mmcdara

7901 Reputation

22 Badges

9 years, 313 days

MaplePrimes Activity


These are answers submitted by mmcdara


Based upon Descarte's tule of signs,  and assuming gamma > 0, I would say there is only one positive root.
If gamma < 0 I can' be that conclusive.
Only_1_positive_root.mw

Here is a solution (an example about how to place the legend within the plot and to build a composite legend made of line style and symbol ifs proposed in the file):
A_solution.mw

Download A_solution.mw

You can also refer to the answer I gave to your earlier question question https://www.mapleprimes.com/questions/236446-How-To-To-Draw-The-Horizontal-And-Veritcal

The first option is immediate, the second one places t "legend-ike box" within the plot window itself.

restart:

N := (-18*sqrt(2)*(M-4/3)*(x^2+2)^2*arctan((1/2)*x*sqrt(2))-9*Pi*(M-4/3)*(x^2+2)^2*sqrt(2)+(-36*M+48)*x^3+(-120*M+96)*x)/(4*(x^2+2)^2)

(1/4)*(-18*2^(1/2)*(M-4/3)*(x^2+2)^2*arctan((1/2)*x*2^(1/2))-9*Pi*(M-4/3)*(x^2+2)^2*2^(1/2)+(-36*M+48)*x^3+(-120*M+96)*x)/(x^2+2)^2

(1)

p := plot(
  [subs(M = 1.3015, N)]
  , x = -5 .. 5
  , labels = ["x", "N"]
  , axes = boxed
  , labeldirections = ["horizontal", "horizontal"]
  , colour = red
  , linestyle = solid
  , legend = ["N= 1, M= 1.3015"]
  , legendstyle = [location = bottom, font = ["TIMES", "italic", 15]]
 ):

ymin, ymax := (min, max)(plottools:-getdata(p)[3][.., 2]):
eps   := 0.1:
Vline := plot([[0, ymin-eps], [0, ymax+eps]], color=black):
Hline := plot([[-5, 0], [5, 0]], color=black):

plots:-display(p, Vline, Hline);

 

p := plot(
  [subs(M = 1.3015, N)]
  , x = -5 .. 5
  , labels = ["x", "N"]
  , axes = boxed
  , labeldirections = ["horizontal", "horizontal"]
  , colour = red
  , linestyle = solid
  , gridlines = false
 ):


ymin, ymax := (min, max)(plottools:-getdata(p)[3][.., 2]):
eps   := 0.1:
Vline := plot([[0, ymin-eps], [0, ymax+eps]], color=black):
Hline := plot([[-5, 0], [5, 0]], color=black):

Left  := -4.8:
Right := -0.5:

Legend := plots:-display(
  plot(ymin, x=Left..Left+1, color=red)
  , plots:-textplot([Left+1, ymin, " N= 1, M= 1.3015"], align=right)
  , plottools:-rectangle([-4.9, ymin-eps], [-0.2, ymin+eps], color=white)
  #, plot([[Left-0.1, ymin-eps], [Right, ymin-eps], [Right, ymin+eps], [Left-0.1, ymin+eps], [Left-0.1, ymin-eps]], color=black)
):

plots:-display(p, Vline, Hline, Legend);

 

 

Download TwoOptions.mw

... here is a first answer.
The coding is simple and probably not that efficient vor (very) large matrices, Let's just say it's the start of the exchanges to come?

restart

with(LinearAlgebra):

M := RandomMatrix(6$2, generator=0..10)

M := Matrix(6, 6, {(1, 1) = 5, (1, 2) = 6, (1, 3) = 6, (1, 4) = 1, (1, 5) = 1, (1, 6) = 5, (2, 1) = 10, (2, 2) = 10, (2, 3) = 5, (2, 4) = 0, (2, 5) = 2, (2, 6) = 4, (3, 1) = 1, (3, 2) = 5, (3, 3) = 3, (3, 4) = 3, (3, 5) = 4, (3, 6) = 7, (4, 1) = 2, (4, 2) = 1, (4, 3) = 6, (4, 4) = 9, (4, 5) = 3, (4, 6) = 8, (5, 1) = 0, (5, 2) = 3, (5, 3) = 5, (5, 4) = 8, (5, 5) = 6, (5, 6) = 3, (6, 1) = 6, (6, 2) = 4, (6, 3) = 0, (6, 4) = 3, (6, 5) = 9, (6, 6) = 4})

(1)

# A rough code: it"s likely that adjustments must be done for large matrices
# in order to get an efficient code.

SmallestBelow := proc(M, withdiag)
  local coding, minval, here:
  coding := x -> piecewise(x = 0, 1, 0);
  map(x -> [lhs(x)], op(coding~(M))[3]);
  if withdiag then
    minval := min(seq(seq(M[i, j], j=1..i), i=1..numelems(M[1])));
    here   := select((x -> is(x[2] <= x[2])), map(x -> [lhs(x)], op(coding~(M))[3]));
  else
    minval := min(seq(seq(M[i, j], j=2..i), i=1..numelems(M[1])));
    here   := select((x -> is(x[2] < x[1])), map(x -> [lhs(x)], op(coding~(M))[3]));
  end if:
  minval, here
end proc:

# Strictly delow the diagonal

minval, here := SmallestBelow(M, false);


# Diagonal included

minval, here := SmallestBelow(M, true);

0, {[5, 1], [6, 3]}

 

0, {[2, 4], [5, 1], [6, 3]}

(2)

 

Download Min_value_and_locations.mw

(x-4*y)^9+3*z reaches its maximum value when z=17 and when (x-4*y)^9 is maximum, thus when x=3 and y=0.
Maximum value = 3^9+3*17 = 19734

Didn't I already answered a similar question weeks ago ???

In case you didn't read my answer, which can be possible, here it is again.
In case you read it but didn't like it, I would have been happy to receive your comments instead of seeing it again under hidden form.
By the way, the code below works for any version of Maple.

restart;

#with(student):

U := a[0] + sum(-a[i]*tanh(xi[n])^i, i = 1 .. 1) + sum(-b[i]*tanh(xi[n])^(-i), i = 1 .. 1):

u(xi[n + 1]) := a[0] - a[1]*(tanh(xi[n]) + tanh(d))/(1 + tanh(xi[n])*tanh(d)) - b[1]*(1 + tanh(xi[n])*tanh(d))/(tanh(xi[n]) + tanh(d)):

u(xi[n - 1]) := a[0] - a[1]*(tanh(xi[n]) - tanh(d))/(1 - tanh(xi[n])*tanh(d)) - b[1]*(1 - tanh(xi[n])*tanh(d))/(tanh(xi[n]) - tanh(d)):

eq := c[1]^2*diff(U, xi[n], xi[n])*ln(1 + U/alpha) - beta*(u(xi[n + 1]) - 2*U - u(xi[n - 1])):

fin1 := simplify(numer(eq)):

fin := simplify(subs(tanh(xi[n]) = Psi, fin1)):

# As the degree(Psi*ln(Psi), Psi) returns FAIL, the idea is to replace ln(...) by
# something else, let's say H.
#
# Observe that EQ[1] is  the identity 0=0

lnPsi := select(has, indets(fin, function), ln)[]:
fin_H := eval(fin, lnPsi=H):
deg   := degree(fin_H, Psi);
print():

for i from 0 to deg do
  collect(coeff(fin_H, Psi, i), H);
  EQ[i] := eval(%, H=lnPsi) = 0;
end do:

print~(EQ):

10

 

 

-2*ln(-(Psi^2*a[1]-Psi*alpha-Psi*a[0]+b[1])/(Psi*alpha))*tanh(d)^2*b[1]*c[1]^2 = 0

 

0 = 0

 

(2*tanh(d)^4*b[1]*c[1]^2+2*tanh(d)^2*b[1]*c[1]^2+2*b[1]*c[1]^2)*ln(-(Psi^2*a[1]-Psi*alpha-Psi*a[0]+b[1])/(Psi*alpha))-2*tanh(d)^2*beta*b[1] = 0

 

2*tanh(d)^3*beta*a[1]+2*tanh(d)^2*beta*a[0]+2*tanh(d)*beta*b[1] = 0

 

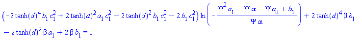
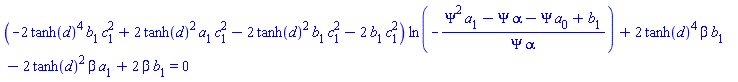
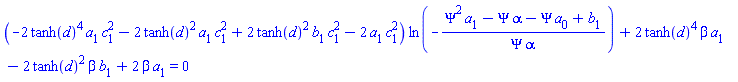
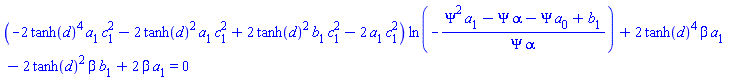
(-2*tanh(d)^4*b[1]*c[1]^2+2*tanh(d)^2*a[1]*c[1]^2-2*tanh(d)^2*b[1]*c[1]^2-2*b[1]*c[1]^2)*ln(-(Psi^2*a[1]-Psi*alpha-Psi*a[0]+b[1])/(Psi*alpha))+2*tanh(d)^4*beta*b[1]-2*tanh(d)^2*beta*a[1]+2*beta*b[1] = 0

 

-2*beta*a[0]-2*tanh(d)^4*beta*a[0]-2*tanh(d)^3*beta*a[1]-2*tanh(d)^3*beta*b[1]-2*tanh(d)*beta*a[1]-2*tanh(d)*beta*b[1] = 0

 

(-2*tanh(d)^4*a[1]*c[1]^2-2*tanh(d)^2*a[1]*c[1]^2+2*tanh(d)^2*b[1]*c[1]^2-2*a[1]*c[1]^2)*ln(-(Psi^2*a[1]-Psi*alpha-Psi*a[0]+b[1])/(Psi*alpha))+2*tanh(d)^4*beta*a[1]-2*tanh(d)^2*beta*b[1]+2*beta*a[1] = 0

 

2*tanh(d)^2*beta*a[0]+2*tanh(d)*beta*a[1]+2*tanh(d)^3*beta*b[1] = 0

 

0 = 0

 

(2*tanh(d)^4*a[1]*c[1]^2+2*tanh(d)^2*a[1]*c[1]^2+2*a[1]*c[1]^2)*ln(-(Psi^2*a[1]-Psi*alpha-Psi*a[0]+b[1])/(Psi*alpha))-2*tanh(d)^2*beta*a[1] = 0

 

-2*ln(-(Psi^2*a[1]-Psi*alpha-Psi*a[0]+b[1])/(Psi*alpha))*tanh(d)^2*a[1]*c[1]^2 = 0

(1)

 

Download Degree_3_mmcdara.mw

@Kitonum's answer is likely the simpler and the most efficient.

Nevertheless here is a slight variant:

for i from 3 to nops(n) do 
  if i::odd then
    f[i] := n[i-2]-3*n[i-1]+3*n[i]; 
  else
    f[i] := n[i-3]+4*n[i-2]-6*n[i-1]+n[i]; 
  end if:
end do:

@Rouben Rostamian  

Hi Rouben,
Not in my intention to interfere in your exchange with the OP, but I suggest you to do something like this, whith your more recent version than my old 2015.2 (I was forced to rotate the plot to circumvent the lack of the orientation option in texplot)

 

restart;

f := theta -> 6000*sin(theta) - 3819.718635

proc (theta) options operator, arrow; 6000*sin(theta)-3819.718635 end proc

(1)

pl1 := plots:-display(
    plot(f(t)+3819.718635, t=0..Pi, coords=polar, color=red, thickness=3)
  , seq(plot(r, t=0..Pi, coords=polar, color=gray, thickness=1), r in [seq](0..7000, 3819.718635/5))
  , plot(3819.718635, t=0..Pi, coords=polar, color=black, thickness=1)
  , seq(plot([[0, 0], [7000*cos(t*Pi), 7000*sin(t*Pi)]], color=gray), t in [seq](0..1, 1/6))
  , axes=none
  , scaling=constrained
):

# In Maple the option orientation is doesn't exist to oriente the text.
# So this trick to suggest you a modification of your answer.

plots:-display(
    plottools:-rotate(pl1, Pi/2)
   , seq(plots:-textplot([0, r, nprintf("%1.2e", r-3819.718635)], align=right), r in [seq](0..6500, 3819.718635/5))
   , seq(
       plots:-textplot(
         [
           7000*cos(t*Pi+Pi/2)
           , 7000*sin(t*Pi+Pi/2)
           , typeset(Pi-t*Pi)
         ]
         , align={left, piecewise(t=1/2, NULL, t > 1/2, below, above)}
       )
       , t in [seq](0..1, 1/6)
     )
);

 

 


 

Download suggestion.mw

@delvin 

Is it this that you want?

restart;

#with(student):

U := a[0] + sum(-a[i]*tanh(xi[n])^i, i = 1 .. 1) + sum(-b[i]*tanh(xi[n])^(-i), i = 1 .. 1):

u(xi[n + 1]) := a[0] - a[1]*(tanh(xi[n]) + tanh(d))/(1 + tanh(xi[n])*tanh(d)) - b[1]*(1 + tanh(xi[n])*tanh(d))/(tanh(xi[n]) + tanh(d)):

u(xi[n - 1]) := a[0] - a[1]*(tanh(xi[n]) - tanh(d))/(1 - tanh(xi[n])*tanh(d)) - b[1]*(1 - tanh(xi[n])*tanh(d))/(tanh(xi[n]) - tanh(d)):

eq := c[1]^2*diff(U, xi[n], xi[n])*ln(1 + U/alpha) - beta*(u(xi[n + 1]) - 2*U - u(xi[n - 1])):

fin1 := simplify(numer(eq)):

fin := simplify(subs(tanh(xi[n]) = Psi, fin1)):

# As degree(Psi*ln(Psi), Psi) returns FAIL, the idea is to replace ln(...) by
# something else, let's say H.
#
# Observe that EQ[1] is  the identity 0=0

lnPsi := select(has, indets(fin, function), ln)[]:
fin_H := eval(fin, lnPsi=H):
deg   := degree(fin_H, Psi);
print():

for i from 0 to deg do
  collect(coeff(fin_H, Psi, i), H);
  EQ[i] := eval(%, H=lnPsi) = 0;
end do:

print~(EQ):

10

 

 

-2*ln(-(Psi^2*a[1]-Psi*alpha-Psi*a[0]+b[1])/(Psi*alpha))*tanh(d)^2*b[1]*c[1]^2 = 0

 

0 = 0

 

(2*tanh(d)^4*b[1]*c[1]^2+2*tanh(d)^2*b[1]*c[1]^2+2*b[1]*c[1]^2)*ln(-(Psi^2*a[1]-Psi*alpha-Psi*a[0]+b[1])/(Psi*alpha))-2*tanh(d)^2*beta*b[1] = 0

 

2*tanh(d)^3*beta*a[1]+2*tanh(d)^2*beta*a[0]+2*tanh(d)*beta*b[1] = 0

 

(-2*tanh(d)^4*b[1]*c[1]^2+2*tanh(d)^2*a[1]*c[1]^2-2*tanh(d)^2*b[1]*c[1]^2-2*b[1]*c[1]^2)*ln(-(Psi^2*a[1]-Psi*alpha-Psi*a[0]+b[1])/(Psi*alpha))+2*tanh(d)^4*beta*b[1]-2*tanh(d)^2*beta*a[1]+2*beta*b[1] = 0

 

-2*beta*a[0]-2*tanh(d)^4*beta*a[0]-2*tanh(d)^3*beta*a[1]-2*tanh(d)^3*beta*b[1]-2*tanh(d)*beta*a[1]-2*tanh(d)*beta*b[1] = 0

 

(-2*tanh(d)^4*a[1]*c[1]^2-2*tanh(d)^2*a[1]*c[1]^2+2*tanh(d)^2*b[1]*c[1]^2-2*a[1]*c[1]^2)*ln(-(Psi^2*a[1]-Psi*alpha-Psi*a[0]+b[1])/(Psi*alpha))+2*tanh(d)^4*beta*a[1]-2*tanh(d)^2*beta*b[1]+2*beta*a[1] = 0

 

2*tanh(d)^2*beta*a[0]+2*tanh(d)*beta*a[1]+2*tanh(d)^3*beta*b[1] = 0

 

0 = 0

 

(2*tanh(d)^4*a[1]*c[1]^2+2*tanh(d)^2*a[1]*c[1]^2+2*a[1]*c[1]^2)*ln(-(Psi^2*a[1]-Psi*alpha-Psi*a[0]+b[1])/(Psi*alpha))-2*tanh(d)^2*beta*a[1] = 0

 

-2*ln(-(Psi^2*a[1]-Psi*alpha-Psi*a[0]+b[1])/(Psi*alpha))*tanh(d)^2*a[1]*c[1]^2 = 0

(1)

 

Download Degree_3_mmcdara.mw

Here is a simpler and corrected version of your code: note the Alert Maplet displays the content of the TextArea component and no longer "test".
But the three times knocking is still here
SimplerButStill3Times.mw

I will keep digging to try and understand where it comes from but I'm afraid it could be some undesired "side effect" between DocumentTools and Maplets packages (?).

This suspicion comes from this observation:
Here is a slight variant of the previous file
SimplerButStill3Times_2.mw
Proceed this way:

  1. write a number in the text area
  2. click on the shortcut to execute the "line" you wrote
  3. click on the line "void"

The  Alert Maplet is displayed once
Changing the number and redoing steps 2 and 3 still displays the Alert Maplet once



It's likely that more concise solutions do exist
 

repl_U := [seq(z^(-i) = U[q+1-i]/U(z), i = 1..deg_mx)]:
LHS    := collect(eval(lhs(f), repl_U), [seq(U[q+1-i], i = 1..deg_mx)]):
repl_Y := [seq(z^(-i) = Y[q+1-i]/Y(z), i = 1..deg_mx)]:
RHS    := collect(eval(rhs(f), repl_Y), [seq(Y[q+1-i], i = 1..deg_mx)]):
# last operation
LHS = eval(RHS, Y(z)=Y[q+1]);


One_way.mw

In OdeSys you have this ode;

diff(Phi(Y), Y)+.1*Theta(Y)-.1*Phi(Y) = 0;

The boundary condition you set is 

Phi(1) = 1+g*D(Phi)(1);

dsolve/numeric doesn't seem to accept a boundary condition of this form for an ode of order one (even if a solution can exist).
See this notional example  Download Example.mw


The same problem holds for the ode diff(U(Y), Y) = ...

If you replace your bcs by these one you will get a solution 

Cond := 
D(W)(0) = 0, 
W(1) = -delta*(1+1/bet)*D(W)(1), 

D(Theta)(0) = 0, 
Theta(1) = 1+g*D(Theta)(1), 

#U(1) = -delta*(1+1/bet)*D(U)(1), 
U(0)=0,
#Phi(1) = 1+g*D(Phi)(1);
Phi(0)=0

But maybe it's not what you want (see below).

A question for more skilled Maple users: Is it true that dsolve/numeric is not capable to handle a Fourier boundary condition for a first order ode?

ABOUT YOUR FIRST QUESTION : "(I) want extra Boundary conditions U(0)=0 and Phi(0)=0"

A simple idea to achieve this is: instead of solving (for instance) 

diff(Phi(Y), Y)+.1*Theta(Y)-.1*Phi(Y) = 0;
Phi(1) = 1+g*D(Phi)(1);

solve instead 

diff(diff(Phi(Y), Y)+.1*Theta(Y)-.1*Phi(Y), Y) = 0;
Phi(1) = 1+g*D(Phi)(1);
Phi(0)=0;

Here is an excerpt of the code with a focus on the modifications

   #..........

