = -(1/4)*Physics:-Ricci[`~mu`, `~nu`]*(Physics:-Tetrads:-l_[mu]*Physics:-Tetrads:-n_[nu]+Physics:-Tetrads:-m_[mu]*Physics:-Tetrads:-mb_[nu]), Phi__12 = -(1/2)*Physics:-Ricci[`~mu`, `~nu`]*Physics:-Tetrads:-m_[mu]*Physics:-Tetrads:-n_[nu], Phi__22 = -(1/2)*Physics:-Ricci[`~mu`, `~nu`]*Physics:-Tetrads:-n_[mu]*Physics:-Tetrads:-n_[nu], Lambda = (1/24)*Physics:-Ricci[mu, `~mu`]

(12)

Also the Weyl tensor, or its scalars

Weyl[scalars]

psi__0 = (1/4)*((diff(diff(H(X), p), p))*F(X)+(2*I)*F(X)*(diff(diff(H(X), p), q))-(diff(diff(H(X), q), q))*F(X)+(-(2*I)*(diff(H(X), q))-2*(diff(H(X), p)))*(diff(F(X), p))-2*(I*(diff(H(X), p))-(diff(H(X), q)))*(diff(F(X), q)))/(H(X)*F(X)^3), psi__1 = (1/4)*(-F(X)*H(X)*(diff(diff(F(X), p), r))+H(X)^2*(diff(diff(F(X), p), t))*F(X)-I*H(X)*(diff(diff(F(X), q), r))*F(X)+I*H(X)^2*(diff(diff(F(X), q), t))*F(X)-H(X)*(diff(diff(H(X), p), t))*F(X)^2-I*H(X)*(diff(diff(H(X), q), t))*F(X)^2+(H(X)*(diff(F(X), p))+I*H(X)*(diff(F(X), q))+(I*(diff(H(X), q))+diff(H(X), p))*F(X))*(diff(F(X), r))+H(X)*(-H(X)*(diff(F(X), p))-I*H(X)*(diff(F(X), q))+(I*(diff(H(X), q))+diff(H(X), p))*F(X))*(diff(F(X), t)))/(F(X)^3*H(X)^2), psi__2 = (1/12)*(-2*(diff(diff(F(X), p), p))*H(X)^3*F(X)-2*(diff(diff(F(X), q), q))*H(X)^3*F(X)+2*F(X)^3*(diff(diff(F(X), r), r))*H(X)-2*F(X)^3*(diff(diff(F(X), t), t))*H(X)^3+(diff(diff(H(X), p), p))*H(X)^2*F(X)^2+(diff(diff(H(X), q), q))*H(X)^2*F(X)^2+2*F(X)^4*H(X)^2*(diff(diff(H(X), t), t))-2*(diff(F(X), r))^2*H(X)*F(X)^2-2*F(X)^3*(diff(F(X), r))*(diff(H(X), r))+2*(diff(F(X), t))^2*H(X)^3*F(X)^2-2*(diff(F(X), t))*F(X)^3*H(X)^2*(diff(H(X), t))+2*H(X)^3*((diff(F(X), p))^2+(diff(F(X), q))^2))/(H(X)^3*F(X)^4), psi__3 = (1/4)*(F(X)*H(X)*(diff(diff(F(X), p), r))+H(X)^2*(diff(diff(F(X), p), t))*F(X)-I*H(X)*(diff(diff(F(X), q), r))*F(X)-I*H(X)^2*(diff(diff(F(X), q), t))*F(X)-H(X)*(diff(diff(H(X), p), t))*F(X)^2+I*H(X)*(diff(diff(H(X), q), t))*F(X)^2+(-H(X)*(diff(F(X), p))+I*H(X)*(diff(F(X), q))+(I*(diff(H(X), q))-(diff(H(X), p)))*F(X))*(diff(F(X), r))-H(X)*(diff(F(X), t))*(H(X)*(diff(F(X), p))-I*H(X)*(diff(F(X), q))+(I*(diff(H(X), q))-(diff(H(X), p)))*F(X)))/(F(X)^3*H(X)^2), psi__4 = (1/4)*((diff(diff(H(X), p), p))*F(X)-(2*I)*(diff(diff(H(X), p), q))*F(X)-(diff(diff(H(X), q), q))*F(X)+((2*I)*(diff(H(X), q))-2*(diff(H(X), p)))*(diff(F(X), p))+2*(diff(H(X), q)+I*(diff(H(X), p)))*(diff(F(X), q)))/(H(X)*F(X)^3)

(13)

