janhardo

910 Reputation

13 Badges

11 years, 308 days
B. Ed math

MaplePrimes Activity


These are replies submitted by janhardo


 

 

 

 

restart;
with(plots):

# STEP 1: λ from length constraint
lambda := evalf(50/Pi);

# STEP 2: Create C values using seq
C_vals := [seq(16.2 + i*0.2, i = 0..14), 19.0];

# Compute F values using seq
F_vals := [seq(evalf(Int(sin(phi)*cos(phi)/sqrt(C_vals[i] + lambda*sin(phi)), phi = -Pi/2 .. Pi/2)), i = 1..nops(C_vals))];

# Find sign change
product_vals := [seq(F_vals[i] * F_vals[i+1], i = 1..nops(F_vals)-1)];
idx := 1;
while idx <= nops(product_vals) and product_vals[idx] >= 0 do
    idx := idx + 1;
end do:

if idx <= nops(product_vals) then
    C_left := C_vals[idx];
    C_right := C_vals[idx+1];
    F_left := F_vals[idx];
    F_right := F_vals[idx+1];
else
    C_left := 16.2;
    C_right := 17.0;
    F_left := evalf(Int(sin(phi)*cos(phi)/sqrt(C_left + lambda*sin(phi)), phi = -Pi/2 .. Pi/2));
    F_right := evalf(Int(sin(phi)*cos(phi)/sqrt(C_right + lambda*sin(phi)), phi = -Pi/2 .. Pi/2));
end if:

# Bisection
a := C_left: b := C_right: fa := F_left: fb := F_right:
for iter from 1 to 25 do
    c := (a + b)/2:
    if c <= lambda + 0.001 then
        c := lambda + 0.01:
    end if:
    fc := evalf(Int(sin(phi)*cos(phi)/sqrt(c + lambda*sin(phi)), phi = -Pi/2 .. Pi/2)):
    if abs(fc) < 1e-10 then
        break:
    end if:
    if fa * fc < 0 then
        b := c: fb := fc:
    else
        a := c: fa := fc:
    end if:
end do:

C_opt := (a + b)/2:
if C_opt <= lambda then
    C_opt := lambda + 0.1;
end if:

printf("C_opt = %.8f\n", C_opt);

# STEP 3: Plot - gebruik x als parameter
x_max := sqrt(2*(C_opt + lambda));
x_vals := [seq(0 + i*x_max/200, i = 0..200)]:

upper_points := []:
for x in x_vals do
    sin_phi := (x^2/2 - C_opt)/lambda;
    if abs(sin_phi) <= 1 then
        phi := arcsin(sin_phi);
        y := evalf(Int(sin(psi)*lambda*cos(psi)/sqrt(2*(C_opt + lambda*sin(psi))), psi = -Pi/2 .. phi));
        upper_points := [op(upper_points), [x, y]];
    end if;
end do:

lower_points := [seq([upper_points[i][1], -upper_points[i][2]], i = 1..nops(upper_points))]:

plot([upper_points, lower_points],
     color = ["red", "blue"],
     scaling = constrained,
     labels = ["x (m)", "y (m)"],
     title = "Optimal fence for the farmer (100 m)");

lambda_final := lambda;
C_final := C_opt;

15.91549430

 

[16.2, 16.4, 16.6, 16.8, 17.0, 17.2, 17.4, 17.6, 17.8, 18.0, 18.2, 18.4, 18.6, 18.8, 19.0, 19.0]

 

[-.1780411788, -.1633715659, -.1524516834, -.1436552975, -.1362602225, -.1298720646, -.1242482103, -.1192272373, -.1146955706, -.1105698760, -.1067869753, -.1032976976, -.1000629409, -0.9705104585e-1, -0.9423598463e-1, -0.9423598463e-1]

 

[0.2908686618e-1, 0.2490627024e-1, 0.2190049193e-1, 0.1957450280e-1, 0.1769639642e-1, 0.1613637159e-1, 0.1481377085e-1, 0.1367483601e-1, 0.1268187502e-1, 0.1180742262e-1, 0.1103084868e-1, 0.1033627141e-1, 0.9711213065e-2, 0.9145700865e-2, 0.8880420799e-2]

 

1

 

C_opt = 16.99999999

 

8.113629803

 

 

15.91549430

 

16.99999999

(1.1)

 

 

 

 