OdeSys :=
a1*(1+1/bet)*(diff(W(Y), Y, Y))+a2*Ra*(diff(W(Y), Y))+A-a5*M*W(Y)-S2*W(Y)^2+a2*Gr*Theta(Y)-S*betu*(W(Y)-U(Y)) = 0,
 (a4+Rd)*(diff(Theta(Y), Y, Y))+a3*Pr*Ra*(diff(Theta(Y), Y))+Q*Theta(Y)+Pr*alp*S*bett*(Theta(Y)-Phi(Y))+Pr*Ec*((1+1/bet)*a1*(diff(W(Y), Y))^2+a5*M*W(Y)^2+(1+1/bet)*a1*S1*W(Y)^2+S2*W(Y)^3+S*betu*(W(Y)-U(Y))) = 0,
 diff(Ra*(diff(U(Y), Y))+betu*(W(Y)-U(Y)), Y) = 0,
diff( Ra*(diff(Phi(Y), Y))+bett*(Theta(Y)-Phi(Y)), Y) = 0

2.292073200*(diff(diff(W(Y), Y), Y))+1.622380952*(diff(W(Y), Y))+1-1.296703274*M*W(Y)-W(Y)^2+.1622380952*Theta(Y)-0.5e-1*W(Y)+0.5e-1*U(Y) = 0, 1.133280444*(diff(diff(Theta(Y), Y), Y))+20.47935582*(diff(Theta(Y), Y))+1.105*Theta(Y)-.105*Phi(Y)+48.13353720*(diff(W(Y), Y))^2+27.23076875*M*W(Y)^2+48.13353720*W(Y)^2+21*W(Y)^3+1.05*W(Y)-1.05*U(Y) = 0, diff(diff(U(Y), Y), Y)+.1*(diff(W(Y), Y))-.1*(diff(U(Y), Y)) = 0, diff(diff(Phi(Y), Y), Y)+.1*(diff(Theta(Y), Y))-.1*(diff(Phi(Y), Y)) = 0

(13)

Cond :=
D(W)(0) = 0,
W(1) = -delta*(1+1/bet)*D(W)(1),

D(Theta)(0) = 0,
Theta(1) = 1+g*D(Theta)(1),

U(1) = -delta*(1+1/bet)*D(U)(1),
U(0) = 0,

Phi(1) = 1+g*D(Phi)(1),
Phi(0) = 0;

(D(W))(0) = 0, W(1) = -3.000000000*(D(W))(1), (D(Theta))(0) = 0, Theta(1) = 1+.5*(D(Theta))(1), U(1) = -3.000000000*(D(U))(1), U(0) = 0, Phi(1) = 1+.5*(D(Phi))(1), Phi(0) = 0

(14)

MVals := [1, 3, 5]

[1, 3, 5]

(15)

for j to numelems(MVals) do Ans[j] := dsolve(eval([OdeSys, Cond], M = MVals[j]), numeric, output = listprocedure) end do