Weyl[scalars, definition]

psi__0 = -Physics:-Weyl[`~mu`, `~nu`, `~alpha`, `~beta`]*Physics:-Tetrads:-l_[mu]*Physics:-Tetrads:-m_[nu]*Physics:-Tetrads:-l_[alpha]*Physics:-Tetrads:-m_[beta], psi__1 = -Physics:-Weyl[`~mu`, `~nu`, `~alpha`, `~beta`]*Physics:-Tetrads:-l_[mu]*Physics:-Tetrads:-n_[nu]*Physics:-Tetrads:-l_[alpha]*Physics:-Tetrads:-m_[beta], psi__2 = -Physics:-Weyl[`~mu`, `~nu`, `~alpha`, `~beta`]*Physics:-Tetrads:-l_[mu]*Physics:-Tetrads:-m_[nu]*Physics:-Tetrads:-mb_[alpha]*Physics:-Tetrads:-n_[beta], psi__3 = -Physics:-Weyl[`~mu`, `~nu`, `~alpha`, `~beta`]*Physics:-Tetrads:-l_[mu]*Physics:-Tetrads:-n_[nu]*Physics:-Tetrads:-mb_[alpha]*Physics:-Tetrads:-n_[beta], psi__4 = -Physics:-Weyl[`~mu`, `~nu`, `~alpha`, `~beta`]*Physics:-Tetrads:-n_[mu]*Physics:-Tetrads:-mb_[nu]*Physics:-Tetrads:-n_[alpha]*Physics:-Tetrads:-mb_[beta]

(14)

Note as well that all these outputs regarding definitions are actually computable expressions. for example

(psi__0 = -Physics[Weyl][`~mu`, `~nu`, `~alpha`, `~beta`]*Physics:-Tetrads:-l_[mu]*Physics:-Tetrads:-m_[nu]*Physics:-Tetrads:-l_[alpha]*Physics:-Tetrads:-m_[beta], psi__1 = -Physics[Weyl][`~mu`, `~nu`, `~alpha`, `~beta`]*Physics:-Tetrads:-l_[mu]*Physics:-Tetrads:-n_[nu]*Physics:-Tetrads:-l_[alpha]*Physics:-Tetrads:-m_[beta], psi__2 = -Physics[Weyl][`~mu`, `~nu`, `~alpha`, `~beta`]*Physics:-Tetrads:-l_[mu]*Physics:-Tetrads:-m_[nu]*Physics:-Tetrads:-mb_[alpha]*Physics:-Tetrads:-n_[beta], psi__3 = -Physics[Weyl][`~mu`, `~nu`, `~alpha`, `~beta`]*Physics:-Tetrads:-l_[mu]*Physics:-Tetrads:-n_[nu]*Physics:-Tetrads:-mb_[alpha]*Physics:-Tetrads:-n_[beta], psi__4 = -Physics[Weyl][`~mu`, `~nu`, `~alpha`, `~beta`]*Physics:-Tetrads:-n_[mu]*Physics:-Tetrads:-mb_[nu]*Physics:-Tetrads:-n_[alpha]*Physics:-Tetrads:-mb_[beta])[1]

psi__0 = -Physics:-Weyl[`~alpha`, `~beta`, `~mu`, `~nu`]*Physics:-Tetrads:-l_[mu]*Physics:-Tetrads:-m_[nu]*Physics:-Tetrads:-l_[alpha]*Physics:-Tetrads:-m_[beta]

(15)

SumOverRepeatedIndices(psi__0 = -Physics[Weyl][`~alpha`, `~beta`, `~mu`, `~nu`]*Physics:-Tetrads:-l_[mu]*Physics:-Tetrads:-m_[nu]*Physics:-Tetrads:-l_[alpha]*Physics:-Tetrads:-m_[beta])

psi__0 = (1/4)*((2*I)*F(X)*(diff(diff(H(X), p), q))-(2*I)*(diff(F(X), p))*(diff(H(X), q))-(2*I)*(diff(H(X), p))*(diff(F(X), q))-(diff(diff(H(X), q), q))*F(X)+(diff(diff(H(X), p), p))*F(X)-2*(diff(F(X), p))*(diff(H(X), p))+2*(diff(F(X), q))*(diff(H(X), q)))/(F(X)^3*H(X))

(16)

The Einstein tensor I see in your input lines

Einstein[]

Physics:-Einstein[mu, nu] = Matrix(%id = 36893488153487790796)

(17)

"Einstein[~]"

Physics:-Einstein[`~mu`, `~nu`] = Matrix(%id = 36893488152583659140)

(18)

Check the help page ? Physics,Tensors  for all you need to compute with tensors, symbolically or in components.