 

restart;
with(plots):

lambda := evalf(50/Pi);
C_opt := 16.85;  # Approximate value from earlier calculation

# Generate points for the fence - volledige cyclus van -Pi/2 tot 3Pi/2
phi_vals := [seq(-Pi/2 + i*2*Pi/400, i = 0 .. 400)]:

upper_points := []:
for phi in phi_vals do
    x_val := sqrt(2*(C_opt + lambda*sin(phi)));
    y_val := evalf(Int(sin(psi)*lambda*cos(psi)/sqrt(2*(C_opt + lambda*sin(psi))), psi = -Pi/2 .. phi));
    upper_points := [op(upper_points), [x_val, y_val]];
end do:

# De onderste punten zijn de negatieve y-waarden (de curve is symmetrisch)
lower_points := [seq([upper_points[i][1], -upper_points[i][2]], i = 1..nops(upper_points))]:

plot([upper_points, lower_points],
     color = ["red", "blue"],
     scaling = constrained,
     labels = ["x (m)", "y (m)"],
     title = "Optimal fence for the farmer (100 m) - volledige cyclus");

15.91549430

 

16.85

 

 

 

 

 

 

 

restart;
with(plots):

lambda := evalf(50/Pi);
C_opt := lambda;

# Als C = λ, then is the curve a circle with:
# Middelpunt: (R, 0) met R = λ
# Straal: R = λ
# De cirkel gaat door de oorsprong (0,0) en door (2R, 0)

R := lambda;
middelpunt_x := R;
middelpunt_y := 0;

# Parametrische equation  cirkle
theta_vals := [seq(Pi + i*Pi/100, i = 0 .. 100)]:  # van π tot 2π voor bovenste helft

cirkel_upper := [seq([middelpunt_x + R*cos(theta), R*sin(theta)], theta in theta_vals)]:
cirkel_lower := [seq([middelpunt_x + R*cos(theta), -R*sin(theta)], theta in theta_vals)]:

plot([cirkel_upper, cirkel_lower],
     color = ["red", "blue"],
     scaling = constrained,
     labels = ["x (m)", "y (m)"],
     title = "Optimale omheining is een cirkel (C = λ)",
     legend = ["Bovenste tak", "Onderste tak"]);

printf("========================================\n");
printf("OPTIMALE SOLUTION:\n");
printf("========================================\n");
printf("λ = %.8f m\n", lambda);
printf("C = %.8f m\n", C_opt);
printf("Straal van de cirkel R = λ = %.8f m\n", R);
printf("Totale lengte = 2πR = %.8f m (klopt!)\n", 2*Pi*R);
printf("========================================\n");

15.91549430

 

15.91549430

 

15.91549430

 

15.91549430

 

0

 

 

========================================
OPTIMALE OPLOSSING:
========================================
λ = 15.91549430 m
C = 15.91549430 m
Straal van de cirkel R = λ = 15.91549430 m
Totale lengte = 2πR = 99.99999996 m (klopt!)
========================================

 

 


 

Download weideproblee_nu_voor_mpromesDEFA_13-4-2026.mw

@dharr Final answer to your question

"Did you mean the cost is to be maximized for a given L?"

Yes. That is exactly what the Dutch problem states.
Janhardo assumed correctly. Your alternative interpretation (fix cost and L, maximize area) is not this problem.

You wrote earlier: "The cost is Int(xy(x)) and the area is Int(y) and the fence length is L. So the cost and L are fixed and the area is to be maximized?"*

That "so" was a leap. The problem never said cost is fixed — it said the price per m² increases linearly, so the total cost (value) is what changes with shape. The farmer chooses the shape to make that total cost as large as possible, given L.

@Alfred_F 
There i smuch more involved in the meadow problem concerning maple :-) 
the Dido code can be found here : Integral and Minimum - MaplePrimes  , so if someone feels the need to investigate this too..

it should be something like this teardrop form 

but this is no smooth curve...so wrong
 

Dido his problem :


 

 

dido his problem
 

 

# Translated and corrected version: one plot that was not visible is now fixed
restart;
with(PDEtools):
with(Physics):
with(DEtools):
with(plots):
Setup(mathematicalnotation = true):
declare(y(x), prime=x);

# ------------------------------------------------------------
# 1. Helper functions (previously used)
# ------------------------------------------------------------
detect_order := proc(eq, y, x)
    local derivs;
    derivs := indets(eq, specfunc(diff));
    if derivs = {} then return 0; end if;
    return max(map(d -> nops([op(d)])-1, derivs));
end proc:

EL_equation := proc(L, y, x)
    local dLdy, dLdyprime;
    dLdy := diff(L, y(x));
    dLdyprime := diff(L, diff(y(x), x));
    return simplify(dLdy - diff(dLdyprime, x));
end proc:

detect_type := proc(L)
    local partials;
    partials := indets(L, 'diff'(anything, anything));
    if partials <> {} and ormap(d -> nops([op(d)]) > 2, partials) then
        return "field theory (PDE)";
    elif nops(indets(L, specfunc(diff))) > 1 then
        return "multiple functions (system)";
    else
        return "classical (1 function, ODE)";
    end if;
end proc:

is_linear := proc(eq, y, x)
    local vars, max_order, k;
    max_order := detect_order(eq, y, x);
    vars := {y(x)} union {seq(diff(y(x), x$k), k=1..max_order)};
    try
        if not type(eq, `=`) then
            eq := eq;
        else
            eq := lhs(eq) - rhs(eq);
        end if;
        return andmap(term -> degree(term, vars) <= 1, [op(eq)]);
    catch:
        return false;
    end try;
end proc:

historical_stage := proc(expr, y, x, source)
    local has_first, has_second, has_x, L_simple, L_brach, L_catenoid, L_beam;
    L_simple   := sqrt(1 + diff(y(x), x)^2);
    L_brach    := sqrt((1 + diff(y(x), x)^2)/y(x));
    L_catenoid := y(x) * sqrt(1 + diff(y(x), x)^2);
    L_beam     := diff(y(x), x$2)^2;
    
    if source = "L" then
        if expr = L_simple then
            return "Pre-Euler (Fermat, 1662) – shortest time / shortest path";
        elif expr = L_brach then
            return "Pre-Euler (Bernoulli, 1696) – brachistochrone / tautochrone";
        elif expr = L_catenoid then
            return "Euler (1744) – minimal surface of revolution (catenoid)";
        elif expr = L_beam then
            return "Post-Euler (19th century) – Euler-Bernoulli beam";
        end if;
        
        has_first := has(expr, diff(y(x), x));
        has_second := has(expr, diff(y(x), x$2));
        has_x := has(expr, x) and not has(expr, diff(y(x), x));
        if has_second then
            return "Post-Euler (19th century) – higher-order Lagrangian";
        elif has_first and has_x then
            return "Lagrange (1755) – L = L(x, y, y')";
        elif has_first then
            return "Euler (1744) – L = L(y, y') autonomous";
        else
            return "Pre-Euler (17th century) – L without y' (static)";
        end if;
    else # source = "EL"
        has_first := has(expr, diff(y(x), x));
        has_second := has(expr, diff(y(x), x$2));
        has_x := has(expr, x);
        if has_second then
            return "Post-Euler – second-order (or higher) ODE";
        elif has_first and has_x then
            return "Lagrange – first-order ODE with explicit x";
        elif has_first then
            return "Euler – first-order autonomous ODE";
        else
            return "Pre-Euler – algebraic equation";
        end if;
    end if;
end proc:

# ------------------------------------------------------------
# 2. Overview table of famous historical examples
# ------------------------------------------------------------
print_famous_examples_overview := proc()
    printf("\n");
    printf("====================================================================================================================================\n");
    printf("|                     FAMOUS HISTORICAL EXAMPLES FROM THE CALCULUS OF VARIATIONS                                                     |\n");
    printf("====================================================================================================================================\n");
    printf("| Historical example                   | Lagrangian L                                | Euler-Lagrange equation                      | ODE type (odeadvisor)          |\n");
    printf("|---------------------------------------|---------------------------------------------|---------------------------------------------|--------------------------------|\n");
    printf("| Fermat (1662) – shortest time/path   | L = sqrt(1+y'^2)                            | y'' = 0                                     | _linear, _second_order, _quadrature |\n");
    printf("| Bernoulli (1696) – brachistochrone   | L = sqrt((1+y'^2)/y)                        | 2y y'' + (y')^2 + 1 = 0                     | _second_order, _missing_x      |\n");
    printf("| Huygens (1673) – tautochrone         | L = sqrt((1+y'^2)/y) (same)                 | 2y y'' + (y')^2 + 1 = 0                     | _second_order, _missing_x      |\n");
    printf("| Euler (1744) – catenoid (min. area)  | L = y * sqrt(1+y'^2)                        | y y'' - (y')^2 - 1 = 0                      | _second_order, _reducible, _missing_x |\n");
    printf("| Lagrange (1755) – explicit x         | L = e^x * (y')^2                            | y'' + y' = 0                                | _linear, _second_order, _exact |\n");
    printf("| Geodesic (Lagrange, 1760) – shortest path| L = sqrt(1+y'^2+y^2)                     | (1+y'^2) y'' - y (1+y'^2) - y (y')^2 = 0?  | _second_order, _nonlinear      |\n");
    printf("| Post-Euler – Euler-Bernoulli beam    | L = (y'')^2                                 | y'''' = 0                                   | _linear, _fourth_order, _quadrature |\n");
    printf("====================================================================================================================================\n");
    printf("Note: The tautochrone has the same Lagrangian as the brachistochrone; the difference lies in the boundary conditions.\n");
    printf("For the geodesic a simple non-flat metric is chosen: L = sqrt(1 + y'^2 + y^2).\n\n");
end proc:

# ------------------------------------------------------------
# 3. Main analysis procedure (with odeadvisor)
# ------------------------------------------------------------
analyze_Lagrangian := proc(L, y, x,
                           { classify_from::string := "L",
                             show_ode::boolean := false,
                             show_timeline::boolean := false })
    local eq, type_prob, order_prob, lin, history, source_expr, ode_type;
    
    if show_timeline then
        print_Lagrangian_timeline();
    end if;
    
    type_prob := detect_type(L);
    eq := EL_equation(L, y, x);
    
    if show_ode then
        printf("Euler-Lagrange equation: %a\n", eq);
    end if;
    
    try
        ode_type := DEtools:-odeadvisor(eq, y(x));
    catch:
        ode_type := "cannot determine (not an ODE or too complex)";
    end try;
    
    if classify_from = "L" then
        source_expr := L;
    else
        source_expr := eq;
    end if;
    
    order_prob := detect_order(eq, y, x);
    lin := is_linear(eq, y, x);
    history := historical_stage(source_expr, y, x, classify_from);
    
    return table([
        "Lagrangian" = L,
        "Problem type" = type_prob,
        "Euler-Lagrange equation" = eq,
        "ODE type (odeadvisor)" = ode_type,
        "Order of ODE" = order_prob,
        "Linear?" = lin,
        "Classification based on" = classify_from,
        "Historical phase" = history
    ]);
end proc:

print_Lagrangian_timeline := proc()
    printf("\n");
    printf("================================================================================\n");
    printf("|                  HISTORICAL TIMELINE OF THE LAGRANGIAN                      |\n");
    printf("================================================================================\n");
    printf("| Period           | Figures                  | Characteristic Lagrangian     |\n");
    printf("|------------------|--------------------------|-------------------------------|\n");
    printf("| Pre-Euler (17th) | Fermat, Bernoulli        | L = sqrt(1+y'^2) (Fermat)     |\n");
    printf("|                  |                          | L = sqrt((1+y'^2)/y) (Bernoulli) |\n");
    printf("| Euler (1744-60)  | Leonhard Euler           | L = L(y, y') autonomous       |\n");
    printf("| Lagrange (1755)  | J.-L. Lagrange           | L = L(x, y, y')               |\n");
    printf("| Post-Euler (19th)| Hamilton, Jacobi, Noether| L with higher derivatives     |\n");
    printf("| Modern           | Einstein, Feynman        | Lagrangian density for fields  |\n");
    printf("================================================================================\n");
    printf("\n Note: The pre-Euler examples of Fermat and Bernoulli are shown here.\n\n");
end proc:

# ------------------------------------------------------------
# 4. START: show overview of famous examples
# ------------------------------------------------------------
print_famous_examples_overview();

# ------------------------------------------------------------
# 5. EXTRA: Isoperimetric Dido problem (max area, fixed arc length)
# ------------------------------------------------------------
printf("\n");
printf("********************************************************************************\n");
printf("*          THE ISOPERIMETRIC PROBLEM OF DIDO (9th century BC)                 *\n");
printf("*   Maximize the area under a curve with given arc length                     *\n");
printf("*   and a straight coastline (the x-axis).                                    *\n");
printf("********************************************************************************\n\n");