[Y = proc (Y) local _res, _dat, _solnproc; option `Copyright (c) 1993 by the University of Waterloo. All rights reserved.`; _dat := Array(1..4, {(1) = proc (outpoint) local X, Y, YP, yout, errproc, L, V, i; option `Copyright (c) 2000 by Waterloo Maple Inc. All rights reserved.`; X := Vector(20, {(1) = .0, (2) = 0.35719097960602804e-1, (3) = 0.7275276815367403e-1, (4) = .11125780726700532, (5) = .15145014267940804, (6) = .19444503533587412, (7) = .24143614849513576, (8) = .2937559435180791, (9) = .3505250574913286, (10) = .4110930653557727, (11) = .4751191880069268, (12) = .5398972580085897, (13) = .6051900309982151, (14) = .6704942680985273, (15) = .735727856806597, (16) = .8008524401122463, (17) = .86564262177287, (18) = .9193141275004441, (19) = .962648766031185, (20) = 1.0}, datatype = float[8], order = C_order); Y := Matrix(20, 8, {(1, 1) = .0, (1, 2) = 2.0053251936081944, (1, 3) = 1.459449488576314, (1, 4) = .0, (1, 5) = .0, (1, 6) = -0.5612973334711832e-2, (1, 7) = .45438512050371493, (1, 8) = .0, (2, 1) = 0.7176776742213782e-1, (2, 2) = 2.0134023775287604, (2, 3) = 1.4504454167927874, (2, 4) = -.45537569238094155, (2, 5) = -0.20071098719062178e-3, (2, 6) = -0.5621503550492427e-2, (2, 7) = .4542697116743303, (2, 8) = -0.643170315469985e-2, (3, 1) = .14650749204991942, (3, 2) = 2.0230651157366997, (3, 3) = 1.4285577593411758, (3, 4) = -.6993519698563813, (3, 5) = -0.40869111321034733e-3, (3, 6) = -0.5606444098831052e-2, (3, 7) = .4539111370316967, (3, 8) = -0.12897383107368028e-1, (4, 1) = .22461147400584763, (4, 2) = 2.0338411534786576, (4, 3) = 1.398901363877521, (4, 4) = -.8260054974367521, (4, 5) = -0.6238642222587452e-3, (4, 6) = -0.55657238487568815e-2, (4, 7) = .45328876142190666, (4, 8) = -0.1939049275956177e-1, (5, 1) = .3065896273527975, (5, 2) = 2.0455010701918805, (5, 3) = 1.3642803500922391, (5, 4) = -.8886173875803364, (5, 5) = -0.8462678436774964e-3, (5, 6) = -0.5496822376964125e-2, (5, 7) = .4523773430825606, (5, 8) = -0.25920924202723607e-1, (6, 1) = .3948083998129553, (6, 2) = 2.0582142969946084, (6, 3) = 1.3253668545251265, (6, 4) = -.9170292649927623, (6, 5) = -0.10805033940007663e-2, (6, 6) = -0.5394261634780204e-2, (6, 7) = .4511175001103978, (6, 8) = -0.32638394195837514e-1, (7, 1) = .49185567682557213, (7, 2) = 2.072256296552187, (7, 3) = 1.281994135961963, (7, 4) = -.9264685482085676, (7, 5) = -0.13307107526425452e-2, (7, 6) = -0.5249243795647192e-2, (7, 7) = .44941711436042603, (7, 8) = -0.3968205092935408e-1, (8, 1) = .6006868709925981, (8, 2) = 2.087986026940522, (8, 3) = 1.2335280262456318, (8, 4) = -.9248176392470497, (8, 5) = -0.16002824214905727e-2, (8, 6) = -0.5048806225355029e-2, (8, 7) = .44714316698865636, (8, 8) = -0.4718601026820781e-1, (9, 1) = .7197059916406936, (9, 2) = 2.1051163426550845, (9, 3) = 1.1812439897480995, (9, 4) = -.9163988595413346, (9, 5) = -0.1879672842327696e-2, (9, 6) = -0.4786632705167547e-2, (9, 7) = .44424204136594453, (9, 8) = -0.5496153962800083e-1, (10, 1) = .847763297944333, (10, 2) = 2.123435337834906, (10, 3) = 1.126111344253534, (10, 4) = -.9036455603483291, (10, 5) = -0.21598771781540984e-2, (10, 6) = -0.4457593823292657e-2, (10, 7) = .4406714482113693, (10, 8) = -0.6288112123455601e-1, (11, 1) = .9843393499550938, (11, 2) = 2.1428285542537844, (11, 3) = 1.0687552320755083, (11, 4) = -.8876468667624571, (11, 5) = -0.24327255396754594e-2, (11, 6) = -0.4056474806134682e-2, (11, 7) = .4363874096782681, (11, 8) = -0.708810134362007e-1, (12, 1) = 1.1237836093097533, (12, 2) = 2.1624652853041466, (12, 3) = 1.011832180926541, (12, 4) = -.8695451341011282, (12, 5) = -0.2680896493999921e-2, (12, 6) = -0.3596845896471083e-2, (12, 7) = .43154294962730755, (12, 8) = -0.7863768804042866e-1, (13, 1) = 1.2656232819456894, (13, 2) = 2.182262739970384, (13, 3) = .9556973069001019, (13, 4) = -.8496857938539728, (13, 5) = -0.28991737520459543e-2, (13, 6) = -0.308051138535623e-2, (13, 7) = .42616132725811307, (13, 8) = -0.8616326952785293e-1, (14, 1) = 1.408780712702396, (14, 2) = 2.202058530406396, (14, 3) = .9008968332966889, (14, 4) = -.8284046501288216, (14, 5) = -0.3082067319124229e-2, (14, 6) = -0.2512223889450374e-2, (14, 7) = .4202955587319762, (14, 8) = -0.9344382370597953e-1, (15, 1) = 1.5530735139719447, (15, 2) = 2.2218189937848294, (15, 3) = .8475850007819113, (15, 4) = -.8058880695807592, (15, 5) = -0.32260533892462394e-2, (15, 6) = -0.18938930243389903e-2, (15, 7) = .41396826401074016, (15, 8) = -.10051502209225827, (16, 1) = 1.698410351647586, (16, 2) = 2.2415247347014464, (16, 3) = .7958644292913738, (16, 4) = -.7822956883101383, (16, 5) = -0.3327942234282917e-2, (16, 6) = -0.1226938539977064e-2, (16, 7) = .4071968303220844, (16, 8) = -.10741495835348656, (17, 1) = 1.844273487156983, (17, 2) = 2.2611008629453613, (17, 3) = .7459662823616324, (17, 4) = -.7578533262440998, (17, 5) = -0.33846255216261703e-2, (17, 6) = -0.514759129154577e-3, (17, 7) = .4000183529265164, (17, 8) = -.11415970645343881, (18, 1) = 1.9660647808809397, (18, 2) = 2.2772916881728023, (18, 3) = .7058493238111733, (18, 4) = -.7369636984802895, (18, 5) = -0.33955895702907526e-2, (18, 6) = 0.11169791160924508e-3, (18, 7) = .3937428184702135, (18, 8) = -.11968211404294021, (19, 1) = 2.0650332867510306, (19, 2) = 2.2903449057162386, (19, 3) = .6742856542468953, (19, 4) = -.7197253946637352, (19, 5) = -0.3379345969243999e-2, (19, 6) = 0.6415663100252571e-3, (19, 7) = .3884603780871002, (19, 8) = -.1241121401831915, (20, 1) = 2.1507903764298955, (20, 2) = 2.3015807528597905, (20, 3) = .6476842724902494, (20, 4) = -.7046314550195008, (20, 5) = -0.33465809221206125e-2, (20, 6) = 0.11155269740402043e-2, (20, 7) = .38375353649407395, (20, 8) = -.12791784549802465}, datatype = float[8], order = C_order); YP := Matrix(20, 8, {(1, 1) = 2.0053251936081944, (1, 2) = .20053251936081945, (1, 3) = .0, (1, 4) = -17.312630624062646, (1, 5) = -0.5612973334711832e-2, (1, 6) = -0.5612973334711833e-3, (1, 7) = .0, (1, 8) = -.18253803495142387, (2, 1) = 2.0134023775287604, (2, 2) = .2468778069909702, (2, 3) = -.45537569238094155, (2, 4) = -9.061708006510269, (2, 5) = -0.5621503550492427e-2, (2, 6) = 0.8101996042074228e-4, (2, 7) = -0.643170315469985e-2, (2, 8) = -.17745738418826795, (3, 1) = 2.0230651157366997, (3, 2) = .27224170855930807, (3, 3) = -.6993519698563813, (3, 4) = -4.603982074336188, (3, 5) = -0.5606444098831052e-2, (3, 6) = 0.7290939008536977e-3, (3, 7) = -0.12897383107368028e-1, (3, 8) = -.1716797927099076, (4, 1) = 2.0338411534786576, (4, 2) = .28598466509154097, (4, 3) = -.8260054974367521, (4, 4) = -2.2429513477533867, (4, 5) = -0.55657238487568815e-2, (4, 6) = 0.1382476891080489e-2, (4, 7) = -0.1939049275956177e-1, (4, 8) = -.16559199463104318, (5, 1) = 2.0455010701918805, (5, 2) = .29341184577722174, (5, 3) = -.8886173875803364, (5, 4) = -1.0167952207811748, (5, 5) = -0.5496822376964125e-2, (5, 6) = 0.20424101825759484e-2, (5, 7) = -0.25920924202723607e-1, (5, 8) = -.1594098341596127, (6, 1) = 2.0582142969946084, (6, 2) = .29752435619873707, (6, 3) = -.9170292649927623, (6, 4) = -.3830211788724602, (6, 5) = -0.5394261634780204e-2, (6, 6) = 0.2724413256105731e-2, (6, 7) = -0.32638394195837514e-1, (6, 8) = -.15313238968077217, (7, 1) = 2.072256296552187, (7, 2) = .2998724844760755, (7, 3) = -.9264685482085676, (7, 4) = -0.60460912944764036e-1, (7, 5) = -0.5249243795647192e-2, (7, 6) = 0.3443280713370689e-2, (7, 7) = -0.3968205092935408e-1, (7, 8) = -.14673837885869348, (8, 1) = 2.087986026940522, (8, 2) = .30128036661875723, (8, 3) = -.9248176392470497, (8, 4) = .10219738914667098, (8, 5) = -0.5048806225355029e-2, (8, 6) = 0.4213720404285278e-2, (8, 7) = -0.4718601026820781e-1, (8, 8) = -.14021601066572284, (9, 1) = 2.1051163426550845, (9, 2) = .3021515202196419, (9, 3) = -.9163988595413346, (9, 4) = .18477369158772106, (9, 5) = -0.4786632705167547e-2, (9, 6) = 0.5017490692283328e-2, (9, 7) = -0.5496153962800083e-1, (9, 8) = -.1338382357784468, (10, 1) = 2.123435337834906, (10, 2) = .30270808981832353, (10, 3) = -.9036455603483291, (10, 4) = .2323220188969241, (10, 5) = -0.4457593823292657e-2, (10, 6) = 0.5842352741126336e-2, (10, 7) = -0.6288112123455601e-1, (10, 8) = -.12780046682246987, (11, 1) = 2.1428285542537844, (11, 2) = .30304754210162416, (11, 3) = -.8876468667624571, (11, 4) = .2657246916082982, (11, 5) = -0.4056474806134682e-2, (11, 6) = 0.6682453863006602e-2, (11, 7) = -0.708810134362007e-1, (11, 8) = -.12222857720286623, (12, 1) = 2.1624652853041466, (12, 2) = .3032010419405275, (12, 3) = -.8695451341011282, (12, 4) = .29236487799593064, (12, 5) = -0.3596845896471083e-2, (12, 6) = 0.75040842143957575e-2, (12, 7) = -0.7863768804042866e-1, (12, 8) = -.11738445926466252, (13, 1) = 2.182262739970384, (13, 2) = .3031948533824357, (13, 3) = -.8496857938539728, (13, 4) = .3154535977139292, (13, 5) = -0.308051138535623e-2, (13, 6) = 0.8308275814249672e-2, (13, 7) = -0.8616326952785293e-1, (13, 8) = -.11325535903762853, (14, 1) = 2.202058530406396, (14, 2) = .3030463180535218, (14, 3) = -.8284046501288216, (14, 4) = .33590310410426294, (14, 5) = -0.2512223889450374e-2, (14, 6) = 0.9093159981652915e-2, (14, 7) = -0.9344382370597953e-1, (14, 8) = -.10983176344252321, (15, 1) = 2.2218189937848294, (15, 2) = .3027707063365589, (15, 3) = -.8058880695807592, (15, 4) = .3540740832535115, (15, 5) = -0.18938930243389903e-2, (15, 6) = 0.9862112906791929e-2, (15, 7) = -.10051502209225827, (15, 8) = -.1070705229055163, (16, 1) = 2.2415247347014464, (16, 2) = .3023820423011585, (16, 3) = -.7822956883101383, (16, 4) = .370114372923692, (16, 5) = -0.1226938539977064e-2, (16, 6) = 0.1061880198135095e-1, (16, 7) = -.10741495835348656, (16, 8) = -.10492796929864943, (17, 1) = 2.2611008629453613, (17, 2) = .3018954189189461, (17, 3) = -.7578533262440998, (17, 4) = .3840645990962983, (17, 5) = -0.514759129154577e-3, (17, 6) = 0.11364494732428424e-1, (17, 7) = -.11415970645343881, (17, 8) = -.10336653995058015, (18, 1) = 2.2772916881728023, (18, 2) = .3014255386653092, (18, 3) = -.7369636984802895, (18, 4) = .3941389673270303, (18, 5) = 0.11169791160924508e-3, (18, 6) = 0.11979381195454946e-1, (18, 7) = -.11968211404294021, (18, 8) = -.10247828836869974, (19, 1) = 2.2903449057162386, (19, 2) = .3010070300379974, (19, 3) = -.7197253946637352, (19, 4) = .4013082879540461, (19, 5) = 0.6415663100252571e-3, (19, 6) = 0.12475370649321676e-1, (19, 7) = -.1241121401831915, (19, 8) = -.10201522027713918, (20, 1) = 2.3015807528597905, (20, 2) = .30062122078792913, (20, 3) = -.7046314550195008, (20, 4) = .4068028054072272, (20, 5) = 0.11155269740402043e-2, (20, 6) = 0.12903337247206487e-1, (20, 7) = -.12791784549802465, (20, 8) = -.1017905260964087}, datatype = float[8], order = C_order); errproc := proc (x_bvp) local outpoint, X, Y, yout, L, V, i; option `Copyright (c) 2000 by Waterloo Maple Inc. All rights reserved.`; Digits := 15; outpoint := evalf(x_bvp); X := Vector(20, {(1) = .0, (2) = 0.35719097960602804e-1, (3) = 0.7275276815367403e-1, (4) = .11125780726700532, (5) = .15145014267940804, (6) = .19444503533587412, (7) = .24143614849513576, (8) = .2937559435180791, (9) = .3505250574913286, (10) = .4110930653557727, (11) = .4751191880069268, (12) = .5398972580085897, (13) = .6051900309982151, (14) = .6704942680985273, (15) = .735727856806597, (16) = .8008524401122463, (17) = .86564262177287, (18) = .9193141275004441, (19) = .962648766031185, (20) = 1.0}, datatype = float[8], order = C_order); Y := Matrix(20, 8, {(1, 1) = .0, (1, 2) = 0.54921958697355426e-14, (1, 3) = 0.6971945144726081e-12, (1, 4) = .0, (1, 5) = .0, (1, 6) = -0.43901173915795137e-15, (1, 7) = 0.34206397338666417e-13, (1, 8) = .0, (2, 1) = 0.16159101392451558e-11, (2, 2) = -0.2910488654920155e-10, (2, 3) = 0.29343668194507134e-9, (2, 4) = -0.52746234622770295e-8, (2, 5) = -0.38317312087969237e-15, (2, 6) = 0.6191912109753353e-14, (2, 7) = -0.32330205877042315e-13, (2, 8) = 0.12002986289969285e-11, (3, 1) = 0.11082816477196082e-11, (3, 2) = -0.19954323132225836e-10, (3, 3) = 0.20142404534947036e-9, (3, 4) = -0.36168789827019156e-8, (3, 5) = -0.2839165693988888e-15, (3, 6) = 0.4113737202260409e-14, (3, 7) = -0.1154872384201362e-13, (3, 8) = 0.822299765052115e-12, (4, 1) = 0.41719475846940715e-12, (4, 2) = -0.7497686506563506e-11, (4, 3) = 0.7617120864179665e-10, (4, 4) = -0.13602035420107753e-8, (4, 5) = -0.1437434685413802e-15, (4, 6) = 0.12782936234106492e-14, (4, 7) = 0.168941348677072e-13, (4, 8) = 0.3079698125136499e-12, (5, 1) = 0.13923650558859692e-13, (5, 2) = -0.21789360639298075e-12, (5, 3) = 0.29619080598388565e-11, (5, 4) = -0.41273229106130374e-10, (5, 5) = -0.689483950355724e-16, (5, 6) = -0.3712059911461185e-15, (5, 7) = 0.3287001554338945e-13, (5, 8) = 0.7142831988092938e-14, (6, 1) = -0.11887081953469728e-12, (6, 2) = 0.2181574911155293e-11, (6, 3) = -0.21165079574676062e-10, (6, 4) = 0.39328156563221595e-9, (6, 5) = -0.5555013495562232e-16, (6, 6) = -0.9156409590765567e-15, (6, 7) = 0.3909957070443503e-13, (6, 8) = -0.9238113108809545e-13, (7, 1) = -0.10981983336897058e-12, (7, 2) = 0.2018815376829209e-11, (7, 3) = -0.1954262834860141e-10, (7, 4) = 0.36391587748853606e-9, (7, 5) = -0.7708198818376909e-16, (7, 6) = -0.8684724152113567e-15, (7, 7) = 0.3828072164621264e-13, (7, 8) = -0.8621219818025532e-13, (8, 1) = -0.51928037868150286e-13, (8, 2) = 0.9956236333146792e-12, (8, 3) = -0.9242118263766255e-11, (8, 4) = 0.17815059148408043e-9, (8, 5) = -0.10932975415608019e-15, (8, 6) = -0.6131828261941697e-15, (8, 7) = 0.35726291036328094e-13, (8, 8) = -0.4451876658530887e-13, (9, 1) = -0.11934647247503647e-13, (9, 2) = 0.2919013993135085e-12, (9, 3) = -0.21617366350736754e-11, (9, 4) = 0.50396331234513934e-10, (9, 5) = -0.14163944555659412e-15, (9, 6) = -0.43309790752421276e-15, (9, 7) = 0.33526617419600833e-13, (9, 8) = -0.15977501436125068e-13, (10, 1) = 0.13208565425087037e-13, (10, 2) = -0.15847081725218992e-12, (10, 3) = 0.23433741039779506e-11, (10, 4) = -0.30905908745303125e-10, (10, 5) = -0.1645286662794927e-15, (10, 6) = -0.30592753539955245e-15, (10, 7) = 0.3235382123063574e-13, (10, 8) = 0.1805123485773834e-14, (11, 1) = 0.24662050447747244e-13, (11, 2) = -0.348217579068914e-12, (11, 3) = 0.4252113349225012e-11, (11, 4) = -0.6548857761160066e-10, (11, 5) = -0.19069119744849192e-15, (11, 6) = -0.2229445125034585e-15, (11, 7) = 0.3159759815944996e-13, (11, 8) = 0.9118422876938472e-14, (12, 1) = 0.24412668985452177e-13, (12, 2) = -0.289615699395915e-12, (12, 3) = 0.3693497847284046e-11, (12, 4) = -0.55649601014791604e-10, (12, 5) = -0.20811228401461676e-15, (12, 6) = -0.20302969110054756e-15, (12, 7) = 0.3146938732935611e-13, (12, 8) = 0.6333671614220484e-14, (13, 1) = 0.16772863021394482e-13, (13, 2) = -0.14137062143252341e-12, (13, 3) = 0.22119587057540023e-11, (13, 4) = -0.2911546303193717e-10, (13, 5) = -0.22135177034835522e-15, (13, 6) = -0.1919011244926562e-15, (13, 7) = 0.313829439892334e-13, (13, 8) = -0.13124019358286128e-15, (14, 1) = 0.8888427881511362e-14, (14, 2) = -0.25644348402156826e-13, (14, 3) = 0.1038517183671305e-11, (14, 4) = -0.816383160602506e-11, (14, 5) = -0.237026551948315e-15, (14, 6) = -0.17717604167912409e-15, (14, 7) = 0.3093352931564503e-13, (14, 8) = -0.5382408456860633e-14, (15, 1) = 0.7989585360263331e-14, (15, 2) = 0.27612580403612908e-13, (15, 3) = 0.4947999069557425e-12, (15, 4) = 0.1467568749646379e-11, (15, 5) = -0.24412295270340337e-15, (15, 6) = -0.14197651938089092e-15, (15, 7) = 0.31309528643974336e-13, (15, 8) = -0.8056805930570116e-14, (16, 1) = 0.9186964558409105e-14, (16, 2) = 0.4204420118148477e-13, (16, 3) = 0.35899768072547627e-12, (16, 4) = 0.3749578049851486e-11, (16, 5) = -0.2537554369447278e-15, (16, 6) = -0.9374741380831715e-16, (16, 7) = 0.3030370303112566e-13, (16, 8) = -0.8941309983947672e-14, (17, 1) = 0.10294217293009357e-13, (17, 2) = 0.37859937634768925e-13, (17, 3) = 0.3802183409528524e-12, (17, 4) = 0.32030841980451587e-11, (17, 5) = -0.25842630306577263e-15, (17, 6) = -0.39588189166863215e-16, (17, 7) = 0.2956930217335054e-13, (17, 8) = -0.9281966687242097e-14, (18, 1) = 0.11550213210690431e-13, (18, 2) = 0.41499788926915666e-13, (18, 3) = 0.36400302648677843e-12, (18, 4) = 0.3360796387690797e-11, (18, 5) = -0.25635721424309254e-15, (18, 6) = 0.66616290353902806e-17, (18, 7) = 0.2936138977674041e-13, (18, 8) = -0.9613957399795097e-14, (19, 1) = 0.13341105163441855e-13, (19, 2) = 0.3470091884239306e-13, (19, 3) = 0.43968048941247553e-12, (19, 4) = 0.1889434514139951e-11, (19, 5) = -0.2556973949581726e-15, (19, 6) = 0.4783464565165763e-16, (19, 7) = 0.2855046859214614e-13, (19, 8) = -0.955900033645097e-14, (20, 1) = 0.13499379198063885e-13, (20, 2) = 0.2766855175360778e-13, (20, 3) = 0.4862191357662044e-12, (20, 4) = 0.9713572994339805e-12, (20, 5) = -0.2519797692991319e-15, (20, 6) = 0.833067897759525e-16, (20, 7) = 0.2873313748899571e-13, (20, 8) = -0.95849608628296e-14}, datatype = float[8], order = C_order); if not type(outpoint, 'numeric') then if outpoint = "start" or outpoint = "left" then return X[1] elif outpoint = "right" then return X[20] elif outpoint = "order" then return 8 elif outpoint = "error" then return 0.527462346227703e-8 elif outpoint = "errorproc" then error "this is already the error procedure" elif outpoint = "rawdata" then return [8, 20, [Phi(Y), diff(Phi(Y), Y), Theta(Y), diff(Theta(Y), Y), U(Y), diff(U(Y), Y), W(Y), diff(W(Y), Y)], X, Y] else return ('procname')(x_bvp) end if end if; if outpoint < X[1] or X[20] < outpoint then error "solution is only defined in the range %1..%2", X[1], X[20] end if; V := array([1 = 4, 2 = 0]); if Digits <= trunc(evalhf(Digits)) then L := Vector(4, 'datatype' = 'float'[8]); yout := Vector(8, 'datatype' = 'float'[8]); evalhf(`dsolve/numeric/lagrange`(20, 8, X, Y, outpoint, var(yout), var(L), var(V))) else L := Vector(4, 'datatype' = 'sfloat'); yout := Vector(8, 'datatype' = 'sfloat'); `dsolve/numeric/lagrange`(20, 8, X, Y, outpoint, yout, L, V) end if; [Y = outpoint, seq('[Phi(Y), diff(Phi(Y), Y), Theta(Y), diff(Theta(Y), Y), U(Y), diff(U(Y), Y), W(Y), diff(W(Y), Y)]'[i] = yout[i], i = 1 .. 8)] end proc; if not type(outpoint, 'numeric') then if outpoint = "start" or outpoint = "left" then return X[1] elif outpoint = "method" then return "bvp" elif outpoint = "right" then return X[20] elif outpoint = "order" then return 8 elif outpoint = "error" then return 0.527462346227703e-8 elif outpoint = "errorproc" then return eval(errproc) elif outpoint = "rawdata" then return [8, 20, "depnames", X, Y, YP] else error "non-numeric value" end if end if; if outpoint < X[1] or X[20] < outpoint then error "solution is only defined in the range %1..