 

Finally, to explore the 4 x 4 tables of components of the Weyl tensor,

TensorArray(Weyl[alpha, beta, mu, nu], explore)

 

You see you can specify which two indices are shown, and also their values, and for details see its help page TensorArray

NULL



Download withPhysics.mw

Edgardo S. Cheb-Terrab
Physics, Differential Equations and Mathematical Functions

In your mw, success with eval@simplify happens for pdes, not pde. In your call to pdetest, you use pde. Use pdes and you get the same expected validation of the solution.

Download validation.mw

Edgardo S. Cheb-Terrab
Physics, Differential Equations and Mathematical Functions.

 

Good catch. It is fixed within the Physics Updates v.1872. To install, as usual, input Physics:-Version(latest).

Edgardo S. Cheb-Terrab
Physics, Differential Equations and Mathematical Functions 

Adjust sum to not have these premature evaluation problems:

Physics:-Setup(redefinesum = true)

[redefinesum = true]

(1)


Now you have:

sum(modp(5, product(2, t = 0 .. modp(q-1, 3))), q = 1 .. 2)

2

(2)


See the Physics:-Library help page, subsection for Physics:-Library:-Add. The problem of premature evaluation is an old one. It is addressed in the Physics context (package) making sum use the Physics:-Library-Add wrapper, which performs the summation using sum but such that the computation is free of these old premature evalution problems. I copy here the mini-help-page for this command from the help page of Physics:-Library. The command can be used as Physics:-Library:-Add, or directly as the sum command after entering Physics:-Setup(redefinesum = true)

Add

 
  

Calling Sequence

  

Physics:-Library:-Add(f, k = m..n)

  

Parameters

  

f    : algebraic expression

  

k    : name; summation index

  

m, n : integers or arbitrary expressions, indicate the summation range

  

Description

  

Add unifies the standard add  and sum  commands into one that uses a more modern handling of arguments, is free of premature evaluation problems, and implements multi-index summation. The functionality and handling of arguments of Add can be plugged directly into the sum command using the option redefinesum of Physics:-Setup.

  

Examples

restart: with(Physics): with(Library):

  

Consider this multi-index summation.

Add(f[i, j], 1 <= i+j and i+j <= n);

Physics:-Library:-Add(f[i, j], i+j <= n, lowerbound = 1)

(1.1)
  

For instance, for n = 2,

eval((1.1), n = 2);

f[0, 1]+f[1, 0]+f[0, 2]+f[1, 1]+f[2, 0]

(1.2)
  

The formula for the integer power of a sum is:

(a+b+c)^n = Add(factorial(n)*a^p*b^q*c^r/(factorial(p)*factorial(q)*factorial(r)), p+q+r = n);

(a+b+c)^n = Physics:-Library:-Add(Physics:-`*`(factorial(n), Physics:-`^`(a, p), Physics:-`^`(b, q), Physics:-`^`(c, r), Physics:-`^`(Physics:-`*`(factorial(p), factorial(q), factorial(r)), -1)), p+q+r = n)

(1.3)

eval((1.3), n = 3);

(a+b+c)^3 = a^3+3*a^2*b+3*a^2*c+3*a*b^2+6*a*b*c+3*a*c^2+b^3+3*b^2*c+3*b*c^2+c^3

(1.4)
  

A more modern handling of its arguments, consider a typical problem where a name, say j, is assigned a value, and j is used as dummy summation variable

a, b, j := 1, 2, 3;

1, 2, 3

(1.5)
  

The value just assigned, j = 3, is not expected to interfere with the summation

Add(f[j], j = a..b);

f[1]+f[2]

(1.6)
  

while for this example, sum interrupts with an error message due to a premature evaluation of the summation index j. Another frequent case: a procedure that returns a value according to the value of the summation index.

g := k -> if k::odd then G[k] else 0 end if;

proc (k) options operator, arrow; if k::odd then G[k] else 0 end if end proc

(1.7)
  

Without giving a value to the summation limit f, the following summation cannot be performed.

Add(g(k), k = 1 .. f);

Physics:-Library:-Add(g(k), k = 1 .. f)

(1.8)
  

For this example, add interrupts with an error message while sum returns 0, again due to a premature evaluation of g(k) before k has a numerical value. Using a more modern handling of arguments Add returns unevaluated instead, as seen above, which permits evaluating the summation at a later moment, for instance attributing a value to f.

eval((1.8), f = 3);

G[1]+G[3]

(1.9)
  

See Also

  

add , sum , Physics[Setup]

 

Download sum-redefined.mw

Edgardo S. Cheb-Terrab
Physics, Differential Equations and Mathematical Functions

1 2 3 4 5 6 7 Last Page 1 of 60