# Define the functional with Lagrange multiplier lambda
# We want to maximize: A = ∫ y dx  subject to  ∫ sqrt(1+y'^2) dx = L (fixed)
# The Lagrangian becomes: L = y + λ * sqrt(1 + y'^2)
lambda := 'lambda':   # symbol for the multiplier
L_Dido := y(x) + lambda * sqrt(1 + diff(y(x), x)^2);

printf("Lagrangian with Lagrange multiplier λ: L = y + λ * sqrt(1 + y'^2)\n");

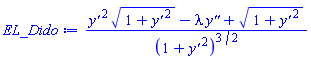
# Euler-Lagrange equation
EL_Dido := EL_equation(L_Dido, y, x);
printf("Euler-Lagrange equation: %a\n", EL_Dido);

# Simplify the equation (it can be reduced to a circle equation)
# Maple can classify the ODE:
try
    ode_type_Dido := DEtools:-odeadvisor(EL_Dido, y(x));
    printf("ODE type (odeadvisor): %a\n", ode_type_Dido);
catch:
    printf("ODE type could not be determined.\n");
end try;

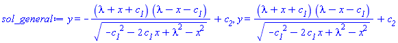
# Solve the ODE (general solution)
sol_general := dsolve(EL_Dido, y(x));
printf("General solution: %a\n", sol_general);

# The solution is a circle: (x - C1)^2 + (y - C2)^2 = λ^2
# We now choose a concrete example: arc length L = 2, coastline from x=-1 to x=1,
# and the curve touches the coast at points (-1,0) and (1,0).
# Then the radius is R = λ, and the centre is (0, R) (circle through (-1,0) and (1,0)).
# Equation: x^2 + (y - R)^2 = R^2  =>  y = R - sqrt(R^2 - x^2)
# Arc length (half circle) = πR = L = 2  => R = 2/π.

L_length := 2;   # given arc length
R := L_length / Pi;
# The optimal curve:
# Correcte definitie van de optimale kromme (halve cirkel op de x-as)
# Correct definition of the optimal curve (semicircle on the x-axis)
y_opt := x -> sqrt(R^2 - x^2);

# Plot of the semicircle
plot_opt := plot(y_opt(x), x=-R..R, color=red, thickness=2, scaling=constrained,
                 title=sprintf("Optimal circular arc for Dido problem (L = %d, R = %.3f)", L_length, evalf(R)),
                 labels=["x", "y"], labeldirections=[horizontal, vertical]):

# Coastline (blue dotted line) from -R to R (endpoints exactly touch the arc)
plot_coast := plot(0, x=-R..R, color=blue, thickness=2, linestyle=dot):

# Display
display([plot_opt, plot_coast], axes=boxed);

# Show the computed area
area := int(y_opt(x), x=-R..R);
printf("Enclosed area = %a (exact) ≈ %a\n", area, evalf(area));

# ------------------------------------------------------------
# 6. Analysis of the Dido problem with the existing procedure
# ------------------------------------------------------------
printf("\n--- Analysis via the general procedure (classification) ---\n");
res_Dido := analyze_Lagrangian(L_Dido, y, x, classify_from="L", show_ode=true, show_timeline=false):
print(res_Dido);

# ------------------------------------------------------------
# 7. Extra example: free closed curve (no coastline)
# ------------------------------------------------------------
printf("\n********************************************************************************\n");
printf("*   Variant: closed curve (no coastline) – the circle as optimal shape        *\n");
printf("********************************************************************************\n");
printf("For a completely closed curve of length L the optimal shape is a circle.\n");
printf("Area = L^2/(4π). For L=2 this gives area = %a.\n", evalf(2^2/(4*Pi)));
printf("This is larger than the area with a coastline (%a), because the coastline restricts freedom.\n", evalf(area));

# ------------------------------------------------------------
# End of code
# ------------------------------------------------------------
printf("\nEnd of demonstration.\n");

y(x)*`will now be displayed as`*y

 

`derivatives with respect to`*x*`of functions of one variable will now be displayed with '`

 