%2", X[1], X[20] end if; if Digits <= trunc(evalhf(Digits)) and (_EnvInFsolve <> true or _EnvDSNumericSaveDigits <= trunc(evalhf(Digits))) then V := array( 1 .. 6, [( 1 ) = (7), ( 2 ) = (0), ( 3 ) = (false), ( 4 ) = (false), ( 5 ) = (false), ( 6 ) = (false)  ] ); L := Matrix(7, 2, {(1, 1) = .0, (1, 2) = .0, (2, 1) = .0, (2, 2) = .0, (3, 1) = .0, (3, 2) = .0, (4, 1) = .0, (4, 2) = .0, (5, 1) = .0, (5, 2) = .0, (6, 1) = .0, (6, 2) = .0, (7, 1) = .0, (7, 2) = .0}, datatype = float[8], order = C_order); yout := Vector(8, {(1) = .0, (2) = .0, (3) = .0, (4) = .0, (5) = .0, (6) = .0, (7) = .0, (8) = .0}, datatype = float[8]); evalhf(`dsolve/numeric/hermite`(20, 8, X, Y, YP, outpoint, var(yout), var(L), var(V))) else if _EnvInFsolve = true then Digits := _EnvDSNumericSaveDigits end if; V := array( 1 .. 6, [( 1 ) = (7), ( 2 ) = (0), ( 3 ) = (false), ( 4 ) = (false), ( 5 ) = (false), ( 6 ) = (false)  ] ); L := Matrix(7, 2, {(1, 1) = 0., (1, 2) = 0., (2, 1) = 0., (2, 2) = 0., (3, 1) = 0., (3, 2) = 0., (4, 1) = 0., (4, 2) = 0., (5, 1) = 0., (5, 2) = 0., (6, 1) = 0., (6, 2) = 0., (7, 1) = 0., (7, 2) = 0.}, order = C_order); yout := Vector(8, {(1) = 0., (2) = 0., (3) = 0., (4) = 0., (5) = 0., (6) = 0., (7) = 0., (8) = 0.}); `dsolve/numeric/hermite`(20, 8, X, Y, YP, outpoint, yout, L, V) end if; [outpoint, seq(yout[i], i = 1 .. 8)] end proc, (2) = Array(1..9, {(1) = 18446744078205204806, (2) = 18446744078205205334, (3) = 18446744078205205510, (4) = 18446744078205205686, (5) = 18446744078205205862, (6) = 18446744078205206038, (7) = 18446744078205210622, (8) = 18446744078205212030, (9) = 18446744078205214806}), (3) = [Y, Phi(Y), diff(Phi(Y), Y), Theta(Y), diff(Theta(Y), Y), U(Y), diff(U(Y), Y), W(Y), diff(W(Y), Y)], (4) = 0}); _solnproc := _dat[1]; if member(Y, ["last", 'last']) then _res := _solnproc("last"); if type(_res, 'list') then return _res[1] end if elif type(Y, `=`) and member(lhs(Y), ["initial", 'initial']) then if type(rhs(Y), 'list') then _res := _solnproc("initial" = [0, op(rhs(Y))]) else _res := _solnproc("initial" = [1, rhs(Y)]) end if; if type(_res, 'list') then return _res[1] end if elif Y = "sysvars" then return _dat[3] end if; Y end proc, Phi(Y) = proc (Y) local res, data, solnproc, `Phi(Y)`, outpoint; option `Copyright (c) 2000 by Waterloo Maple Inc. All rights reserved.`; _EnvDSNumericSaveDigits := Digits; Digits := 15; if _EnvInFsolve = true then outpoint := evalf[_EnvDSNumericSaveDigits](Y) else outpoint := evalf(Y) end if; data := Array(1..4, {(1) = proc (outpoint) local X, Y, YP, yout, errproc, L, V, i; option `Copyright (c) 2000 by Waterloo Maple Inc. All rights reserved.`; X := Vector(20, {(1) = .0, (2) = 0.35719097960602804e-1, (3) = 0.7275276815367403e-1, (4) = .11125780726700532, (5) = .15145014267940804, (6) = .19444503533587412, (7) = .24143614849513576, (8) = .2937559435180791, (9) = .3505250574913286, (10) = .4110930653557727, (11) = .4751191880069268, (12) = .5398972580085897, (13) = .6051900309982151, (14) = .6704942680985273, (15) = .735727856806597, (16) = .8008524401122463, (17) = .86564262177287, (18) = .9193141275004441, (19) = .962648766031185, (20) = 1.0}, datatype = float[8], order = C_order); Y := Matrix(20, 8, {(1, 1) = .0, (1, 2) = 2.0053251936081944, (1, 3) = 1.459449488576314, (1, 4) = .0, (1, 5) = .0, (1, 6) = -0.5612973334711832e-2, (1, 7) = .45438512050371493, (1, 8) = .0, (2, 1) = 0.7176776742213782e-1, (2, 2) = 2.0134023775287604, (2, 3) = 1.4504454167927874, (2, 4) = -.45537569238094155, (2, 5) = -0.20071098719062178e-3, (2, 6) = -0.5621503550492427e-2, (2, 7) = .4542697116743303, (2, 8) = -0.643170315469985e-2, (3, 1) = .14650749204991942, (3, 2) = 2.0230651157366997, (3, 3) = 1.4285577593411758, (3, 4) = -.6993519698563813, (3, 5) = -0.40869111321034733e-3, (3, 6) = -0.5606444098831052e-2, (3, 7) = .4539111370316967, (3, 8) = -0.12897383107368028e-1, (4, 1) = .22461147400584763, (4, 2) = 2.0338411534786576, (4, 3) = 1.398901363877521, (4, 4) = -.8260054974367521, (4, 5) = -0.6238642222587452e-3, (4, 6) = -0.55657238487568815e-2, (4, 7) = .45328876142190666, (4, 8) = -0.1939049275956177e-1, (5, 1) = .3065896273527975, (5, 2) = 2.0455010701918805, (5, 3) = 1.3642803500922391, (5, 4) = -.8886173875803364, (5, 5) = -0.8462678436774964e-3, (5, 6) = -0.5496822376964125e-2, (5, 7) = .4523773430825606, (5, 8) = -0.25920924202723607e-1, (6, 1) = .3948083998129553, (6, 2) = 2.0582142969946084, (6, 3) = 1.3253668545251265, (6, 4) = -.9170292649927623, (6, 5) = -0.10805033940007663e-2, (6, 6) = -0.5394261634780204e-2, (6, 7) = .4511175001103978, (6, 8) = -0.32638394195837514e-1, (7, 1) = .49185567682557213, (7, 2) = 2.072256296552187, (7, 3) = 1.281994135961963, (7, 4) = -.9264685482085676, (7, 5) = -0.13307107526425452e-2, (7, 6) = -0.5249243795647192e-2, (7, 7) = .44941711436042603, (7, 8) = -0.3968205092935408e-1, (8, 1) = .6006868709925981, (8, 2) = 2.087986026940522, (8, 3) = 1.2335280262456318, (8, 4) = -.9248176392470497, (8, 5) = -0.16002824214905727e-2, (8, 6) = -0.5048806225355029e-2, (8, 7) = .44714316698865636, (8, 8) = -0.4718601026820781e-1, (9, 1) = .7197059916406936, (9, 2) = 2.1051163426550845, (9, 3) = 1.1812439897480995, (9, 4) = -.9163988595413346, (9, 5) = -0.1879672842327696e-2, (9, 6) = -0.4786632705167547e-2, (9, 7) = .44424204136594453, (9, 8) = -0.5496153962800083e-1, (10, 1) = .847763297944333, (10, 2) = 2.123435337834906, (10, 3) = 1.126111344253534, (10, 4) = -.9036455603483291, (10, 5) = -0.21598771781540984e-2, (10, 6) = -0.4457593823292657e-2, (10, 7) = .4406714482113693, (10, 8) = -0.6288112123455601e-1, (11, 1) = .9843393499550938, (11, 2) = 2.1428285542537844, (11, 3) = 1.0687552320755083, (11, 4) = -.8876468667624571, (11, 5) = -0.24327255396754594e-2, (11, 6) = -0.4056474806134682e-2, (11, 7) = .4363874096782681, (11, 8) = -0.708810134362007e-1, (12, 1) = 1.1237836093097533, (12, 2) = 2.1624652853041466, (12, 3) = 1.011832180926541, (12, 4) = -.8695451341011282, (12, 5) = -0.2680896493999921e-2, (12, 6) = -0.3596845896471083e-2, (12, 7) = .43154294962730755, (12, 8) = -0.7863768804042866e-1, (13, 1) = 1.2656232819456894, (13, 2) = 2.182262739970384, (13, 3) = .9556973069001019, (13, 4) = -.8496857938539728, (13, 5) = -0.28991737520459543e-2, (13, 6) = -0.308051138535623e-2, (13, 7) = .42616132725811307, (13, 8) = -0.8616326952785293e-1, (14, 1) = 1.408780712702396, (14, 2) = 2.202058530406396, (14, 3) = .9008968332966889, (14, 4) = -.8284046501288216, (14, 5) = -0.3082067319124229e-2, (14, 6) = -0.2512223889450374e-2, (14, 7) = .4202955587319762, (14, 8) = -0.9344382370597953e-1, (15, 1) = 1.5530735139719447, (15, 2) = 2.2218189937848294, (15, 3) = .8475850007819113, (15, 4) = -.8058880695807592, (15, 5) = -0.32260533892462394e-2, (15, 6) = -0.18938930243389903e-2, (15, 7) = .41396826401074016, (15, 8) = -.10051502209225827, (16, 1) = 1.698410351647586, (16, 2) = 2.2415247347014464, (16, 3) = .7958644292913738, (16, 4) = -.7822956883101383, (16, 5) = -0.3327942234282917e-2, (16, 6) = -0.1226938539977064e-2, (16, 7) = .4071968303220844, (16, 8) = -.10741495835348656, (17, 1) = 1.844273487156983, (17, 2) = 2.2611008629453613, (17, 3) = .7459662823616324, (17, 4) = -.7578533262440998, (17, 5) = -0.33846255216261703e-2, (17, 6) = -0.514759129154577e-3, (17, 7) = .4000183529265164, (17, 8) = -.11415970645343881, (18, 1) = 1.9660647808809397, (18, 2) = 2.2772916881728023, (18, 3) = .7058493238111733, (18, 4) = -.7369636984802895, (18, 5) = -0.33955895702907526e-2, (18, 6) = 0.11169791160924508e-3, (18, 7) = .3937428184702135, (18, 8) = -.11968211404294021, (19, 1) = 2.0650332867510306, (19, 2) = 2.2903449057162386, (19, 3) = .6742856542468953, (19, 4) = -.7197253946637352, (19, 5) = -0.3379345969243999e-2, (19, 6) = 0.6415663100252571e-3, (19, 7) = .3884603780871002, (19, 8) = -.1241121401831915, (20, 1) = 2.1507903764298955, (20, 2) = 2.3015807528597905, (20, 3) = .6476842724902494, (20, 4) = -.7046314550195008, (20, 5) = -0.33465809221206125e-2, (20, 6) = 0.11155269740402043e-2, (20, 7) = .38375353649407395, (20, 8) = -.12791784549802465}, datatype = float[8], order = C_order); YP := Matrix(20, 8, {(1, 1) = 2.0053251936081944, (1, 2) = .20053251936081945, (1, 3) = .0, (1, 4) = -17.312630624062646, (1, 5) = -0.5612973334711832e-2, (1, 6) = -0.5612973334711833e-3, (1, 7) = .0, (1, 8) = -.18253803495142387, (2, 1) = 2.0134023775287604, (2, 2) = .2468778069909702, (2, 3) = -.45537569238094155, (2, 4) = -9.061708006510269, (2, 5) = -0.5621503550492427e-2, (2, 6) = 0.8101996042074228e-4, (2, 7) = -0.643170315469985e-2, (2, 8) = -.17745738418826795, (3, 1) = 2.0230651157366997, (3, 2) = .27224170855930807, (3, 3) = -.6993519698563813, (3, 4) = -4.603982074336188, (3, 5) = -0.5606444098831052e-2, (3, 6) = 0.7290939008536977e-3, (3, 7) = -0.12897383107368028e-1, (3, 8) = -.1716797927099076, (4, 1) = 2.0338411534786576, (4, 2) = .28598466509154097, (4, 3) = -.8260054974367521, (4, 4) = -2.2429513477533867, (4, 5) = -0.55657238487568815e-2, (4, 6) = 0.1382476891080489e-2, (4, 7) = -0.1939049275956177e-1, (4, 8) = -.16559199463104318, (5, 1) = 2.0455010701918805, (5, 2) = .29341184577722174, (5, 3) = -.8886173875803364, (5, 4) = -1.0167952207811748, (5, 5) = -0.5496822376964125e-2, (5, 6) = 0.20424101825759484e-2, (5, 7) = -0.25920924202723607e-1, (5, 8) = -.1594098341596127, (6, 1) = 2.0582142969946084, (6, 2) = .29752435619873707, (6, 3) = -.9170292649927623, (6, 4) = -.3830211788724602, (6, 5) = -0.5394261634780204e-2, (6, 6) = 0.2724413256105731e-2, (6, 7) = -0.32638394195837514e-1, (6, 8) = -.15313238968077217, (7, 1) = 2.072256296552187, (7, 2) = .2998724844760755, (7, 3) = -.9264685482085676, (7, 4) = -0.60460912944764036e-1, (7, 5) = -0.5249243795647192e-2, (7, 6) = 0.3443280713370689e-2, (7, 7) = -0.3968205092935408e-1, (7, 8) = -.14673837885869348, (8, 1) = 2.087986026940522, (8, 2) = .30128036661875723, (8, 3) = -.9248176392470497, (8, 4) = .10219738914667098, (8, 5) = -0.5048806225355029e-2, (8, 6) = 0.4213720404285278e-2, (8, 7) = -0.4718601026820781e-1, (8, 8) = -.14021601066572284, (9, 1) = 2.1051163426550845, (9, 2) = .3021515202196419, (9, 3) = -.9163988595413346, (9, 4) = .18477369158772106, (9, 5) = -0.4786632705167547e-2, (9, 6) = 0.5017490692283328e-2, (9, 7) = -0.5496153962800083e-1, (9, 8) = -.1338382357784468, (10, 1) = 2.123435337834906, (10, 2) = .30270808981832353, (10, 3) = -.9036455603483291, (10, 4) = .2323220188969241, (10, 5) = -0.4457593823292657e-2, (10, 6) = 0.5842352741126336e-2, (10, 7) = -0.6288112123455601e-1, (10, 8) = -.12780046682246987, (11, 1) = 2.1428285542537844, (11, 2) = .30304754210162416, (11, 3) = -.8876468667624571, (11, 4) = .2657246916082982, (11, 5) = -0.4056474806134682e-2, (11, 6) = 0.6682453863006602e-2, (11, 7) = -0.708810134362007e-1, (11, 8) = -.12222857720286623, (12, 1) = 2.1624652853041466, (12, 2) = .3032010419405275, (12, 3) = -.8695451341011282, (12, 4) = .29236487799593064, (12, 5) = -0.3596845896471083e-2, (12, 6) = 0.75040842143957575e-2, (12, 7) = -0.7863768804042866e-1, (12, 8) = -.11738445926466252, (13, 1) = 2.182262739970384, (13, 2) = .3031948533824357, (13, 3) = -.8496857938539728, (13, 4) = .3154535977139292, (13, 5) = -0.308051138535623e-2, (13, 6) = 0.8308275814249672e-2, (13, 7) = -0.8616326952785293e-1, (13, 8) = -.11325535903762853, (14, 1) = 2.202058530406396, (14, 2) = .3030463180535218, (14, 3) = -.8284046501288216, (14, 4) = .33590310410426294, (14, 5) = -0.2512223889450374e-2, (14, 6) = 0.9093159981652915e-2, (14, 7) = -0.9344382370597953e-1, (14, 8) = -.10983176344252321, (15, 1) = 2.2218189937848294, (15, 2) = .3027707063365589, (15, 3) = -.8058880695807592, (15, 4) = .3540740832535115, (15, 5) = -0.18938930243389903e-2, (15, 6) = 0.9862112906791929e-2, (15, 7) = -.10051502209225827, (15, 8) = -.1070705229055163, (16, 1) = 2.2415247347014464, (16, 2) = .3023820423011585, (16, 3) = -.7822956883101383, (16, 4) = .370114372923692, (16, 5) = -0.1226938539977064e-2, (16, 6) = 0.1061880198135095e-1, (16, 7) = -.10741495835348656, (16, 8) = -.10492796929864943, (17, 1) = 2.2611008629453613, (17, 2) = .3018954189189461, (17, 3) = -.7578533262440998, (17, 4) = .3840645990962983, (17, 5) = -0.514759129154577e-3, (17, 6) = 0.11364494732428424e-1, (17, 7) = -.11415970645343881, (17, 8) = -.10336653995058015, (18, 1) = 2.2772916881728023, (18, 2) = .3014255386653092, (18, 3) = -.7369636984802895, (18, 4) = .3941389673270303, (18, 5) = 0.11169791160924508e-3, (18, 6) = 0.11979381195454946e-1, (18, 7) = -.11968211404294021, (18, 8) = -.10247828836869974, (19, 1) = 2.2903449057162386, (19, 2) = .3010070300379974, (19, 3) = -.7197253946637352, (19, 4) = .4013082879540461, (19, 5) = 0.6415663100252571e-3, (19, 6) = 0.12475370649321676e-1, (19, 7) = -.1241121401831915, (19, 8) = -.10201522027713918, (20, 1) = 2.3015807528597905, (20, 2) = .30062122078792913, (20, 3) = -.7046314550195008, (20, 4) = .4068028054072272, (20, 5) = 0.11155269740402043e-2, (20, 6) = 0.12903337247206487e-1, (20, 7) = -.12791784549802465, (20, 8) = -.1017905260964087}, datatype = float[8], order = C_order); errproc := proc (x_bvp) local outpoint, X, Y, yout, L, V, i; option `Copyright (c) 2000 by Waterloo Maple Inc. All rights reserved.`; Digits := 15; outpoint := evalf(x_bvp); X := Vector(20, {(1) = .0, (2) = 0.35719097960602804e-1, (3) = 0.7275276815367403e-1, (4) = .11125780726700532, (5) = .15145014267940804, (6) = .19444503533587412, (7) = .24143614849513576, (8) = .2937559435180791, (9) = .3505250574913286, (10) = .4110930653557727, (11) = .4751191880069268, (12) = .5398972580085897, (13) = .6051900309982151, (14) = .6704942680985273, (15) = .735727856806597, (16) = .8008524401122463, (17) = .86564262177287, (18) = .9193141275004441, (19) = .962648766031185, (20) = 1.0}, datatype = float[8], order = C_order); Y := Matrix(20, 8, {(1, 1) = .0, (1, 2) = 0.54921958697355426e-14, (1, 3) = 0.6971945144726081e-12, (1, 4) = .0, (1, 5) = .0, (1, 6) = -0.43901173915795137e-15, (1, 7) = 0.34206397338666417e-13, (1, 8) = .0, (2, 1) = 0.16159101392451558e-11, (2, 2) = -0.2910488654920155e-10, (2, 3) = 0.29343668194507134e-9, (2, 4) = -0.52746234622770295e-8, (2, 5) = -0.38317312087969237e-15, (2, 6) = 0.6191912109753353e-14, (2, 7) = -0.32330205877042315e-13, (2, 8) = 0.12002986289969285e-11, (3, 1) = 0.11082816477196082e-11, (3, 2) = -0.19954323132225836e-10, (3, 3) = 0.20142404534947036e-9, (3, 4) = -0.36168789827019156e-8, (3, 5) = -0.2839165693988888e-15, (3, 6) = 0.4113737202260409e-14, (3, 7) = -0.1154872384201362e-13, (3, 8) = 0.822299765052115e-12, (4, 1) = 0.41719475846940715e-12, (4, 2) = -0.7497686506563506e-11, (4, 3) = 0.7617120864179665e-10, (4, 4) = -0.13602035420107753e-8, (4, 5) = -0.1437434685413802e-15, (4, 6) = 0.12782936234106492e-14, (4, 7) = 0.168941348677072e-13, (4, 8) = 0.3079698125136499e-12, (5, 1) = 0.13923650558859692e-13, (5, 2) = -0.21789360639298075e-12, (5, 3) = 0.29619080598388565e-11, (5, 4) = -0.41273229106130374e-10, (5, 5) = -0.689483950355724e-16, (5, 6) = -0.3712059911461185e-15, (5, 7) = 0.3287001554338945e-13, (5, 8) = 0.7142831988092938e-14, (6, 1) = -0.11887081953469728e-12, (6, 2) = 0.2181574911155293e-11, (6, 3) = -0.21165079574676062e-10, (6, 4) = 0.39328156563221595e-9, (6, 5) = -0.5555013495562232e-16, (6, 6) = -0.9156409590765567e-15, (6, 7) = 0.3909957070443503e-13, (6, 8) = -0.9238113108809545e-13, (7, 1) = -0.10981983336897058e-12, (7, 2) = 0.2018815376829209e-11, (7, 3) = -0.1954262834860141e-10, (7, 4) = 0.36391587748853606e-9, (7, 5) = -0.7708198818376909e-16, (7, 6) = -0.8684724152113567e-15, (7, 7) = 0.3828072164621264e-13, (7, 8) = -0.8621219818025532e-13, (8, 1) = -0.51928037868150286e-13, (8, 2) = 0.9956236333146792e-12, (8, 3) = -0.9242118263766255e-11, (8, 4) = 0.17815059148408043e-9, (8, 5) = -0.10932975415608019e-15, (8, 6) = -0.6131828261941697e-15, (8, 7) = 0.35726291036328094e-13, (8, 8) = -0.4451876658530887e-13, (9, 1) = -0.11934647247503647e-13, (9, 2) = 0.2919013993135085e-12, (9, 3) = -0.21617366350736754e-11, (9, 4) = 0.50396331234513934e-10, (9, 5) = -0.14163944555659412e-15, (9, 6) = -0.43309790752421276e-15, (9, 7) = 0.33526617419600833e-13, (9, 8) = -0.15977501436125068e-13, (10, 1) = 0.13208565425087037e-13, (10, 2) = -0.15847081725218992e-12, (10, 3) = 0.23433741039779506e-11, (10, 4) = -0.30905908745303125e-10, (10, 5) = -0.1645286662794927e-15, (10, 6) = -0.30592753539955245e-15, (10, 7) = 0.3235382123063574e-13, (10, 8) = 0.1805123485773834e-14, (11, 1) = 0.24662050447747244e-13, (11, 2) = -0.348217579068914e-12, (11, 3) = 0.4252113349225012e-11, (11, 4) = -0.6548857761160066e-10, (11, 5) = -0.19069119744849192e-15, (11, 6) = -0.2229445125034585e-15, (11, 7) = 0.3159759815944996e-13, (11, 8) = 0.9118422876938472e-14, (12, 1) = 0.24412668985452177e-13, (12, 2) = -0.289615699395915e-12, (12, 3) = 0.3693497847284046e-11, (12, 4) = -0.55649601014791604e-10, (12, 5) = -0.20811228401461676e-15, (12, 6) = -0.20302969110054756e-15, (12, 7) = 0.3146938732935611e-13, (12, 8) = 0.6333671614220484e-14, (13, 1) = 0.16772863021394482e-13, (13, 2) = -0.14137062143252341e-12, (13, 3) = 0.22119587057540023e-11, (13, 4) = -0.2911546303193717e-10, (13, 5) = -0.22135177034835522e-15, (13, 6) = -0.1919011244926562e-15, (13, 7) = 0.313829439892334e-13, (13, 8) = -0.13124019358286128e-15, (14, 1) = 0.8888427881511362e-14, (14, 2) = -0.25644348402156826e-13, (14, 3) = 0.1038517183671305e-11, (14, 4) = -0.816383160602506e-11, (14, 5) = -0.237026551948315e-15, (14, 6) = -0.17717604167912409e-15, (14, 7) = 0.3093352931564503e-13, (14, 8) = -0.5382408456860633e-14, (15, 1) = 0.7989585360263331e-14, (15, 2) = 0.27612580403612908e-13, (15, 3) = 0.4947999069557425e-12, (15, 4) = 0.1467568749646379e-11, (15, 5) = -0.24412295270340337e-15, (15, 6) = -0.14197651938089092e-15, (15, 7) = 0.31309528643974336e-13, (15, 8) = -0.8056805930570116e-14, (16, 1) = 0.9186964558409105e-14, (16, 2) = 0.4204420118148477e-13, (16, 3) = 0.35899768072547627e-12, (16, 4) = 0.3749578049851486e-11, (16, 5) = -0.2537554369447278e-15, (16, 6) = -0.9374741380831715e-16, (16, 7) = 0.3030370303112566e-13, (16, 8) = -0.8941309983947672e-14, (17, 1) = 0.10294217293009357e-13, (17, 2) = 0.37859937634768925e-13, (17, 3) = 0.3802183409528524e-12, (17, 4) = 0.32030841980451587e-11, (17, 5) = -0.25842630306577263e-15, (17, 6) = -0.39588189166863215e-16, (17, 7) = 0.2956930217335054e-13, (17, 8) = -0.9281966687242097e-14, (18, 1) = 0.11550213210690431e-13, (18, 2) = 0.41499788926915666e-13, (18, 3) = 0.36400302648677843e-12, (18, 4) = 0.3360796387690797e-11, (18, 5) = -0.25635721424309254e-15, (18, 6) = 0.66616290353902806e-17, (18, 7) = 0.2936138977674041e-13, (18, 8) = -0.9613957399795097e-14, (19, 1) = 0.13341105163441855e-13, (19, 2) = 0.3470091884239306e-13, (19, 3) = 0.43968048941247553e-12, (19, 4) = 0.1889434514139951e-11, (19, 5) = -0.2556973949581726e-15, (19, 6) = 0.4783464565165763e-16, (19, 7) = 0.2855046859214614e-13, (19, 8) = -0.955900033645097e-14, (20, 1) = 0.13499379198063885e-13, (20, 2) = 0.2766855175360778e-13, (20, 3) = 0.4862191357662044e-12, (20, 4) = 0.9713572994339805e-12, (20, 5) = -0.2519797692991319e-15, (20, 6) = 0.833067897759525e-16, (20, 7) = 0.2873313748899571e-13, (20, 8) = -0.95849608628296e-14}, datatype = float[8], order = C_order); if not type(outpoint, 'numeric') then if outpoint = "start" or outpoint = "left" then return X[1] elif outpoint = "right" then return X[20] elif outpoint = "order" then return 8 elif outpoint = "error" then return 0.527462346227703e-8 elif outpoint = "errorproc" then error "this is already the error procedure" elif outpoint = "rawdata" then return [8, 20, [Phi(Y), diff(Phi(Y), Y), Theta(Y), diff(Theta(Y), Y), U(Y), diff(U(Y), Y), W(Y), diff(W(Y), Y)], X, Y] else return ('procname')(x_bvp) end if end if; if outpoint < X[1] or X[20] < outpoint then error "solution is only defined in the range %1..%2", X[1], X[20] end if; V := array([1 = 4, 2 = 0]); if Digits <= trunc(evalhf(Digits)) then L := Vector(4, 'datatype' = 'float'[8]); yout := Vector(8, 'datatype' = 'float'[8]); evalhf(`dsolve/numeric/lagrange`(20, 8, X, Y, outpoint, var(yout), var(L), var(V))) else L := Vector(4, 'datatype' = 'sfloat'); yout := Vector(8, 'datatype' = 'sfloat'); `dsolve/numeric/lagrange`(20, 8, X, Y, outpoint, yout, L, V) end if; [Y = outpoint, seq('[Phi(Y), diff(Phi(Y), Y), Theta(Y), diff(Theta(Y), Y), U(Y), diff(U(Y), Y), W(Y), diff(W(Y), Y)]'[i] = yout[i], i = 1 .. 8)] end proc; if not type(outpoint, 'numeric') then if outpoint = "start" or outpoint = "left" then return X[1] elif outpoint = "method" then return "bvp" elif outpoint = "right" then return X[20] elif outpoint = "order" then return 8 elif outpoint = "error" then return 0.527462346227703e-8 elif outpoint = "errorproc" then return eval(errproc) elif outpoint = "rawdata" then return [8, 20, "depnames", X, Y, YP] else error "non-numeric value" end if end if; if outpoint < X[1] or X[20] < outpoint then error "solution is only defined in the range %1..%2", X[1], X[20] end if; if Digits <= trunc(evalhf(Digits)) and (_EnvInFsolve <> true or _EnvDSNumericSaveDigits <= trunc(evalhf(Digits))) then V := array( 1 .. 6, [( 1 ) = (7), ( 2 ) = (0), ( 3 ) = (false), ( 4 ) = (false), ( 5 ) = (false), ( 6 ) = (false)  ] ); L := Matrix(7, 2, {(1, 1) = .0, (1, 2) = .0, (2, 1) = .0, (2, 2) = .0, (3, 1) = .0, (3, 2) = .0, (4, 1) = .0, (4, 2) = .0, (5, 1) = .0, (5, 2) = .0, (6, 1) = .0, (6, 2) = .0, (7, 1) = .0, (7, 2) = .0}, datatype = float[8], order = C_order); yout := Vector(8, {(1) = .0, (2) = .0, (3) = .0, (4) = .0, (5) = .0, (6) = .0, (7) = .0, (8) = .0}, datatype = float[8]); evalhf(`dsolve/numeric/hermite`(20, 8, X, Y, YP, outpoint, var(yout), var(L), var(V))) else if _EnvInFsolve = true then Digits := _EnvDSNumericSaveDigits end if; V := array( 1 .. 6, [( 1 ) = (7), ( 2 ) = (0), ( 3 ) = (false), ( 4 ) = (false), ( 5 ) = (false), ( 6 ) = (false)  ] ); L := Matrix(7, 2, {(1, 1) = 0., (1, 2) = 0., (2, 1) = 0., (2, 2) = 0., (3, 1) = 0., (3, 2) = 0., (4, 1) = 0., (4, 2) = 0., (5, 1) = 0., (5, 2) = 0., (6, 1) = 0., (6, 2) = 0., (7, 1) = 0., (7, 2) = 0.}, order = C_order); yout := Vector(8, {(1) = 0., (2) = 0., (3) = 0., (4) = 0., (5) = 0., (6) = 0., (7) = 0., (8) = 0.}); `dsolve/numeric/hermite`(20, 8, X, Y, YP, outpoint, yout, L, V) end if; [outpoint, seq(yout[i], i = 1 .. 8)] end proc, (2) = Array(1..9, {(1) = 18446744078205204806, (2) = 18446744078205205334, (3) = 18446744078205205510, (4) = 18446744078205205686, (5) = 18446744078205205862, (6) = 18446744078205206038, (7) = 18446744078205210622, (8) = 18446744078205212030, (9) = 18446744078205214806}), (3) = [Y, Phi(Y), diff(Phi(Y), Y), Theta(Y), diff(Theta(Y), Y), U(Y), diff(U(Y), Y), W(Y), diff(W(Y), Y)], (4) = 0}); solnproc := data[1]; if not type(outpoint, 'numeric') then if outpoint = "solnprocedure" then return eval(solnproc) elif member(outpoint, ["start", "left", "right", "errorproc", "rawdata", "order", "error"]) then return solnproc(Y) elif outpoint = "sysvars" then return data[3] elif procname <> unknown then return ('procname')(Y) else `Phi(Y)` := pointto(data[2][2]); return ('`Phi(Y)`')(Y) end if end if; try res := solnproc(outpoint); res[2] catch: error  end try end proc, diff(Phi(Y), Y) = proc (Y) local res, data, solnproc, `diff(Phi(Y),Y)`, outpoint; option `Copyright (c) 2000 by Waterloo Maple Inc. All rights reserved.`; _EnvDSNumericSaveDigits := Digits; Digits := 15; if _EnvInFsolve = true then outpoint := evalf[_EnvDSNumericSaveDigits](Y) else outpoint := evalf(Y) end if; data := Array(1..4, {(1) = proc (outpoint) local X, Y, YP, yout, errproc, L, V, i; option `Copyright (c) 2000 by Waterloo Maple Inc. All rights reserved.`; X := Vector(20, {(1) = .0, (2) = 0.35719097960602804e-1, (3) = 0.7275276815367403e-1, (4) = .11125780726700532, (5) = .15145014267940804, (6) = .19444503533587412, (7) = .24143614849513576, (8) = .2937559435180791, (9) = .3505250574913286, (10) = .4110930653557727, (11) = .4751191880069268, (12) = .5398972580085897, (13) = .6051900309982151, (14) = .6704942680985273, (15) = .735727856806597, (16) = .8008524401122463, (17) = .86564262177287, (18) = .9193141275004441, (19) = .962648766031185, (20) = 1.0}, datatype = float[8], order = C_order); Y := Matrix(20, 8, {(1, 1) = .0, (1, 2) = 2.0053251936081944, (1, 3) = 1.459449488576314, (1, 4) = .0, (1, 5) = .0, (1, 6) = -0.5612973334711832e-2, (1, 7) = .45438512050371493, (1, 8) = .0, (2, 1) = 0.7176776742213782e-1, (2, 2) = 2.0134023775287604, (2, 3) = 1.4504454167927874, (2, 4) = -.45537569238094155, (2, 5) = -0.20071098719062178e-3, (2, 6) = -0.5621503550492427e-2, (2, 7) = .4542697116743303, (2, 8) = -0.643170315469985e-2, (3, 1) = .14650749204991942, (3, 2) = 2.0230651157366997, (3, 3) = 1.4285577593411758, (3, 4) = -.6993519698563813, (3, 5) = -0.40869111321034733e-3, (3, 6) = -0.5606444098831052e-2, (3, 7) = .4539111370316967, (3, 8) = -0.12897383107368028e-1, (4, 1) = .22461147400584763, (4, 2) = 2.0338411534786576, (4, 3) = 1.398901363877521, (4, 4) = -.8260054974367521, (4, 5) = -0.6238642222587452e-3, (4, 6) = -0.55657238487568815e-2, (4, 7) = .45328876142190666, (4, 8) = -0.1939049275956177e-1, (5, 1) = .3065896273527975, (5, 2) = 2.0455010701918805, (5, 3) = 1.3642803500922391, (5, 4) = -.8886173875803364, (5, 5) = -0.8462678436774964e-3, (5, 6) = -0.5496822376964125e-2, (5, 7) = .4523773430825606, (5, 8) = -0.25920924202723607e-1, (6, 1) = .3948083998129553, (6, 2) = 2.0582142969946084, (6, 3) = 1.3253668545251265, (6, 4) = -.9170292649927623, (6, 5) = -0.10805033940007663e-2, (6, 6) = -0.5394261634780204e-2, (6, 7) = .4511175001103978, (6, 8) = -0.32638394195837514e-1, (7, 1) = .49185567682557213, (7, 2) = 2.072256296552187, (7, 3) = 1.281994135961963, (7, 4) = -.9264685482085676, (7, 5) = -0.13307107526425452e-2, (7, 6) = -0.5249243795647192e-2, (7, 7) = .44941711436042603, (7, 8) = -0.3968205092935408e-1, (8, 1) = .6006868709925981, (8, 2) = 2.087986026940522, (8, 3) = 1.2335280262456318, (8, 4) = -.9248176392470497, (8, 5) = -0.16002824214905727e-2, (8, 6) = -0.5048806225355029e-2, (8, 7) = .44714316698865636, (8, 8) = -0.4718601026820781e-1, (9, 1) = .7197059916406936, (9, 2) = 2.1051163426550845, (9, 3) = 1.1812439897480995, (9, 4) = -.9163988595413346, (9, 5) = -0.1879672842327696e-2, (9, 6) = -0.4786632705167547e-2, (9, 7) = .44424204136594453, (9, 8) = -0.5496153962800083e-1, (10, 1) = .847763297944333, (10, 2) = 2.123435337834906, (10, 3) = 1.126111344253534, (10, 4) = -.9036455603483291, (10, 5) = -0.21598771781540984e-2, (10, 6) = -0.4457593823292657e-2, (10, 7) = .4406714482113693, (10, 8) = -0.6288112123455601e-1, (11, 1) = .9843393499550938, (11, 2) = 2.1428285542537844, (11, 3) = 1.0687552320755083, (11, 4) = -.8876468667624571, (11, 5) = -0.24327255396754594e-2, (11, 6) = -0.4056474806134682e-2, (11, 7) = .4363874096782681, (11, 8) = -0.708810134362007e-1, (12, 1) = 1.1237836093097533, (12, 2) = 2.1624652853041466, (12, 3) = 1.011832180926541, (12, 4) = -.8695451341011282, (12, 5) = -0.2680896493999921e-2, (12, 6) = -0.3596845896471083e-2, (12, 7) = .43154294962730755, (12, 8) = -0.7863768804042866e-1, (13, 1) = 1.2656232819456894, (13, 2) = 2.182262739970384, (13, 3) = .9556973069001019, (13, 4) = -.8496857938539728, (13, 5) = -0.28991737520459543e-2, (13, 6) = -0.308051138535623e-2, (13, 7) = .42616132725811307, (13, 8) = -0.8616326952785293e-1, (14, 1) = 1.408780712702396, (14, 2) = 2.202058530406396, (14, 3) = .9008968332966889, (14, 4) = -.8284046501288216, (14, 5) = -0.3082067319124229e-2, (14, 6) = -0.2512223889450374e-2, (14, 7) = .4202955587319762, (14, 8) = -0.9344382370597953e-1, (15, 1) = 1.5530735139719447, (15, 2) = 2.2218189937848294, (15, 3) = .8475850007819113, (15, 4) = -.8058880695807592, (15, 5) = -0.32260533892462394e-2, (15, 6) = -0.18938930243389903e-2, (15, 7) = .41396826401074016, (15, 8) = -.10051502209225827, (16, 1) = 1.698410351647586, (16, 2) = 2.2415247347014464, (16, 3) = .7958644292913738, (16, 4) = -.7822956883101383, (16, 5) = -0.3327942234282917e-2, (16, 6) = -0.1226938539977064e-2, (16, 7) = .4071968303220844, (16, 8) = -.10741495835348656, (17, 1) = 1.844273487156983, (17, 2) = 2.2611008629453613, (17, 3) = .7459662823616324, (17, 4) = -.7578533262440998, (17, 5) = -0.33846255216261703e-2, (17, 6) = -0.514759129154577e-3, (17, 7) = .4000183529265164, (17, 8) = -.11415970645343881, (18, 1) = 1.9660647808809397, (18, 2) = 2.2772916881728023, (18, 3) = .7058493238111733, (18, 4) = -.7369636984802895, (18, 5) = -0.33955895702907526e-2, (18, 6) = 0.11169791160924508e-3, (18, 7) = .3937428184702135, (18, 8) = -.11968211404294021, (19, 1) = 2.0650332867510306, (19, 2) = 2.2903449057162386, (19, 3) = .6742856542468953, (19, 4) = -.7197253946637352, (19, 5) = -0.3379345969243999e-2, (19, 6) = 0.6415663100252571e-3, (19, 7) = .3884603780871002, (19, 8) = -.1241121401831915, (20, 1) = 2.1507903764298955, (20, 2) = 2.3015807528597905, (20, 3) = .6476842724902494, (20, 4) = -.7046314550195008, (20, 5) = -0.33465809221206125e-2, (20, 6) = 0.11155269740402043e-2, (20, 7) = .38375353649407395, (20, 8) = -.12791784549802465}, datatype = float[8], order = C_order); YP := Matrix(20, 8, {(1, 1) = 2.0053251936081944, (1, 2) = .20053251936081945, (1, 3) = .0, (1, 4) = -17.312630624062646, (1, 5) = -0.5612973334711832e-2, (1, 6) = -0.5612973334711833e-3, (1, 7) = .0, (1, 8) = -.18253803495142387, (2, 1) = 2.0134023775287604, (2, 2) = .2468778069909702, (2, 3) = -.45537569238094155, (2, 4) = -9.061708006510269, (2, 5) = -0.5621503550492427e-2, (2, 6) = 0.8101996042074228e-4, (2, 7) = -0.643170315469985e-2, (2, 8) = -.17745738418826795, (3, 1) = 2.0230651157366997, (3, 2) = .27224170855930807, (3, 3) = -.6993519698563813, (3, 4) = -4.603982074336188, (3, 5) = -0.5606444098831052e-2, (3, 6) = 0.7290939008536977e-3, (3, 7) = -0.12897383107368028e-1, (3, 8) = -.1716797927099076, (4, 1) = 2.0338411534786576, (4, 2) = .28598466509154097, (4, 3) = -.8260054974367521, (4, 4) = -2.2429513477533867, (4, 5) = -0.55657238487568815e-2, (4, 6) = 0.1382476891080489e-2, (4, 7) = -0.1939049275956177e-1, (4, 8) = -.16559199463104318, (5, 1) = 2.0455010701918805, (5, 2) = .29341184577722174, (5, 3) = -.8886173875803364, (5, 4) = -1.0167952207811748, (5, 5) = -0.5496822376964125e-2, (5, 6) = 0.20424101825759484e-2, (5, 7) = -0.25920924202723607e-1, (5, 8) = -.1594098341596127, (6, 1) = 2.0582142969946084, (6, 2) = .29752435619873707, (6, 3) = -.9170292649927623, (6, 4) = -.3830211788724602, (6, 5) = -0.5394261634780204e-2, (6, 6) = 0.2724413256105731e-2, (6, 7) = -0.32638394195837514e-1, (6, 8) = -.15313238968077217, (7, 1) = 2.072256296552187, (7, 2) = .2998724844760755, (7, 3) = -.9264685482085676, (7, 4) = -0.60460912944764036e-1, (7, 5) = -0.5249243795647192e-2, (7, 6) = 0.3443280713370689e-2, (7, 7) = -0.3968205092935408e-1, (7, 8) = -.14673837885869348, (8, 1) = 2.087986026940522, (8, 2) = .30128036661875723, (8, 3) = -.9248176392470497, (8, 4) = .10219738914667098, (8, 5) = -0.5048806225355029e-2, (8, 6) = 0.4213720404285278e-2, (8, 7) = -0.4718601026820781e-1, (8, 8) = -.14021601066572284, (9, 1) = 2.1051163426550845, (9, 2) = .3021515202196419, (9, 3) = -.9163988595413346, (9, 4) = .18477369158772106, (9, 5) = -0.4786632705167547e-2, (9, 6) = 0.5017490692283328e-2, (9, 7) = -0.5496153962800083e-1, (9, 8) = -.1338382357784468, (10, 1) = 2.123435337834906, (10, 2) = .30270808981832353, (10, 3) = -.9036455603483291, (10, 4) = .2323220188969241, (10, 5) = -0.4457593823292657e-2, (10, 6) = 0.5842352741126336e-2, (10, 7) = -0.6288112123455601e-1, (10, 8) = -.12780046682246987, (11, 1) = 2.1428285542537844, (11, 2) = .30304754210162416, (11, 3) = -.8876468667624571, (11, 4) = .2657246916082982, (11, 5) = -0.4056474806134682e-2, (11, 6) = 0.6682453863006602e-2, (11, 7) = -0.708810134362007e-1, (11, 8) = -.12222857720286623, (12, 1) = 2.1624652853041466, (12, 2) = .3032010419405275, (12, 3) = -.8695451341011282, (12, 4) = .29236487799593064, (12, 5) = -0.3596845896471083e-2, (12, 6) = 0.75040842143957575e-2, (12, 7) = -0.7863768804042866e-1, (12, 8) = -.11738445926466252, (13, 1) = 2.182262739970384, (13, 2) = .3031948533824357, (13, 3) = -.8496857938539728, (13, 4) = .3154535977139292, (13, 5) = -0.308051138535623e-2, (13, 6) = 0.8308275814249672e-2, (13, 7) = -0.8616326952785293e-1, (13, 8) = -.11325535903762853, (14, 1) = 2.202058530406396, (14, 2) = .3030463180535218, (14, 3) = -.8284046501288216, (14, 4) = .33590310410426294, (14, 5) = -0.2512223889450374e-2, (14, 6) = 0.9093159981652915e-2, (14, 7) = -0.9344382370597953e-1, (14, 8) = -.10983176344252321, (15, 1) = 2.2218189937848294, (15, 2) = .3027707063365589, (15, 3) = -.8058880695807592, (15, 4) = .3540740832535115, (15, 5) = -0.18938930243389903e-2, (15, 6) = 0.9862112906791929e-2, (15, 7) = -.10051502209225827, (15, 8) = -.1070705229055163, (16, 1) = 2.2415247347014464, (16, 2) = .3023820423011585, (16, 3) = -.7822956883101383, (16, 4) = .370114372923692, (16, 5) = -0.1226938539977064e-2, (16, 6) = 0.1061880198135095e-1, (16, 7) = -.10741495835348656, (16, 8) = -.10492796929864943, (17, 1) = 2.2611008629453613, (17, 2) = .3018954189189461, (17, 3) = -.7578533262440998, (17, 4) = .3840645990962983, (17, 5) = -0.514759129154577e-3, (17, 6) = 0.11364494732428424e-1, (17, 7) = -.11415970645343881, (17, 8) = -.10336653995058015, (18, 1) = 2.2772916881728023, (18, 2) = .3014255386653092, (18, 3) = -.7369636984802895, (18, 4) = .3941389673270303, (18, 5) = 0.11169791160924508e-3, (18, 6) = 0.11979381195454946e-1, (18, 7) = -.11968211404294021, (18, 8) = -.10247828836869974, (19, 1) = 2.2903449057162386, (19, 2) = .3010070300379974, (19, 3) = -.7197253946637352, (19, 4) = .4013082879540461, (19, 5) = 0.6415663100252571e-3, (19, 6) = 0.12475370649321676e-1, (19, 7) = -.1241121401831915, (19, 8) = -.10201522027713918, (20, 1) = 2.3015807528597905, (20, 2) = .30062122078792913, (20, 3) = -.7046314550195008, (20, 4) = .4068028054072272, (20, 5) = 0.11155269740402043e-2, (20, 6) = 0.12903337247206487e-1, (20, 7) = -.12791784549802465, (20, 8) = -.1017905260964087}, datatype = float[8], order = C_order); errproc := proc (x_bvp) local outpoint, X, Y, yout, L, V, i; option `Copyright (c) 2000 by Waterloo Maple Inc. All rights reserved.