====================================================================================================================================
|                     FAMOUS HISTORICAL EXAMPLES FROM THE CALCULUS OF VARIATIONS                                                     |
====================================================================================================================================
| Historical example                   | Lagrangian L                                | Euler-Lagrange equation                      | ODE type (odeadvisor)          |
|---------------------------------------|---------------------------------------------|---------------------------------------------|--------------------------------|
| Fermat (1662) – shortest time/path   | L = sqrt(1+y'^2)                            | y'' = 0                                     | _linear, _second_order, _quadrature |
| Bernoulli (1696) – brachistochrone   | L = sqrt((1+y'^2)/y)                        | 2y y'' + (y')^2 + 1 = 0                     | _second_order, _missing_x      |
| Huygens (1673) – tautochrone         | L = sqrt((1+y'^2)/y) (same)                 | 2y y'' + (y')^2 + 1 = 0                     | _second_order, _missing_x      |
| Euler (1744) – catenoid (min. area)  | L = y * sqrt(1+y'^2)                        | y y'' - (y')^2 - 1 = 0                      | _second_order, _reducible, _missing_x |
| Lagrange (1755) – explicit x         | L = e^x * (y')^2                            | y'' + y' = 0                                | _linear, _second_order, _exact |
| Geodesic (Lagrange, 1760) – shortest path| L = sqrt(1+y'^2+y^2)                     | (1+y'^2) y'' - y (1+y'^2) - y (y')^2 = 0?  | _second_order, _nonlinear      |
| Post-Euler – Euler-Bernoulli beam    | L = (y'')^2                                 | y'''' = 0                                   | _linear, _fourth_order, _quadrature |
====================================================================================================================================
Note: The tautochrone has the same Lagrangian as the brachistochrone; the difference lies in the boundary conditions.
For the geodesic a simple non-flat metric is chosen: L = sqrt(1 + y'^2 + y^2).


********************************************************************************
*          THE ISOPERIMETRIC PROBLEM OF DIDO (9th century BC)                 *
*   Maximize the area under a curve with given arc length                     *
*   and a straight coastline (the x-axis).                                    *
********************************************************************************

 

 

y(x)+lambda*(1+(diff(y(x), x))^2)^(1/2)

 

Lagrangian with Lagrange multiplier λ: L = y + λ * sqrt(1 + y'^2)

 

((diff(y(x), x))^2*(1+(diff(y(x), x))^2)^(1/2)-lambda*(diff(diff(y(x), x), x))+(1+(diff(y(x), x))^2)^(1/2))/(1+(diff(y(x), x))^2)^(3/2)

 

Euler-Lagrange equation: (diff(y(x),x)^2*(1+diff(y(x),x)^2)^(1/2)-lambda*diff(diff(y(x),x),x)+(1+diff(y(x),x)^2)^(1/2))/(1+diff(y(x),x)^2)^(3/2)

 

[[_2nd_order, _missing_x], [_2nd_order, _exact, _nonlinear]]

 

ODE type (odeadvisor): [[_2nd_order, _missing_x], [_2nd_order, _exact, _nonlinear]]

 

y(x) = -(lambda+x+c__1)*(lambda-x-c__1)/(-c__1^2-2*c__1*x+lambda^2-x^2)^(1/2)+c__2, y(x) = (lambda+x+c__1)*(lambda-x-c__1)/(-c__1^2-2*c__1*x+lambda^2-x^2)^(1/2)+c__2

 

General solution: y(x) = -(lambda+x+c__1)*(lambda-x-c__1)/(-c__1^2-2*c__1*x+lambda^2-x^2)^(1/2)+c__2

 

2

 

2/Pi

 

proc (x) options operator, arrow; sqrt(Physics:-`^`(R, 2)-Physics:-`^`(x, 2)) end proc

 

 

2/Pi

 

Enclosed area = 2/Pi (exact) ≈ .6366197722

--- Analysis via the general procedure (classification) ---
Euler-Lagrange equation: (diff(y(x),x)^2*(1+diff(y(x),x)^2)^(1/2)-lambda*diff(diff(y(x),x),x)+(1+diff(y(x),x)^2)^(1/2))/(1+diff(y(x),x)^2)^(3/2)

 

res_Dido

 


********************************************************************************
*   Variant: closed curve (no coastline) – the circle as optimal shape        *
********************************************************************************
For a completely closed curve of length L the optimal shape is a circle.
Area = L^2/(4π). For L=2 this gives area = .3183098861.
This is larger than the area with a coastline (.6366197722), because the coastline restricts freedom.

End of demonstration.

 

 


 

Download dido_zijn_problem_opgelost_variatierekeneing_9-4-2026.mw

@Jean-Michel 

In the physics package, you can use arrow vectors or index tensor ( vector in cartesian coordinaties works not as a tensor notation as it seems : see example ) 

Arrow vectors are used for standard vector calculations, and index tensors  are used for tensor calculations.