`; Digits := 15; outpoint := evalf(x_bvp); X := Vector(20, {(1) = .0, (2) = 0.35719097960602804e-1, (3) = 0.7275276815367403e-1, (4) = .11125780726700532, (5) = .15145014267940804, (6) = .19444503533587412, (7) = .24143614849513576, (8) = .2937559435180791, (9) = .3505250574913286, (10) = .4110930653557727, (11) = .4751191880069268, (12) = .5398972580085897, (13) = .6051900309982151, (14) = .6704942680985273, (15) = .735727856806597, (16) = .8008524401122463, (17) = .86564262177287, (18) = .9193141275004441, (19) = .962648766031185, (20) = 1.0}, datatype = float[8], order = C_order); Y := Matrix(20, 8, {(1, 1) = .0, (1, 2) = 0.54921958697355426e-14, (1, 3) = 0.6971945144726081e-12, (1, 4) = .0, (1, 5) = .0, (1, 6) = -0.43901173915795137e-15, (1, 7) = 0.34206397338666417e-13, (1, 8) = .0, (2, 1) = 0.16159101392451558e-11, (2, 2) = -0.2910488654920155e-10, (2, 3) = 0.29343668194507134e-9, (2, 4) = -0.52746234622770295e-8, (2, 5) = -0.38317312087969237e-15, (2, 6) = 0.6191912109753353e-14, (2, 7) = -0.32330205877042315e-13, (2, 8) = 0.12002986289969285e-11, (3, 1) = 0.11082816477196082e-11, (3, 2) = -0.19954323132225836e-10, (3, 3) = 0.20142404534947036e-9, (3, 4) = -0.36168789827019156e-8, (3, 5) = -0.2839165693988888e-15, (3, 6) = 0.4113737202260409e-14, (3, 7) = -0.1154872384201362e-13, (3, 8) = 0.822299765052115e-12, (4, 1) = 0.41719475846940715e-12, (4, 2) = -0.7497686506563506e-11, (4, 3) = 0.7617120864179665e-10, (4, 4) = -0.13602035420107753e-8, (4, 5) = -0.1437434685413802e-15, (4, 6) = 0.12782936234106492e-14, (4, 7) = 0.168941348677072e-13, (4, 8) = 0.3079698125136499e-12, (5, 1) = 0.13923650558859692e-13, (5, 2) = -0.21789360639298075e-12, (5, 3) = 0.29619080598388565e-11, (5, 4) = -0.41273229106130374e-10, (5, 5) = -0.689483950355724e-16, (5, 6) = -0.3712059911461185e-15, (5, 7) = 0.3287001554338945e-13, (5, 8) = 0.7142831988092938e-14, (6, 1) = -0.11887081953469728e-12, (6, 2) = 0.2181574911155293e-11, (6, 3) = -0.21165079574676062e-10, (6, 4) = 0.39328156563221595e-9, (6, 5) = -0.5555013495562232e-16, (6, 6) = -0.9156409590765567e-15, (6, 7) = 0.3909957070443503e-13, (6, 8) = -0.9238113108809545e-13, (7, 1) = -0.10981983336897058e-12, (7, 2) = 0.2018815376829209e-11, (7, 3) = -0.1954262834860141e-10, (7, 4) = 0.36391587748853606e-9, (7, 5) = -0.7708198818376909e-16, (7, 6) = -0.8684724152113567e-15, (7, 7) = 0.3828072164621264e-13, (7, 8) = -0.8621219818025532e-13, (8, 1) = -0.51928037868150286e-13, (8, 2) = 0.9956236333146792e-12, (8, 3) = -0.9242118263766255e-11, (8, 4) = 0.17815059148408043e-9, (8, 5) = -0.10932975415608019e-15, (8, 6) = -0.6131828261941697e-15, (8, 7) = 0.35726291036328094e-13, (8, 8) = -0.4451876658530887e-13, (9, 1) = -0.11934647247503647e-13, (9, 2) = 0.2919013993135085e-12, (9, 3) = -0.21617366350736754e-11, (9, 4) = 0.50396331234513934e-10, (9, 5) = -0.14163944555659412e-15, (9, 6) = -0.43309790752421276e-15, (9, 7) = 0.33526617419600833e-13, (9, 8) = -0.15977501436125068e-13, (10, 1) = 0.13208565425087037e-13, (10, 2) = -0.15847081725218992e-12, (10, 3) = 0.23433741039779506e-11, (10, 4) = -0.30905908745303125e-10, (10, 5) = -0.1645286662794927e-15, (10, 6) = -0.30592753539955245e-15, (10, 7) = 0.3235382123063574e-13, (10, 8) = 0.1805123485773834e-14, (11, 1) = 0.24662050447747244e-13, (11, 2) = -0.348217579068914e-12, (11, 3) = 0.4252113349225012e-11, (11, 4) = -0.6548857761160066e-10, (11, 5) = -0.19069119744849192e-15, (11, 6) = -0.2229445125034585e-15, (11, 7) = 0.3159759815944996e-13, (11, 8) = 0.9118422876938472e-14, (12, 1) = 0.24412668985452177e-13, (12, 2) = -0.289615699395915e-12, (12, 3) = 0.3693497847284046e-11, (12, 4) = -0.55649601014791604e-10, (12, 5) = -0.20811228401461676e-15, (12, 6) = -0.20302969110054756e-15, (12, 7) = 0.3146938732935611e-13, (12, 8) = 0.6333671614220484e-14, (13, 1) = 0.16772863021394482e-13, (13, 2) = -0.14137062143252341e-12, (13, 3) = 0.22119587057540023e-11, (13, 4) = -0.2911546303193717e-10, (13, 5) = -0.22135177034835522e-15, (13, 6) = -0.1919011244926562e-15, (13, 7) = 0.313829439892334e-13, (13, 8) = -0.13124019358286128e-15, (14, 1) = 0.8888427881511362e-14, (14, 2) = -0.25644348402156826e-13, (14, 3) = 0.1038517183671305e-11, (14, 4) = -0.816383160602506e-11, (14, 5) = -0.237026551948315e-15, (14, 6) = -0.17717604167912409e-15, (14, 7) = 0.3093352931564503e-13, (14, 8) = -0.5382408456860633e-14, (15, 1) = 0.7989585360263331e-14, (15, 2) = 0.27612580403612908e-13, (15, 3) = 0.4947999069557425e-12, (15, 4) = 0.1467568749646379e-11, (15, 5) = -0.24412295270340337e-15, (15, 6) = -0.14197651938089092e-15, (15, 7) = 0.31309528643974336e-13, (15, 8) = -0.8056805930570116e-14, (16, 1) = 0.9186964558409105e-14, (16, 2) = 0.4204420118148477e-13, (16, 3) = 0.35899768072547627e-12, (16, 4) = 0.3749578049851486e-11, (16, 5) = -0.2537554369447278e-15, (16, 6) = -0.9374741380831715e-16, (16, 7) = 0.3030370303112566e-13, (16, 8) = -0.8941309983947672e-14, (17, 1) = 0.10294217293009357e-13, (17, 2) = 0.37859937634768925e-13, (17, 3) = 0.3802183409528524e-12, (17, 4) = 0.32030841980451587e-11, (17, 5) = -0.25842630306577263e-15, (17, 6) = -0.39588189166863215e-16, (17, 7) = 0.2956930217335054e-13, (17, 8) = -0.9281966687242097e-14, (18, 1) = 0.11550213210690431e-13, (18, 2) = 0.41499788926915666e-13, (18, 3) = 0.36400302648677843e-12, (18, 4) = 0.3360796387690797e-11, (18, 5) = -0.25635721424309254e-15, (18, 6) = 0.66616290353902806e-17, (18, 7) = 0.2936138977674041e-13, (18, 8) = -0.9613957399795097e-14, (19, 1) = 0.13341105163441855e-13, (19, 2) = 0.3470091884239306e-13, (19, 3) = 0.43968048941247553e-12, (19, 4) = 0.1889434514139951e-11, (19, 5) = -0.2556973949581726e-15, (19, 6) = 0.4783464565165763e-16, (19, 7) = 0.2855046859214614e-13, (19, 8) = -0.955900033645097e-14, (20, 1) = 0.13499379198063885e-13, (20, 2) = 0.2766855175360778e-13, (20, 3) = 0.4862191357662044e-12, (20, 4) = 0.9713572994339805e-12, (20, 5) = -0.2519797692991319e-15, (20, 6) = 0.833067897759525e-16, (20, 7) = 0.2873313748899571e-13, (20, 8) = -0.95849608628296e-14}, datatype = float[8], order = C_order); if not type(outpoint, 'numeric') then if outpoint = "start" or outpoint = "left" then return X[1] elif outpoint = "right" then return X[20] elif outpoint = "order" then return 8 elif outpoint = "error" then return 0.527462346227703e-8 elif outpoint = "errorproc" then error "this is already the error procedure" elif outpoint = "rawdata" then return [8, 20, [Phi(Y), diff(Phi(Y), Y), Theta(Y), diff(Theta(Y), Y), U(Y), diff(U(Y), Y), W(Y), diff(W(Y), Y)], X, Y] else return ('procname')(x_bvp) end if end if; if outpoint < X[1] or X[20] < outpoint then error "solution is only defined in the range %1..%2", X[1], X[20] end if; V := array([1 = 4, 2 = 0]); if Digits <= trunc(evalhf(Digits)) then L := Vector(4, 'datatype' = 'float'[8]); yout := Vector(8, 'datatype' = 'float'[8]); evalhf(`dsolve/numeric/lagrange`(20, 8, X, Y, outpoint, var(yout), var(L), var(V))) else L := Vector(4, 'datatype' = 'sfloat'); yout := Vector(8, 'datatype' = 'sfloat'); `dsolve/numeric/lagrange`(20, 8, X, Y, outpoint, yout, L, V) end if; [Y = outpoint, seq('[Phi(Y), diff(Phi(Y), Y), Theta(Y), diff(Theta(Y), Y), U(Y), diff(U(Y), Y), W(Y), diff(W(Y), Y)]'[i] = yout[i], i = 1 .. 8)] end proc; if not type(outpoint, 'numeric') then if outpoint = "start" or outpoint = "left" then return X[1] elif outpoint = "method" then return "bvp" elif outpoint = "right" then return X[20] elif outpoint = "order" then return 8 elif outpoint = "error" then return 0.527462346227703e-8 elif outpoint = "errorproc" then return eval(errproc) elif outpoint = "rawdata" then return [8, 20, "depnames", X, Y, YP] else error "non-numeric value" end if end if; if outpoint < X[1] or X[20] < outpoint then error "solution is only defined in the range %1..%2", X[1], X[20] end if; if Digits <= trunc(evalhf(Digits)) and (_EnvInFsolve <> true or _EnvDSNumericSaveDigits <= trunc(evalhf(Digits))) then V := array( 1 .. 6, [( 1 ) = (7), ( 2 ) = (0), ( 3 ) = (false), ( 4 ) = (false), ( 5 ) = (false), ( 6 ) = (false)  ] ); L := Matrix(7, 2, {(1, 1) = .0, (1, 2) = .0, (2, 1) = .0, (2, 2) = .0, (3, 1) = .0, (3, 2) = .0, (4, 1) = .0, (4, 2) = .0, (5, 1) = .0, (5, 2) = .0, (6, 1) = .0, (6, 2) = .0, (7, 1) = .0, (7, 2) = .0}, datatype = float[8], order = C_order); yout := Vector(8, {(1) = .0, (2) = .0, (3) = .0, (4) = .0, (5) = .0, (6) = .0, (7) = .0, (8) = .0}, datatype = float[8]); evalhf(`dsolve/numeric/hermite`(20, 8, X, Y, YP, outpoint, var(yout), var(L), var(V))) else if _EnvInFsolve = true then Digits := _EnvDSNumericSaveDigits end if; V := array( 1 .. 6, [( 1 ) = (7), ( 2 ) = (0), ( 3 ) = (false), ( 4 ) = (false), ( 5 ) = (false), ( 6 ) = (false)  ] ); L := Matrix(7, 2, {(1, 1) = 0., (1, 2) = 0., (2, 1) = 0., (2, 2) = 0., (3, 1) = 0., (3, 2) = 0., (4, 1) = 0., (4, 2) = 0., (5, 1) = 0., (5, 2) = 0., (6, 1) = 0., (6, 2) = 0., (7, 1) = 0., (7, 2) = 0.}, order = C_order); yout := Vector(8, {(1) = 0., (2) = 0., (3) = 0., (4) = 0., (5) = 0., (6) = 0., (7) = 0., (8) = 0.}); `dsolve/numeric/hermite`(20, 8, X, Y, YP, outpoint, yout, L, V) end if; [outpoint, seq(yout[i], i = 1 .. 8)] end proc, (2) = Array(1..9, {(1) = 18446744078205204806, (2) = 18446744078205205334, (3) = 18446744078205205510, (4) = 18446744078205205686, (5) = 18446744078205205862, (6) = 18446744078205206038, (7) = 18446744078205210622, (8) = 18446744078205212030, (9) = 18446744078205214806}), (3) = [Y, Phi(Y), diff(Phi(Y), Y), Theta(Y), diff(Theta(Y), Y), U(Y), diff(U(Y), Y), W(Y), diff(W(Y), Y)], (4) = 0}); solnproc := data[1]; if not type(outpoint, 'numeric') then if outpoint = "solnprocedure" then return eval(solnproc) elif member(outpoint, ["start", "left", "right", "errorproc", "rawdata", "order", "error"]) then return solnproc(Y) elif outpoint = "sysvars" then return data[3] elif procname <> unknown then return ('procname')(Y) else `diff(Phi(Y),Y)` := pointto(data[2][3]); return ('`diff(Phi(Y),Y)`')(Y) end if end if; try res := solnproc(outpoint); res[3] catch: error  end try end proc, Theta(Y) = proc (Y) local res, data, solnproc, `Theta(Y)`, outpoint; option `Copyright (c) 2000 by Waterloo Maple Inc. All rights reserved.`; _EnvDSNumericSaveDigits := Digits; Digits := 15; if _EnvInFsolve = true then outpoint := evalf[_EnvDSNumericSaveDigits](Y) else outpoint := evalf(Y) end if; data := Array(1..4, {(1) = proc (outpoint) local X, Y, YP, yout, errproc, L, V, i; option `Copyright (c) 2000 by Waterloo Maple Inc. All rights reserved.`; X := Vector(20, {(1) = .0, (2) = 0.35719097960602804e-1, (3) = 0.7275276815367403e-1, (4) = .11125780726700532, (5) = .15145014267940804, (6) = .19444503533587412, (7) = .24143614849513576, (8) = .2937559435180791, (9) = .3505250574913286, (10) = .4110930653557727, (11) = .4751191880069268, (12) = .5398972580085897, (13) = .6051900309982151, (14) = .6704942680985273, (15) = .735727856806597, (16) = .8008524401122463, (17) = .86564262177287, (18) = .9193141275004441, (19) = .962648766031185, (20) = 1.0}, datatype = float[8], order = C_order); Y := Matrix(20, 8, {(1, 1) = .0, (1, 2) = 2.0053251936081944, (1, 3) = 1.459449488576314, (1, 4) = .0, (1, 5) = .0, (1, 6) = -0.5612973334711832e-2, (1, 7) = .45438512050371493, (1, 8) = .0, (2, 1) = 0.7176776742213782e-1, (2, 2) = 2.0134023775287604, (2, 3) = 1.4504454167927874, (2, 4) = -.45537569238094155, (2, 5) = -0.20071098719062178e-3, (2, 6) = -0.5621503550492427e-2, (2, 7) = .4542697116743303, (2, 8) = -0.643170315469985e-2, (3, 1) = .14650749204991942, (3, 2) = 2.0230651157366997, (3, 3) = 1.4285577593411758, (3, 4) = -.6993519698563813, (3, 5) = -0.40869111321034733e-3, (3, 6) = -0.5606444098831052e-2, (3, 7) = .4539111370316967, (3, 8) = -0.12897383107368028e-1, (4, 1) = .22461147400584763, (4, 2) = 2.0338411534786576, (4, 3) = 1.398901363877521, (4, 4) = -.8260054974367521, (4, 5) = -0.6238642222587452e-3, (4, 6) = -0.55657238487568815e-2, (4, 7) = .45328876142190666, (4, 8) = -0.1939049275956177e-1, (5, 1) = .3065896273527975, (5, 2) = 2.0455010701918805, (5, 3) = 1.3642803500922391, (5, 4) = -.8886173875803364, (5, 5) = -0.8462678436774964e-3, (5, 6) = -0.5496822376964125e-2, (5, 7) = .4523773430825606, (5, 8) = -0.25920924202723607e-1, (6, 1) = .3948083998129553, (6, 2) = 2.0582142969946084, (6, 3) = 1.3253668545251265, (6, 4) = -.9170292649927623, (6, 5) = -0.10805033940007663e-2, (6, 6) = -0.5394261634780204e-2, (6, 7) = .4511175001103978, (6, 8) = -0.32638394195837514e-1, (7, 1) = .49185567682557213, (7, 2) = 2.072256296552187, (7, 3) = 1.281994135961963, (7, 4) = -.9264685482085676, (7, 5) = -0.13307107526425452e-2, (7, 6) = -0.5249243795647192e-2, (7, 7) = .44941711436042603, (7, 8) = -0.3968205092935408e-1, (8, 1) = .6006868709925981, (8, 2) = 2.087986026940522, (8, 3) = 1.2335280262456318, (8, 4) = -.9248176392470497, (8, 5) = -0.16002824214905727e-2, (8, 6) = -0.5048806225355029e-2, (8, 7) = .44714316698865636, (8, 8) = -0.4718601026820781e-1, (9, 1) = .7197059916406936, (9, 2) = 2.1051163426550845, (9, 3) = 1.1812439897480995, (9, 4) = -.9163988595413346, (9, 5) = -0.1879672842327696e-2, (9, 6) = -0.4786632705167547e-2, (9, 7) = .44424204136594453, (9, 8) = -0.5496153962800083e-1, (10, 1) = .847763297944333, (10, 2) = 2.123435337834906, (10, 3) = 1.126111344253534, (10, 4) = -.9036455603483291, (10, 5) = -0.21598771781540984e-2, (10, 6) = -0.4457593823292657e-2, (10, 7) = .4406714482113693, (10, 8) = -0.6288112123455601e-1, (11, 1) = .9843393499550938, (11, 2) = 2.1428285542537844, (11, 3) = 1.0687552320755083, (11, 4) = -.8876468667624571, (11, 5) = -0.24327255396754594e-2, (11, 6) = -0.4056474806134682e-2, (11, 7) = .4363874096782681, (11, 8) = -0.708810134362007e-1, (12, 1) = 1.1237836093097533, (12, 2) = 2.1624652853041466, (12, 3) = 1.011832180926541, (12, 4) = -.8695451341011282, (12, 5) = -0.2680896493999921e-2, (12, 6) = -0.3596845896471083e-2, (12, 7) = .43154294962730755, (12, 8) = -0.7863768804042866e-1, (13, 1) = 1.2656232819456894, (13, 2) = 2.182262739970384, (13, 3) = .9556973069001019, (13, 4) = -.8496857938539728, (13, 5) = -0.28991737520459543e-2, (13, 6) = -0.308051138535623e-2, (13, 7) = .42616132725811307, (13, 8) = -0.8616326952785293e-1, (14, 1) = 1.408780712702396, (14, 2) = 2.202058530406396, (14, 3) = .9008968332966889, (14, 4) = -.8284046501288216, (14, 5) = -0.3082067319124229e-2, (14, 6) = -0.2512223889450374e-2, (14, 7) = .4202955587319762, (14, 8) = -0.9344382370597953e-1, (15, 1) = 1.5530735139719447, (15, 2) = 2.2218189937848294, (15, 3) = .8475850007819113, (15, 4) = -.8058880695807592, (15, 5) = -0.32260533892462394e-2, (15, 6) = -0.18938930243389903e-2, (15, 7) = .41396826401074016, (15, 8) = -.10051502209225827, (16, 1) = 1.698410351647586, (16, 2) = 2.2415247347014464, (16, 3) = .7958644292913738, (16, 4) = -.7822956883101383, (16, 5) = -0.3327942234282917e-2, (16, 6) = -0.1226938539977064e-2, (16, 7) = .4071968303220844, (16, 8) = -.10741495835348656, (17, 1) = 1.844273487156983, (17, 2) = 2.2611008629453613, (17, 3) = .7459662823616324, (17, 4) = -.7578533262440998, (17, 5) = -0.33846255216261703e-2, (17, 6) = -0.514759129154577e-3, (17, 7) = .4000183529265164, (17, 8) = -.11415970645343881, (18, 1) = 1.9660647808809397, (18, 2) = 2.2772916881728023, (18, 3) = .7058493238111733, (18, 4) = -.7369636984802895, (18, 5) = -0.33955895702907526e-2, (18, 6) = 0.11169791160924508e-3, (18, 7) = .3937428184702135, (18, 8) = -.11968211404294021, (19, 1) = 2.0650332867510306, (19, 2) = 2.2903449057162386, (19, 3) = .6742856542468953, (19, 4) = -.7197253946637352, (19, 5) = -0.3379345969243999e-2, (19, 6) = 0.6415663100252571e-3, (19, 7) = .3884603780871002, (19, 8) = -.1241121401831915, (20, 1) = 2.1507903764298955, (20, 2) = 2.3015807528597905, (20, 3) = .6476842724902494, (20, 4) = -.7046314550195008, (20, 5) = -0.33465809221206125e-2, (20, 6) = 0.11155269740402043e-2, (20, 7) = .38375353649407395, (20, 8) = -.12791784549802465}, datatype = float[8], order = C_order); YP := Matrix(20, 8, {(1, 1) = 2.0053251936081944, (1, 2) = .20053251936081945, (1, 3) = .0, (1, 4) = -17.312630624062646, (1, 5) = -0.5612973334711832e-2, (1, 6) = -0.5612973334711833e-3, (1, 7) = .0, (1, 8) = -.18253803495142387, (2, 1) = 2.0134023775287604, (2, 2) = .2468778069909702, (2, 3) = -.45537569238094155, (2, 4) = -9.061708006510269, (2, 5) = -0.5621503550492427e-2, (2, 6) = 0.8101996042074228e-4, (2, 7) = -0.643170315469985e-2, (2, 8) = -.17745738418826795, (3, 1) = 2.0230651157366997, (3, 2) = .27224170855930807, (3, 3) = -.6993519698563813, (3, 4) = -4.603982074336188, (3, 5) = -0.5606444098831052e-2, (3, 6) = 0.7290939008536977e-3, (3, 7) = -0.12897383107368028e-1, (3, 8) = -.1716797927099076, (4, 1) = 2.0338411534786576, (4, 2) = .28598466509154097, (4, 3) = -.8260054974367521, (4, 4) = -2.2429513477533867, (4, 5) = -0.55657238487568815e-2, (4, 6) = 0.1382476891080489e-2, (4, 7) = -0.1939049275956177e-1, (4, 8) = -.16559199463104318, (5, 1) = 2.0455010701918805, (5, 2) = .29341184577722174, (5, 3) = -.8886173875803364, (5, 4) = -1.0167952207811748, (5, 5) = -0.5496822376964125e-2, (5, 6) = 0.20424101825759484e-2, (5, 7) = -0.25920924202723607e-1, (5, 8) = -.1594098341596127, (6, 1) = 2.0582142969946084, (6, 2) = .29752435619873707, (6, 3) = -.9170292649927623, (6, 4) = -.3830211788724602, (6, 5) = -0.5394261634780204e-2, (6, 6) = 0.2724413256105731e-2, (6, 7) = -0.32638394195837514e-1, (6, 8) = -.15313238968077217, (7, 1) = 2.072256296552187, (7, 2) = .2998724844760755, (7, 3) = -.9264685482085676, (7, 4) = -0.60460912944764036e-1, (7, 5) = -0.5249243795647192e-2, (7, 6) = 0.3443280713370689e-2, (7, 7) = -0.3968205092935408e-1, (7, 8) = -.14673837885869348, (8, 1) = 2.087986026940522, (8, 2) = .30128036661875723, (8, 3) = -.9248176392470497, (8, 4) = .10219738914667098, (8, 5) = -0.5048806225355029e-2, (8, 6) = 0.4213720404285278e-2, (8, 7) = -0.4718601026820781e-1, (8, 8) = -.14021601066572284, (9, 1) = 2.1051163426550845, (9, 2) = .3021515202196419, (9, 3) = -.9163988595413346, (9, 4) = .18477369158772106, (9, 5) = -0.4786632705167547e-2, (9, 6) = 0.5017490692283328e-2, (9, 7) = -0.5496153962800083e-1, (9, 8) = -.1338382357784468, (10, 1) = 2.123435337834906, (10, 2) = .30270808981832353, (10, 3) = -.9036455603483291, (10, 4) = .2323220188969241, (10, 5) = -0.4457593823292657e-2, (10, 6) = 0.5842352741126336e-2, (10, 7) = -0.6288112123455601e-1, (10, 8) = -.12780046682246987, (11, 1) = 2.1428285542537844, (11, 2) = .30304754210162416, (11, 3) = -.8876468667624571, (11, 4) = .2657246916082982, (11, 5) = -0.4056474806134682e-2, (11, 6) = 0.6682453863006602e-2, (11, 7) = -0.708810134362007e-1, (11, 8) = -.12222857720286623, (12, 1) = 2.1624652853041466, (12, 2) = .3032010419405275, (12, 3) = -.8695451341011282, (12, 4) = .29236487799593064, (12, 5) = -0.3596845896471083e-2, (12, 6) = 0.75040842143957575e-2, (12, 7) = -0.7863768804042866e-1, (12, 8) = -.11738445926466252, (13, 1) = 2.182262739970384, (13, 2) = .3031948533824357, (13, 3) = -.8496857938539728, (13, 4) = .3154535977139292, (13, 5) = -0.308051138535623e-2, (13, 6) = 0.8308275814249672e-2, (13, 7) = -0.8616326952785293e-1, (13, 8) = -.11325535903762853, (14, 1) = 2.202058530406396, (14, 2) = .3030463180535218, (14, 3) = -.8284046501288216, (14, 4) = .33590310410426294, (14, 5) = -0.2512223889450374e-2, (14, 6) = 0.9093159981652915e-2, (14, 7) = -0.9344382370597953e-1, (14, 8) = -.10983176344252321, (15, 1) = 2.2218189937848294, (15, 2) = .3027707063365589, (15, 3) = -.8058880695807592, (15, 4) = .3540740832535115, (15, 5) = -0.18938930243389903e-2, (15, 6) = 0.9862112906791929e-2, (15, 7) = -.10051502209225827, (15, 8) = -.1070705229055163, (16, 1) = 2.2415247347014464, (16, 2) = .3023820423011585, (16, 3) = -.7822956883101383, (16, 4) = .370114372923692, (16, 5) = -0.1226938539977064e-2, (16, 6) = 0.1061880198135095e-1, (16, 7) = -.10741495835348656, (16, 8) = -.10492796929864943, (17, 1) = 2.2611008629453613, (17, 2) = .3018954189189461, (17, 3) = -.7578533262440998, (17, 4) = .3840645990962983, (17, 5) = -0.514759129154577e-3, (17, 6) = 0.11364494732428424e-1, (17, 7) = -.11415970645343881, (17, 8) = -.10336653995058015, (18, 1) = 2.2772916881728023, (18, 2) = .3014255386653092, (18, 3) = -.7369636984802895, (18, 4) = .3941389673270303, (18, 5) = 0.11169791160924508e-3, (18, 6) = 0.11979381195454946e-1, (18, 7) = -.11968211404294021, (18, 8) = -.10247828836869974, (19, 1) = 2.2903449057162386, (19, 2) = .3010070300379974, (19, 3) = -.7197253946637352, (19, 4) = .4013082879540461, (19, 5) = 0.6415663100252571e-3, (19, 6) = 0.12475370649321676e-1, (19, 7) = -.1241121401831915, (19, 8) = -.10201522027713918, (20, 1) = 2.3015807528597905, (20, 2) = .30062122078792913, (20, 3) = -.7046314550195008, (20, 4) = .4068028054072272, (20, 5) = 0.11155269740402043e-2, (20, 6) = 0.12903337247206487e-1, (20, 7) = -.12791784549802465, (20, 8) = -.1017905260964087}, datatype = float[8], order = C_order); errproc := proc (x_bvp) local outpoint, X, Y, yout, L, V, i; option `Copyright (c) 2000 by Waterloo Maple Inc. All rights reserved.`; Digits := 15; outpoint := evalf(x_bvp); X := Vector(20, {(1) = .0, (2) = 0.35719097960602804e-1, (3) = 0.7275276815367403e-1, (4) = .11125780726700532, (5) = .15145014267940804, (6) = .19444503533587412, (7) = .24143614849513576, (8) = .2937559435180791, (9) = .3505250574913286, (10) = .4110930653557727, (11) = .4751191880069268, (12) = .5398972580085897, (13) = .6051900309982151, (14) = .6704942680985273, (15) = .735727856806597, (16) = .8008524401122463, (17) = .86564262177287, (18) = .9193141275004441, (19) = .962648766031185, (20) = 1.0}, datatype = float[8], order = C_order); Y := Matrix(20, 8, {(1, 1) = .0, (1, 2) = 0.54921958697355426e-14, (1, 3) = 0.6971945144726081e-12, (1, 4) = .0, (1, 5) = .0, (1, 6) = -0.43901173915795137e-15, (1, 7) = 0.34206397338666417e-13, (1, 8) = .0, (2, 1) = 0.16159101392451558e-11, (2, 2) = -0.2910488654920155e-10, (2, 3) = 0.29343668194507134e-9, (2, 4) = -0.52746234622770295e-8, (2, 5) = -0.38317312087969237e-15, (2, 6) = 0.6191912109753353e-14, (2, 7) = -0.32330205877042315e-13, (2, 8) = 0.12002986289969285e-11, (3, 1) = 0.11082816477196082e-11, (3, 2) = -0.19954323132225836e-10, (3, 3) = 0.20142404534947036e-9, (3, 4) = -0.36168789827019156e-8, (3, 5) = -0.2839165693988888e-15, (3, 6) = 0.4113737202260409e-14, (3, 7) = -0.1154872384201362e-13, (3, 8) = 0.822299765052115e-12, (4, 1) = 0.41719475846940715e-12, (4, 2) = -0.7497686506563506e-11, (4, 3) = 0.7617120864179665e-10, (4, 4) = -0.13602035420107753e-8, (4, 5) = -0.1437434685413802e-15, (4, 6) = 0.12782936234106492e-14, (4, 7) = 0.168941348677072e-13, (4, 8) = 0.3079698125136499e-12, (5, 1) = 0.13923650558859692e-13, (5, 2) = -0.21789360639298075e-12, (5, 3) = 0.29619080598388565e-11, (5, 4) = -0.41273229106130374e-10, (5, 5) = -0.689483950355724e-16, (5, 6) = -0.3712059911461185e-15, (5, 7) = 0.3287001554338945e-13, (5, 8) = 0.7142831988092938e-14, (6, 1) = -0.11887081953469728e-12, (6, 2) = 0.2181574911155293e-11, (6, 3) = -0.21165079574676062e-10, (6, 4) = 0.39328156563221595e-9, (6, 5) = -0.5555013495562232e-16, (6, 6) = -0.9156409590765567e-15, (6, 7) = 0.3909957070443503e-13, (6, 8) = -0.9238113108809545e-13, (7, 1) = -0.10981983336897058e-12, (7, 2) = 0.2018815376829209e-11, (7, 3) = -0.1954262834860141e-10, (7, 4) = 0.36391587748853606e-9, (7, 5) = -0.7708198818376909e-16, (7, 6) = -0.8684724152113567e-15, (7, 7) = 0.3828072164621264e-13, (7, 8) = -0.8621219818025532e-13, (8, 1) = -0.51928037868150286e-13, (8, 2) = 0.9956236333146792e-12, (8, 3) = -0.9242118263766255e-11, (8, 4) = 0.17815059148408043e-9, (8, 5) = -0.10932975415608019e-15, (8, 6) = -0.6131828261941697e-15, (8, 7) = 0.35726291036328094e-13, (8, 8) = -0.4451876658530887e-13, (9, 1) = -0.11934647247503647e-13, (9, 2) = 0.2919013993135085e-12, (9, 3) = -0.21617366350736754e-11, (9, 4) = 0.50396331234513934e-10, (9, 5) = -0.14163944555659412e-15, (9, 6) = -0.43309790752421276e-15, (9, 7) = 0.33526617419600833e-13, (9, 8) = -0.15977501436125068e-13, (10, 1) = 0.13208565425087037e-13, (10, 2) = -0.15847081725218992e-12, (10, 3) = 0.23433741039779506e-11, (10, 4) = -0.30905908745303125e-10, (10, 5) = -0.1645286662794927e-15, (10, 6) = -0.30592753539955245e-15, (10, 7) = 0.3235382123063574e-13, (10, 8) = 0.1805123485773834e-14, (11, 1) = 0.24662050447747244e-13, (11, 2) = -0.348217579068914e-12, (11, 3) = 0.4252113349225012e-11, (11, 4) = -0.6548857761160066e-10, (11, 5) = -0.19069119744849192e-15, (11, 6) = -0.2229445125034585e-15, (11, 7) = 0.3159759815944996e-13, (11, 8) = 0.9118422876938472e-14, (12, 1) = 0.24412668985452177e-13, (12, 2) = -0.289615699395915e-12, (12, 3) = 0.3693497847284046e-11, (12, 4) = -0.55649601014791604e-10, (12, 5) = -0.20811228401461676e-15, (12, 6) = -0.20302969110054756e-15, (12, 7) = 0.3146938732935611e-13, (12, 8) = 0.6333671614220484e-14, (13, 1) = 0.16772863021394482e-13, (13, 2) = -0.14137062143252341e-12, (13, 3) = 0.22119587057540023e-11, (13, 4) = -0.2911546303193717e-10, (13, 5) = -0.22135177034835522e-15, (13, 6) = -0.1919011244926562e-15, (13, 7) = 0.313829439892334e-13, (13, 8) = -0.13124019358286128e-15, (14, 1) = 0.8888427881511362e-14, (14, 2) = -0.25644348402156826e-13, (14, 3) = 0.1038517183671305e-11, (14, 4) = -0.816383160602506e-11, (14, 5) = -0.237026551948315e-15, (14, 6) = -0.17717604167912409e-15, (14, 7) = 0.3093352931564503e-13, (14, 8) = -0.5382408456860633e-14, (15, 1) = 0.7989585360263331e-14, (15, 2) = 0.27612580403612908e-13, (15, 3) = 0.4947999069557425e-12, (15, 4) = 0.1467568749646379e-11, (15, 5) = -0.24412295270340337e-15, (15, 6) = -0.14197651938089092e-15, (15, 7) = 0.31309528643974336e-13, (15, 8) = -0.8056805930570116e-14, (16, 1) = 0.9186964558409105e-14, (16, 2) = 0.4204420118148477e-13, (16, 3) = 0.35899768072547627e-12, (16, 4) = 0.3749578049851486e-11, (16, 5) = -0.2537554369447278e-15, (16, 6) = -0.9374741380831715e-16, (16, 7) = 0.3030370303112566e-13, (16, 8) = -0.8941309983947672e-14, (17, 1) = 0.10294217293009357e-13, (17, 2) = 0.37859937634768925e-13, (17, 3) = 0.3802183409528524e-12, (17, 4) = 0.32030841980451587e-11, (17, 5) = -0.25842630306577263e-15, (17, 6) = -0.39588189166863215e-16, (17, 7) = 0.2956930217335054e-13, (17, 8) = -0.9281966687242097e-14, (18, 1) = 0.11550213210690431e-13, (18, 2) = 0.41499788926915666e-13, (18, 3) = 0.36400302648677843e-12, (18, 4) = 0.3360796387690797e-11, (18, 5) = -0.25635721424309254e-15, (18, 6) = 0.66616290353902806e-17, (18, 7) = 0.2936138977674041e-13, (18, 8) = -0.9613957399795097e-14, (19, 1) = 0.13341105163441855e-13, (19, 2) = 0.3470091884239306e-13, (19, 3) = 0.43968048941247553e-12, (19, 4) = 0.1889434514139951e-11, (19, 5) = -0.2556973949581726e-15, (19, 6) = 0.4783464565165763e-16, (19, 7) = 0.2855046859214614e-13, (19, 8) = -0.955900033645097e-14, (20, 1) = 0.13499379198063885e-13, (20, 2) = 0.2766855175360778e-13, (20, 3) = 0.4862191357662044e-12, (20, 4) = 0.9713572994339805e-12, (20, 5) = -0.2519797692991319e-15, (20, 6) = 0.833067897759525e-16, (20, 7) = 0.2873313748899571e-13, (20, 8) = -0.95849608628296e-14}, datatype = float[8], order = C_order); if not type(outpoint, 'numeric') then if outpoint = "start" or outpoint = "left" then return X[1] elif outpoint = "right" then return X[20] elif outpoint = "order" then return 8 elif outpoint = "error" then return 0.527462346227703e-8 elif outpoint = "errorproc" then error "this is already the error procedure" elif outpoint = "rawdata" then return [8, 20, [Phi(Y), diff(Phi(Y), Y), Theta(Y), diff(Theta(Y), Y), U(Y), diff(U(Y), Y), W(Y), diff(W(Y), Y)], X, Y] else return ('procname')(x_bvp) end if end if; if outpoint < X[1] or X[20] < outpoint then error "solution is only defined in the range %1..%2", X[1], X[20] end if; V := array([1 = 4, 2 = 0]); if Digits <= trunc(evalhf(Digits)) then L := Vector(4, 'datatype' = 'float'[8]); yout := Vector(8, 'datatype' = 'float'[8]); evalhf(`dsolve/numeric/lagrange`(20, 8, X, Y, outpoint, var(yout), var(L), var(V))) else L := Vector(4, 'datatype' = 'sfloat'); yout := Vector(8, 'datatype' = 'sfloat'); `dsolve/numeric/lagrange`(20, 8, X, Y, outpoint, yout, L, V) end if; [Y = outpoint, seq('[Phi(Y), diff(Phi(Y), Y), Theta(Y), diff(Theta(Y), Y), U(Y), diff(U(Y), Y), W(Y), diff(W(Y), Y)]'[i] = yout[i], i = 1 .. 8)] end proc; if not type(outpoint, 'numeric') then if outpoint = "start" or outpoint = "left" then return X[1] elif outpoint = "method" then return "bvp" elif outpoint = "right" then return X[20] elif outpoint = "order" then return 8 elif outpoint = "error" then return 0.527462346227703e-8 elif outpoint = "errorproc" then return eval(errproc) elif outpoint = "rawdata" then return [8, 20, "depnames", X, Y, YP] else error "non-numeric value" end if end if; if outpoint < X[1] or X[20] < outpoint then error "solution is only defined in the range %1..%2", X[1], X[20] end if; if Digits <= trunc(evalhf(Digits)) and (_EnvInFsolve <> true or _EnvDSNumericSaveDigits <= trunc(evalhf(Digits))) then V := array( 1 .. 6, [( 1 ) = (7), ( 2 ) = (0), ( 3 ) = (false), ( 4 ) = (false), ( 5 ) = (false), ( 6 ) = (false)  ] ); L := Matrix(7, 2, {(1, 1) = .0, (1, 2) = .0, (2, 1) = .0, (2, 2) = .0, (3, 1) = .0, (3, 2) = .0, (4, 1) = .0, (4, 2) = .0, (5, 1) = .0, (5, 2) = .0, (6, 1) = .0, (6, 2) = .0, (7, 1) = .0, (7, 2) = .0}, datatype = float[8], order = C_order); yout := Vector(8, {(1) = .0, (2) = .0, (3) = .0, (4) = .0, (5) = .0, (6) = .0, (7) = .0, (8) = .0}, datatype = float[8]); evalhf(`dsolve/numeric/hermite`(20, 8, X, Y, YP, outpoint, var(yout), var(L), var(V))) else if _EnvInFsolve = true then Digits := _EnvDSNumericSaveDigits end if; V := array( 1 .. 6, [( 1 ) = (7), ( 2 ) = (0), ( 3 ) = (false), ( 4 ) = (false), ( 5 ) = (false), ( 6 ) = (false)  ] ); L := Matrix(7, 2, {(1, 1) = 0., (1, 2) = 0., (2, 1) = 0., (2, 2) = 0., (3, 1) = 0., (3, 2) = 0., (4, 1) = 0., (4, 2) = 0., (5, 1) = 0., (5, 2) = 0., (6, 1) = 0., (6, 2) = 0., (7, 1) = 0., (7, 2) = 0.}, order = C_order); yout := Vector(8, {(1) = 0., (2) = 0., (3) = 0., (4) = 0., (5) = 0., (6) = 0., (7) = 0., (8) = 0.}); `dsolve/numeric/hermite`(20, 8, X, Y, YP, outpoint, yout, L, V) end if; [outpoint, seq(yout[i], i = 1 .. 8)] end proc, (2) = Array(1..9, {(1) = 18446744078205204806, (2) = 18446744078205205334, (3) = 18446744078205205510, (4) = 18446744078205205686, (5) = 18446744078205205862, (6) = 18446744078205206038, (7) = 18446744078205210622, (8) = 18446744078205212030, (9) = 18446744078205214806}), (3) = [Y, Phi(Y), diff(Phi(Y), Y), Theta(Y), diff(Theta(Y), Y), U(Y), diff(U(Y), Y), W(Y), diff(W(Y), Y)], (4) = 0}); solnproc := data[1]; if not type(outpoint, 'numeric') then if outpoint = "solnprocedure" then return eval(solnproc) elif member(outpoint, ["start", "left", "right", "errorproc", "rawdata", "order", "error"]) then return solnproc(Y) elif outpoint = "sysvars" then return data[3] elif procname <> unknown then return ('procname')(Y) else `Theta(Y)` := pointto(data[2][4]); return ('`Theta(Y)`')(Y) end if end if; try res := solnproc(outpoint); res[4] catch: error  end try end proc, diff(Theta(Y), Y) = proc (Y) local res, data, solnproc, `diff(Theta(Y),Y)`, outpoint; option `Copyright (c) 2000 by Waterloo Maple Inc. All rights reserved.`; _EnvDSNumericSaveDigits := Digits; Digits := 15; if _EnvInFsolve = true then outpoint := evalf[_EnvDSNumericSaveDigits](Y) else outpoint := evalf(Y) end if; data := Array(1..4, {(1) = proc (outpoint) local X, Y, YP, yout, errproc, L, V, i; option `Copyright (c) 2000 by Waterloo Maple Inc. All rights reserved.`; X := Vector(20, {(1) = .0, (2) = 0.35719097960602804e-1, (3) = 0.7275276815367403e-1, (4) = .11125780726700532, (5) = .15145014267940804, (6) = .19444503533587412, (7) = .24143614849513576, (8) = .2937559435180791, (9) = .3505250574913286, (10) = .4110930653557727, (11) = .4751191880069268, (12) = .5398972580085897, (13) = .6051900309982151, (14) = .6704942680985273, (15) = .735727856806597, (16) = .8008524401122463, (17) = .86564262177287, (18) = .9193141275004441, (19) = .962648766031185, (20) = 1.0}, datatype = float[8], order = C_order); Y := Matrix(20, 8, {(1, 1) = .0, (1, 2) = 2.0053251936081944, (1, 3) = 1.459449488576314, (1, 4) = .0, (1, 5) = .0, (1, 6) = -0.5612973334711832e-2, (1, 7) = .45438512050371493, (1, 8) = .0, (2, 1) = 0.7176776742213782e-1, (2, 2) = 2.0134023775287604, (2, 3) = 1.4504454167927874, (2, 4) = -.45537569238094155, (2, 5) = -0.20071098719062178e-3, (2, 6) = -0.5621503550492427e-2, (2, 7) = .4542697116743303, (2, 8) = -0.643170315469985e-2, (3, 1) = .14650749204991942, (3, 2) = 2.0230651157366997, (3, 3) = 1.4285577593411758, (3, 4) = -.6993519698563813, (3, 5) = -0.40869111321034733e-3, (3, 6) = -0.5606444098831052e-2, (3, 7) = .4539111370316967, (3, 8) = -0.12897383107368028e-1, (4, 1) = .22461147400584763, (4, 2) = 2.0338411534786576, (4, 3) = 1.398901363877521, (4, 4) = -.8260054974367521, (4, 5) = -0.6238642222587452e-3, (4, 6) = -0.55657238487568815e-2, (4, 7) = .45328876142190666, (4, 8) = -0.1939049275956177e-1, (5, 1) = .3065896273527975, (5, 2) = 2.0455010701918805, (5, 3) = 1.3642803500922391, (5, 4) = -.8886173875803364, (5, 5) = -0.8462678436774964e-3, (5, 6) = -0.5496822376964125e-2, (5, 7) = .4523773430825606, (5, 8) = -0.25920924202723607e-1, (6, 1) = .3948083998129553, (6, 2) = 2.0582142969946084, (6, 3) = 1.3253668545251265, (6, 4) = -.9170292649927623, (6, 5) = -0.10805033940007663e-2, (6, 6) = -0.5394261634780204e-2, (6, 7) = .4511175001103978, (6, 8) = -0.32638394195837514e-1, (7, 1) = .49185567682557213, (7, 2) = 2.072256296552187, (7, 3) = 1.281994135961963, (7, 4) = -.9264685482085676, (7, 5) = -0.13307107526425452e-2, (7, 6) = -0.5249243795647192e-2, (7, 7) = .44941711436042603, (7, 8) = -0.3968205092935408e-1, (8, 1) = .6006868709925981, (8, 2) = 2.087986026940522, (8, 3) = 1.2335280262456318, (8, 4) = -.9248176392470497, (8, 5) = -0.16002824214905727e-2, (8, 6) = -0.5048806225355029e-2, (8, 7) = .44714316698865636, (8, 8) = -0.4718601026820781e-1, (9, 1) = .7197059916406936, (9, 2) = 2.1051163426550845, (9, 3) = 1.1812439897480995, (9, 4) = -.9163988595413346, (9, 5) = -0.1879672842327696e-2, (9, 6) = -0.4786632705167547e-2, (9, 7) = .44424204136594453, (9, 8) = -0.5496153962800083e-1, (10, 1) = .847763297944333, (10, 2) = 2.123435337834906, (10, 3) = 1.126111344253534, (10, 4) = -.9036455603483291, (10, 5) = -0.21598771781540984e-2, (10, 6) = -0.4457593823292657e-2, (10, 7) = .4406714482113693, (10, 8) = -0.6288112123455601e-1, (11, 1) = .9843393499550938, (11, 2) = 2.1428285542537844, (11, 3) = 1.0687552320755083, (11, 4) = -.8876468667624571, (11, 5) = -0.24327255396754594e-2, (11, 6) = -0.4056474806134682e-2, (11, 7) = .4363874096782681, (11, 8) = -0.708810134362007e-1, (12, 1) = 1.1237836093097533, (12, 2) = 2.1624652853041466, (12, 3) = 1.011832180926541, (12, 4) = -.8695451341011282, (12, 5) = -0.2680896493999921e-2, (12, 6) = -0.3596845896471083e-2, (12, 7) = .43154294962730755, (12, 8) = -0.7863768804042866e-1, (13, 1) = 1.2656232819456894, (13, 2) = 2.182262739970384, (13, 3) = .9556973069001019, (13, 4) = -.8496857938539728, (13, 5) = -0.28991737520459543e-2, (13, 6) = -0.308051138535623e-2, (13, 7) = .42616132725811307, (13, 8) = -0.8616326952785293e-1, (14, 1) = 1.408780712702396, (14, 2) = 2.202058530406396, (14, 3) = .9008968332966889, (14, 4) = -.8284046501288216, (14, 5) = -0.3082067319124229e-2, (14, 6) = -0.2512223889450374e-2, (14, 7) = .4202955587319762, (14, 8) = -0.9344382370597953e-1, (15, 1) = 1.5530735139719447, (15, 2) = 2.2218189937848294, (15, 3) = .8475850007819113, (15, 4) = -.8058880695807592, (15, 5) = -0.32260533892462394e-2, (15, 6) = -0.18938930243389903e-2, (15, 7) = .41396826401074016, (15, 8) = -.10051502209225827, (16, 1) = 1.698410351647586, (16, 2) = 2.2415247347014464, (16, 3) = .7958644292913738, (16, 4) = -.7822956883101383, (16, 5) = -0.3327942234282917e-2, (16, 6) = -0.1226938539977064e-2, (16, 7) = .4071968303220844, (16, 8) = -.10741495835348656, (17, 1) = 1.844273487156983, (17, 2) = 2.2611008629453613, (17, 3) = .7459662823616324, (17, 4) = -.7578533262440998, (17, 5) = -0.33846255216261703e-2, (17, 6) = -0.514759129154577e-3, (17, 7) = .4000183529265164, (17, 8) = -.11415970645343881, (18, 1) = 1.9660647808809397, (18, 2) = 2.2772916881728023, (18, 3) = .7058493238111733, (18, 4) = -.7369636984802895, (18, 5) = -0.33955895702907526e-2, (18, 6) = 0.11169791160924508e-3, (18, 7) = .3937428184702135, (18, 8) = -.11968211404294021, (19, 1) = 2.0650332867510306, (19, 2) = 2.2903449057162386, (19, 3) = .6742856542468953, (19, 4) = -.7197253946637352, (19, 5) = -0.3379345969243999e-2, (19, 6) = 0.6415663100252571e-3, (19, 7) = .3884603780871002, (19, 8) = -.1241121401831915, (20, 1) = 2.1507903764298955, (20, 2) = 2.3015807528597905, (20, 3) = .6476842724902494, (20, 4) = -.7046314550195008, (20, 5) = -0.33465809221206125e-2, (20, 6) = 0.11155269740402043e-2, (20, 7) = .38375353649407395, (20, 8) = -.12791784549802465}, datatype = float[8], order = C_order); YP := Matrix(20, 8, {(1, 1) = 2.0053251936081944, (1, 2) = .20053251936081945, (1, 3) = .0, (1, 4) = -17.312630624062646, (1, 5) = -0.5612973334711832e-2, (1, 6) = -0.5612973334711833e-3, (1, 7) = .0, (1, 8) = -.18253803495142387, (2, 1) = 2.0134023775287604, (2, 2) = .2468778069909702, (2, 3) = -.45537569238094155, (2, 4) = -9.061708006510269, (2, 5) = -0.5621503550492427e-2, (2, 6) = 0.8101996042074228e-4, (2, 7) = -0.643170315469985e-2, (2, 8) = -.17745738418826795, (3, 1) = 2.0230651157366997, (3, 2) = .27224170855930807, (3, 3) = -.6993519698563813, (3, 4) = -4.603982074336188, (3, 5) = -0.5606444098831052e-2, (3, 6) = 0.7290939008536977e-3, (3, 7) = -0.12897383107368028e-1, (3, 8) = -.1716797927099076, (4, 1) = 2.0338411534786576, (4, 2) = .28598466509154097, (4, 3) = -.8260054974367521, (4, 4) = -2.2429513477533867, (4, 5) = -0.55657238487568815e-2, (4, 6) = 0.1382476891080489e-2, (4, 7) = -0.1939049275956177e-1, (4, 8) = -.16559199463104318, (5, 1) = 2.0455010701918805, (5, 2) = .29341184577722174, (5, 3) = -.8886173875803364, (5, 4) = -1.0167952207811748, (5, 5) = -0.5496822376964125e-2, (5, 6) = 0.20424101825759484e-2, (5, 7) = -0.25920924202723607e-1, (5, 8) = -.1594098341596127, (6, 1) = 2.0582142969946084, (6, 2) = .29752435619873707, (6, 3) = -.9170292649927623, (6, 4) = -.3830211788724602, (6, 5) = -0.5394261634780204e-2, (6, 6) = 0.2724413256105731e-2, (6, 7) = -0.32638394195837514e-1, (6, 8) = -.15313238968077217, (7, 1) = 2.072256296552187, (7, 2) = .2998724844760755, (7, 3) = -.9264685482085676, (7, 4) = -0.60460912944764036e-1, (7, 5) = -0.5249243795647192e-2, (7, 6) = 0.3443280713370689e-2, (7, 7) = -0.3968205092935408e-1, (7, 8) = -.14673837885869348, (8, 1) = 2.087986026940522, (8, 2) = .30128036661875723, (8, 3) = -.9248176392470497, (8, 4) = .10219738914667098, (8, 5) = -0.5048806225355029e-2, (8, 6) = 0.4213720404285278e-2, (8, 7) = -0.4718601026820781e-1, (8, 8) = -.14021601066572284, (9, 1) = 2.1051163426550845, (9, 2) = .3021515202196419, (9, 3) = -.9163988595413346, (9, 4) = .18477369158772106, (9, 5) = -0.4786632705167547e-2, (9, 6) = 0.5017490692283328e-2, (9, 7) = -0.5496153962800083e-1, (9, 8) = -.1338382357784468, (10, 1) = 2.123435337834906, (10, 2) = .30270808981832353, (10, 3) = -.9036455603483291, (10, 4) = .2323220188969241, (10, 5) = -0.4457593823292657e-2, (10, 6) = 0.5842352741126336e-2, (10, 7) = -0.6288112123455601e-1, (10, 8) = -.12780046682246987, (11, 1) = 2.1428285542537844, (11, 2) = .30304754210162416, (11, 3) = -.8876468667624571, (11, 4) = .2657246916082982, (11, 5) = -0.4056474806134682e-2, (11, 6) = 0.6682453863006602e-2, (11, 7) = -0.708810134362007e-1, (11, 8) = -.12222857720286623, (12, 1) = 2.1624652853041466, (12, 2) = .3032010419405275, (12, 3) = -.8695451341011282, (12, 4) = .29236487799593064, (12, 5) = -0.3596845896471083e-2, (12, 6) = 0.75040842143957575e-2, (12, 7) = -0.7863768804042866e-1, (12, 8) = -.11738445926466252, (13, 1) = 2.182262739970384, (13, 2) = .3031948533824357, (13, 3) = -.8496857938539728, (13, 4) = .3154535977139292, (13, 5) = -0.308051138535623e-2, (13, 6) = 0.8308275814249672e-2, (13, 7) = -0.8616326952785293e-1, (13, 8) = -.11325535903762853, (14, 1) = 2.202058530406396, (14, 2) = .3030463180535218, (14, 3) = -.8284046501288216, (14, 4) = .33590310410426294, (14, 5) = -0.2512223889450374e-2, (14, 6) = 0.9093159981652915e-2, (14, 7) = -0.9344382370597953e-1, (14, 8) = -.10983176344252321, (15, 1) = 2.2218189937848294, (15, 2) = .3027707063365589, (15, 3) = -.8058880695807592, (15, 4) = .3540740832535115, (15, 5) = -0.18938930243389903e-2, (15, 6) = 0.9862112906791929e-2, (15, 7) = -.10051502209225827, (15, 8) = -.1070705229055163, (16, 1) = 2.2415247347014464, (16, 2) = .3023820423011585, (16, 3) = -.7822956883101383, (16, 4) = .370114372923692, (16, 5) = -0.1226938539977064e-2, (16, 6) = 0.1061880198135095e-1, (16, 7) = -.10741495835348656, (16, 8) = -.10492796929864943, (17, 1) = 2.2611008629453613, (17, 2) = .3018954189189461, (17, 3) = -.7578533262440998, (17, 4) = .3840645990962983, (17, 5) = -0.514759129154577e-3, (17, 6) = 0.11364494732428424e-1, (17, 7) = -.11415970645343881, (17, 8) = -.10336653995058015, (18, 1) = 2.2772916881728023, (18, 2) = .3014255386653092, (18, 3) = -.7369636984802895, (18, 4) = .3941389673270303, (18, 5) = 0.11169791160924508e-3, (18, 6) = 0.11979381195454946e-1, (18, 7) = -.11968211404294021, (18, 8) = -.10247828836869974, (19, 1) = 2.2903449057162386, (19, 2) = .3010070300379974, (19, 3) = -.7197253946637352, (19, 4) = .4013082879540461, (19, 5) = 0.6415663100252571e-3, (19, 6) = 0.12475370649321676e-1, (19, 7) = -.1241121401831915, (19, 8) = -.10201522027713918, (20, 1) = 2.3015807528597905, (20, 2) = .30062122078792913, (20, 3) = -.7046314550195008, (20, 4) = .4068028054072272, (20, 5) = 0.11155269740402043e-2, (20, 6) = 0.12903337247206487e-1, (20, 7) = -.12791784549802465, (20, 8) = -.1017905260964087}, datatype = float[8], order = C_order); errproc := proc (x_bvp) local outpoint, X, Y, yout, L, V, i; option `Copyright (c) 2000 by Waterloo Maple Inc. All rights reserved.