As far as I can tell, these notation for vector  in the physics package are also different from the vector notations in the vector calculus package.

overrzicht_vectornotaties_voor_paketten_in_maple_mprimes_6-4-2026.mw

 

with(Physics):

# --- METHOD 1: Physics[Vectors] ---
with(Vectors):
A := 2*_i + 3*_j - _k;
B := _i - 2*_j + 4*_k;

# Dot product: just use .
A . B;  # Gives -8

# --- METHOD 2: Physics with indices ---
# No with(Vectors) needed!
A[mu] := (2, 3, -1);   # Components of A
B[mu] := (1, -2, 4);   # Components of B

# Dot product via Einstein summation
g_[mu, nu] * A[~mu] * B[~nu];


                     A := 2 _i + 3 _j - _k

                     B := _i - 2 _j + 4 _k

                               -8

                       A[mu] := 2, 3, -1

                       B[mu] := 1, -2, 4

               Physics:-g_[mu, nu] A[~mu] B[~nu]

 

A := [1,2];
type(A, Vector);          # false

B := Vector([1,2]);
type(B, Vector);          # true

C := <1,2>;
type(C, Vector);          # true

 Jean-Michel 70
Try describing what you're looking for, but it gets tricky when your brain isn't working at its best.

@acer 
Thanks , the cube with ribs do it better.
Note: I wonder what's always wrong with this MaplePrimes website, i could not upload the code ? : has it its own server ?, i think so, because you can run only one url  per server ?

Further the transformation code for the rotation is hidden , so it answering not the initial question.

 

 

 

 

restart;
P := proc(phi)
local Cube, c, V, axes_lines, x_label, y_label, z_label;
uses plots, plottools;

    # Wireframe cube (only lines)
    Cube := cuboid([-1,-1,-1], [1,1,1], style=line, color=black, thickness=2);

    # Draw the coordinate axes ourselves (arrows from -3.5 to 3.5)
    axes_lines :=
        arrow([-3.5,0,0], [3.5,0,0], color=blue, width=0.05, thickness=1),  # x-axis
        arrow([0,-3.5,0], [0,3.5,0], color=blue, width=0.05, thickness=1),  # y-axis
        arrow([0,0,-3.5], [0,0,3.5], color=blue, width=0.05, thickness=1);  # z-axis

    # Labels at the ends of the axes
    x_label := textplot3d([3.7, 0, 0, "x"], font=[Times,bold,20], color=blue);
    y_label := textplot3d([0, 3.7, 0, "y"], font=[Times,bold,20], color=blue);
    z_label := textplot3d([0, 0, 3.7, "z"], font=[Times,bold,20], color=blue);

    # Rotation axis along the x-axis (red arrow)
    c := [-2,0,0], [2,0,0];
    V := arrow([c], color=red, width=0.1, thickness=2);

    # Combine everything and rotate
    display(
        rotate(Cube, phi, [c]),
        axes_lines,
        x_label, y_label, z_label,
        V,
        axes=none,                    # turn off default axes
        scaling=constrained,
        orientation=[40,80],
        view=[-3.7..3.7, -3.7..3.7, -3.7..3.7]
    );
end proc:

plots:-animate(P, [phi], phi=0..2*Pi, frames=90, size=[800,800]);

 

 


 

Download kubus_via_plottottools_met_ribben_DEF_2-4-2026.mw

 




 

@Kitonum 
Which rotation is the cube performing now?

@sand15 

with(Student[LinearAlgebra]):

# Rotation matrix for Euler angles (Z-X-Z) with angles psi, theta, phi
R := RotationMatrix(psi, theta, phi, 'Euler');

Spacefilling curve for a cube with  rotation around x-axis seems to be not possible?

Complex_-real_functions_with_parametersDEF_29-3-2026.mw
for Real and complex functions (x,y,t) and  (x,t) 

The maplet could handle this, but there is for now a max of 10 parameters 

{u(x, y, t) = f__4(y) + f__3(t) - 1/2*f__2(t)*(p + sqrt(p^2 - 4*q*r)*tanh(1/2*sqrt(p^2 - 4*q*r)*f__1(t)))/q}


What do you want to achieve with this programming ?

with(Physics ) ? 

@salim-barzani 
It's a start; the next step is to adapt the maplet for functions  with parameters 

1 2 3 4 5 6 7 Last Page 2 of 85