`; Digits := 15; outpoint := evalf(x_bvp); X := Vector(20, {(1) = .0, (2) = 0.35719097960602804e-1, (3) = 0.7275276815367403e-1, (4) = .11125780726700532, (5) = .15145014267940804, (6) = .19444503533587412, (7) = .24143614849513576, (8) = .2937559435180791, (9) = .3505250574913286, (10) = .4110930653557727, (11) = .4751191880069268, (12) = .5398972580085897, (13) = .6051900309982151, (14) = .6704942680985273, (15) = .735727856806597, (16) = .8008524401122463, (17) = .86564262177287, (18) = .9193141275004441, (19) = .962648766031185, (20) = 1.0}, datatype = float[8], order = C_order); Y := Matrix(20, 8, {(1, 1) = .0, (1, 2) = 0.54921958697355426e-14, (1, 3) = 0.6971945144726081e-12, (1, 4) = .0, (1, 5) = .0, (1, 6) = -0.43901173915795137e-15, (1, 7) = 0.34206397338666417e-13, (1, 8) = .0, (2, 1) = 0.16159101392451558e-11, (2, 2) = -0.2910488654920155e-10, (2, 3) = 0.29343668194507134e-9, (2, 4) = -0.52746234622770295e-8, (2, 5) = -0.38317312087969237e-15, (2, 6) = 0.6191912109753353e-14, (2, 7) = -0.32330205877042315e-13, (2, 8) = 0.12002986289969285e-11, (3, 1) = 0.11082816477196082e-11, (3, 2) = -0.19954323132225836e-10, (3, 3) = 0.20142404534947036e-9, (3, 4) = -0.36168789827019156e-8, (3, 5) = -0.2839165693988888e-15, (3, 6) = 0.4113737202260409e-14, (3, 7) = -0.1154872384201362e-13, (3, 8) = 0.822299765052115e-12, (4, 1) = 0.41719475846940715e-12, (4, 2) = -0.7497686506563506e-11, (4, 3) = 0.7617120864179665e-10, (4, 4) = -0.13602035420107753e-8, (4, 5) = -0.1437434685413802e-15, (4, 6) = 0.12782936234106492e-14, (4, 7) = 0.168941348677072e-13, (4, 8) = 0.3079698125136499e-12, (5, 1) = 0.13923650558859692e-13, (5, 2) = -0.21789360639298075e-12, (5, 3) = 0.29619080598388565e-11, (5, 4) = -0.41273229106130374e-10, (5, 5) = -0.689483950355724e-16, (5, 6) = -0.3712059911461185e-15, (5, 7) = 0.3287001554338945e-13, (5, 8) = 0.7142831988092938e-14, (6, 1) = -0.11887081953469728e-12, (6, 2) = 0.2181574911155293e-11, (6, 3) = -0.21165079574676062e-10, (6, 4) = 0.39328156563221595e-9, (6, 5) = -0.5555013495562232e-16, (6, 6) = -0.9156409590765567e-15, (6, 7) = 0.3909957070443503e-13, (6, 8) = -0.9238113108809545e-13, (7, 1) = -0.10981983336897058e-12, (7, 2) = 0.2018815376829209e-11, (7, 3) = -0.1954262834860141e-10, (7, 4) = 0.36391587748853606e-9, (7, 5) = -0.7708198818376909e-16, (7, 6) = -0.8684724152113567e-15, (7, 7) = 0.3828072164621264e-13, (7, 8) = -0.8621219818025532e-13, (8, 1) = -0.51928037868150286e-13, (8, 2) = 0.9956236333146792e-12, (8, 3) = -0.9242118263766255e-11, (8, 4) = 0.17815059148408043e-9, (8, 5) = -0.10932975415608019e-15, (8, 6) = -0.6131828261941697e-15, (8, 7) = 0.35726291036328094e-13, (8, 8) = -0.4451876658530887e-13, (9, 1) = -0.11934647247503647e-13, (9, 2) = 0.2919013993135085e-12, (9, 3) = -0.21617366350736754e-11, (9, 4) = 0.50396331234513934e-10, (9, 5) = -0.14163944555659412e-15, (9, 6) = -0.43309790752421276e-15, (9, 7) = 0.33526617419600833e-13, (9, 8) = -0.15977501436125068e-13, (10, 1) = 0.13208565425087037e-13, (10, 2) = -0.15847081725218992e-12, (10, 3) = 0.23433741039779506e-11, (10, 4) = -0.30905908745303125e-10, (10, 5) = -0.1645286662794927e-15, (10, 6) = -0.30592753539955245e-15, (10, 7) = 0.3235382123063574e-13, (10, 8) = 0.1805123485773834e-14, (11, 1) = 0.24662050447747244e-13, (11, 2) = -0.348217579068914e-12, (11, 3) = 0.4252113349225012e-11, (11, 4) = -0.6548857761160066e-10, (11, 5) = -0.19069119744849192e-15, (11, 6) = -0.2229445125034585e-15, (11, 7) = 0.3159759815944996e-13, (11, 8) = 0.9118422876938472e-14, (12, 1) = 0.24412668985452177e-13, (12, 2) = -0.289615699395915e-12, (12, 3) = 0.3693497847284046e-11, (12, 4) = -0.55649601014791604e-10, (12, 5) = -0.20811228401461676e-15, (12, 6) = -0.20302969110054756e-15, (12, 7) = 0.3146938732935611e-13, (12, 8) = 0.6333671614220484e-14, (13, 1) = 0.16772863021394482e-13, (13, 2) = -0.14137062143252341e-12, (13, 3) = 0.22119587057540023e-11, (13, 4) = -0.2911546303193717e-10, (13, 5) = -0.22135177034835522e-15, (13, 6) = -0.1919011244926562e-15, (13, 7) = 0.313829439892334e-13, (13, 8) = -0.13124019358286128e-15, (14, 1) = 0.8888427881511362e-14, (14, 2) = -0.25644348402156826e-13, (14, 3) = 0.1038517183671305e-11, (14, 4) = -0.816383160602506e-11, (14, 5) = -0.237026551948315e-15, (14, 6) = -0.17717604167912409e-15, (14, 7) = 0.3093352931564503e-13, (14, 8) = -0.5382408456860633e-14, (15, 1) = 0.7989585360263331e-14, (15, 2) = 0.27612580403612908e-13, (15, 3) = 0.4947999069557425e-12, (15, 4) = 0.1467568749646379e-11, (15, 5) = -0.24412295270340337e-15, (15, 6) = -0.14197651938089092e-15, (15, 7) = 0.31309528643974336e-13, (15, 8) = -0.8056805930570116e-14, (16, 1) = 0.9186964558409105e-14, (16, 2) = 0.4204420118148477e-13, (16, 3) = 0.35899768072547627e-12, (16, 4) = 0.3749578049851486e-11, (16, 5) = -0.2537554369447278e-15, (16, 6) = -0.9374741380831715e-16, (16, 7) = 0.3030370303112566e-13, (16, 8) = -0.8941309983947672e-14, (17, 1) = 0.10294217293009357e-13, (17, 2) = 0.37859937634768925e-13, (17, 3) = 0.3802183409528524e-12, (17, 4) = 0.32030841980451587e-11, (17, 5) = -0.25842630306577263e-15, (17, 6) = -0.39588189166863215e-16, (17, 7) = 0.2956930217335054e-13, (17, 8) = -0.9281966687242097e-14, (18, 1) = 0.11550213210690431e-13, (18, 2) = 0.41499788926915666e-13, (18, 3) = 0.36400302648677843e-12, (18, 4) = 0.3360796387690797e-11, (18, 5) = -0.25635721424309254e-15, (18, 6) = 0.66616290353902806e-17, (18, 7) = 0.2936138977674041e-13, (18, 8) = -0.9613957399795097e-14, (19, 1) = 0.13341105163441855e-13, (19, 2) = 0.3470091884239306e-13, (19, 3) = 0.43968048941247553e-12, (19, 4) = 0.1889434514139951e-11, (19, 5) = -0.2556973949581726e-15, (19, 6) = 0.4783464565165763e-16, (19, 7) = 0.2855046859214614e-13, (19, 8) = -0.955900033645097e-14, (20, 1) = 0.13499379198063885e-13, (20, 2) = 0.2766855175360778e-13, (20, 3) = 0.4862191357662044e-12, (20, 4) = 0.9713572994339805e-12, (20, 5) = -0.2519797692991319e-15, (20, 6) = 0.833067897759525e-16, (20, 7) = 0.2873313748899571e-13, (20, 8) = -0.95849608628296e-14}, datatype = float[8], order = C_order); if not type(outpoint, 'numeric') then if outpoint = "start" or outpoint = "left" then return X[1] elif outpoint = "right" then return X[20] elif outpoint = "order" then return 8 elif outpoint = "error" then return 0.527462346227703e-8 elif outpoint = "errorproc" then error "this is already the error procedure" elif outpoint = "rawdata" then return [8, 20, [Phi(Y), diff(Phi(Y), Y), Theta(Y), diff(Theta(Y), Y), U(Y), diff(U(Y), Y), W(Y), diff(W(Y), Y)], X, Y] else return ('procname')(x_bvp) end if end if; if outpoint < X[1] or X[20] < outpoint then error "solution is only defined in the range %1..%2", X[1], X[20] end if; V := array([1 = 4, 2 = 0]); if Digits <= trunc(evalhf(Digits)) then L := Vector(4, 'datatype' = 'float'[8]); yout := Vector(8, 'datatype' = 'float'[8]); evalhf(`dsolve/numeric/lagrange`(20, 8, X, Y, outpoint, var(yout), var(L), var(V))) else L := Vector(4, 'datatype' = 'sfloat'); yout := Vector(8, 'datatype' = 'sfloat'); `dsolve/numeric/lagrange`(20, 8, X, Y, outpoint, yout, L, V) end if; [Y = outpoint, seq('[Phi(Y), diff(Phi(Y), Y), Theta(Y), diff(Theta(Y), Y), U(Y), diff(U(Y), Y), W(Y), diff(W(Y), Y)]'[i] = yout[i], i = 1 .. 8)] end proc; if not type(outpoint, 'numeric') then if outpoint = "start" or outpoint = "left" then return X[1] elif outpoint = "method" then return "bvp" elif outpoint = "right" then return X[20] elif outpoint = "order" then return 8 elif outpoint = "error" then return 0.527462346227703e-8 elif outpoint = "errorproc" then return eval(errproc) elif outpoint = "rawdata" then return [8, 20, "depnames", X, Y, YP] else error "non-numeric value" end if end if; if outpoint < X[1] or X[20] < outpoint then error "solution is only defined in the range %1..%2", X[1], X[20] end if; if Digits <= trunc(evalhf(Digits)) and (_EnvInFsolve <> true or _EnvDSNumericSaveDigits <= trunc(evalhf(Digits))) then V := array( 1 .. 6, [( 1 ) = (7), ( 2 ) = (0), ( 3 ) = (false), ( 4 ) = (false), ( 5 ) = (false), ( 6 ) = (false)  ] ); L := Matrix(7, 2, {(1, 1) = .0, (1, 2) = .0, (2, 1) = .0, (2, 2) = .0, (3, 1) = .0, (3, 2) = .0, (4, 1) = .0, (4, 2) = .0, (5, 1) = .0, (5, 2) = .0, (6, 1) = .0, (6, 2) = .0, (7, 1) = .0, (7, 2) = .0}, datatype = float[8], order = C_order); yout := Vector(8, {(1) = .0, (2) = .0, (3) = .0, (4) = .0, (5) = .0, (6) = .0, (7) = .0, (8) = .0}, datatype = float[8]); evalhf(`dsolve/numeric/hermite`(20, 8, X, Y, YP, outpoint, var(yout), var(L), var(V))) else if _EnvInFsolve = true then Digits := _EnvDSNumericSaveDigits end if; V := array( 1 .. 6, [( 1 ) = (7), ( 2 ) = (0), ( 3 ) = (false), ( 4 ) = (false), ( 5 ) = (false), ( 6 ) = (false)  ] ); L := Matrix(7, 2, {(1, 1) = 0., (1, 2) = 0., (2, 1) = 0., (2, 2) = 0., (3, 1) = 0., (3, 2) = 0., (4, 1) = 0., (4, 2) = 0., (5, 1) = 0., (5, 2) = 0., (6, 1) = 0., (6, 2) = 0., (7, 1) = 0., (7, 2) = 0.}, order = C_order); yout := Vector(8, {(1) = 0., (2) = 0., (3) = 0., (4) = 0., (5) = 0., (6) = 0., (7) = 0., (8) = 0.}); `dsolve/numeric/hermite`(20, 8, X, Y, YP, outpoint, yout, L, V) end if; [outpoint, seq(yout[i], i = 1 .. 8)] end proc, (2) = Array(1..9, {(1) = 18446744078205204806, (2) = 18446744078205205334, (3) = 18446744078205205510, (4) = 18446744078205205686, (5) = 18446744078205205862, (6) = 18446744078205206038, (7) = 18446744078205210622, (8) = 18446744078205212030, (9) = 18446744078205214806}), (3) = [Y, Phi(Y), diff(Phi(Y), Y), Theta(Y), diff(Theta(Y), Y), U(Y), diff(U(Y), Y), W(Y), diff(W(Y), Y)], (4) = 0}); solnproc := data[1]; if not type(outpoint, 'numeric') then if outpoint = "solnprocedure" then return eval(solnproc) elif member(outpoint, ["start", "left", "right", "errorproc", "rawdata", "order", "error"]) then return solnproc(Y) elif outpoint = "sysvars" then return data[3] elif procname <> unknown then return ('procname')(Y) else `diff(Theta(Y),Y)` := pointto(data[2][5]); return ('`diff(Theta(Y),Y)`')(Y) end if end if; try res := solnproc(outpoint); res[5] catch: error  end try end proc, U(Y) = proc (Y) local res, data, solnproc, `U(Y)`, outpoint; option `Copyright (c) 2000 by Waterloo Maple Inc. All rights reserved.`; _EnvDSNumericSaveDigits := Digits; Digits := 15; if _EnvInFsolve = true then outpoint := evalf[_EnvDSNumericSaveDigits](Y) else outpoint := evalf(Y) end if; data := Array(1..4, {(1) = proc (outpoint) local X, Y, YP, yout, errproc, L, V, i; option `Copyright (c) 2000 by Waterloo Maple Inc. All rights reserved.`; X := Vector(20, {(1) = .0, (2) = 0.35719097960602804e-1, (3) = 0.7275276815367403e-1, (4) = .11125780726700532, (5) = .15145014267940804, (6) = .19444503533587412, (7) = .24143614849513576, (8) = .2937559435180791, (9) = .3505250574913286, (10) = .4110930653557727, (11) = .4751191880069268, (12) = .5398972580085897, (13) = .6051900309982151, (14) = .6704942680985273, (15) = .735727856806597, (16) = .8008524401122463, (17) = .86564262177287, (18) = .9193141275004441, (19) = .962648766031185, (20) = 1.0}, datatype = float[8], order = C_order); Y := Matrix(20, 8, {(1, 1) = .0, (1, 2) = 2.0053251936081944, (1, 3) = 1.459449488576314, (1, 4) = .0, (1, 5) = .0, (1, 6) = -0.5612973334711832e-2, (1, 7) = .45438512050371493, (1, 8) = .0, (2, 1) = 0.7176776742213782e-1, (2, 2) = 2.0134023775287604, (2, 3) = 1.4504454167927874, (2, 4) = -.45537569238094155, (2, 5) = -0.20071098719062178e-3, (2, 6) = -0.5621503550492427e-2, (2, 7) = .4542697116743303, (2, 8) = -0.643170315469985e-2, (3, 1) = .14650749204991942, (3, 2) = 2.0230651157366997, (3, 3) = 1.4285577593411758, (3, 4) = -.6993519698563813, (3, 5) = -0.40869111321034733e-3, (3, 6) = -0.5606444098831052e-2, (3, 7) = .4539111370316967, (3, 8) = -0.12897383107368028e-1, (4, 1) = .22461147400584763, (4, 2) = 2.0338411534786576, (4, 3) = 1.398901363877521, (4, 4) = -.8260054974367521, (4, 5) = -0.6238642222587452e-3, (4, 6) = -0.55657238487568815e-2, (4, 7) = .45328876142190666, (4, 8) = -0.1939049275956177e-1, (5, 1) = .3065896273527975, (5, 2) = 2.0455010701918805, (5, 3) = 1.3642803500922391, (5, 4) = -.8886173875803364, (5, 5) = -0.8462678436774964e-3, (5, 6) = -0.5496822376964125e-2, (5, 7) = .4523773430825606, (5, 8) = -0.25920924202723607e-1, (6, 1) = .3948083998129553, (6, 2) = 2.0582142969946084, (6, 3) = 1.3253668545251265, (6, 4) = -.9170292649927623, (6, 5) = -0.10805033940007663e-2, (6, 6) = -0.5394261634780204e-2, (6, 7) = .4511175001103978, (6, 8) = -0.32638394195837514e-1, (7, 1) = .49185567682557213, (7, 2) = 2.072256296552187, (7, 3) = 1.281994135961963, (7, 4) = -.9264685482085676, (7, 5) = -0.13307107526425452e-2, (7, 6) = -0.5249243795647192e-2, (7, 7) = .44941711436042603, (7, 8) = -0.3968205092935408e-1, (8, 1) = .6006868709925981, (8, 2) = 2.087986026940522, (8, 3) = 1.2335280262456318, (8, 4) = -.9248176392470497, (8, 5) = -0.16002824214905727e-2, (8, 6) = -0.5048806225355029e-2, (8, 7) = .44714316698865636, (8, 8) = -0.4718601026820781e-1, (9, 1) = .7197059916406936, (9, 2) = 2.1051163426550845, (9, 3) = 1.1812439897480995, (9, 4) = -.9163988595413346, (9, 5) = -0.1879672842327696e-2, (9, 6) = -0.4786632705167547e-2, (9, 7) = .44424204136594453, (9, 8) = -0.5496153962800083e-1, (10, 1) = .847763297944333, (10, 2) = 2.123435337834906, (10, 3) = 1.126111344253534, (10, 4) = -.9036455603483291, (10, 5) = -0.21598771781540984e-2, (10, 6) = -0.4457593823292657e-2, (10, 7) = .4406714482113693, (10, 8) = -0.6288112123455601e-1, (11, 1) = .9843393499550938, (11, 2) = 2.1428285542537844, (11, 3) = 1.0687552320755083, (11, 4) = -.8876468667624571, (11, 5) = -0.24327255396754594e-2, (11, 6) = -0.4056474806134682e-2, (11, 7) = .4363874096782681, (11, 8) = -0.708810134362007e-1, (12, 1) = 1.1237836093097533, (12, 2) = 2.1624652853041466, (12, 3) = 1.011832180926541, (12, 4) = -.8695451341011282, (12, 5) = -0.2680896493999921e-2, (12, 6) = -0.3596845896471083e-2, (12, 7) = .43154294962730755, (12, 8) = -0.7863768804042866e-1, (13, 1) = 1.2656232819456894, (13, 2) = 2.182262739970384, (13, 3) = .9556973069001019, (13, 4) = -.8496857938539728, (13, 5) = -0.28991737520459543e-2, (13, 6) = -0.308051138535623e-2, (13, 7) = .42616132725811307, (13, 8) = -0.8616326952785293e-1, (14, 1) = 1.408780712702396, (14, 2) = 2.202058530406396, (14, 3) = .9008968332966889, (14, 4) = -.8284046501288216, (14, 5) = -0.3082067319124229e-2, (14, 6) = -0.2512223889450374e-2, (14, 7) = .4202955587319762, (14, 8) = -0.9344382370597953e-1, (15, 1) = 1.5530735139719447, (15, 2) = 2.2218189937848294, (15, 3) = .8475850007819113, (15, 4) = -.8058880695807592, (15, 5) = -0.32260533892462394e-2, (15, 6) = -0.18938930243389903e-2, (15, 7) = .41396826401074016, (15, 8) = -.10051502209225827, (16, 1) = 1.698410351647586, (16, 2) = 2.2415247347014464, (16, 3) = .7958644292913738, (16, 4) = -.7822956883101383, (16, 5) = -0.3327942234282917e-2, (16, 6) = -0.1226938539977064e-2, (16, 7) = .4071968303220844, (16, 8) = -.10741495835348656, (17, 1) = 1.844273487156983, (17, 2) = 2.2611008629453613, (17, 3) = .7459662823616324, (17, 4) = -.7578533262440998, (17, 5) = -0.33846255216261703e-2, (17, 6) = -0.514759129154577e-3, (17, 7) = .4000183529265164, (17, 8) = -.11415970645343881, (18, 1) = 1.9660647808809397, (18, 2) = 2.2772916881728023, (18, 3) = .7058493238111733, (18, 4) = -.7369636984802895, (18, 5) = -0.33955895702907526e-2, (18, 6) = 0.11169791160924508e-3, (18, 7) = .3937428184702135, (18, 8) = -.11968211404294021, (19, 1) = 2.0650332867510306, (19, 2) = 2.2903449057162386, (19, 3) = .6742856542468953, (19, 4) = -.7197253946637352, (19, 5) = -0.3379345969243999e-2, (19, 6) = 0.6415663100252571e-3, (19, 7) = .3884603780871002, (19, 8) = -.1241121401831915, (20, 1) = 2.1507903764298955, (20, 2) = 2.3015807528597905, (20, 3) = .6476842724902494, (20, 4) = -.7046314550195008, (20, 5) = -0.33465809221206125e-2, (20, 6) = 0.11155269740402043e-2, (20, 7) = .38375353649407395, (20, 8) = -.12791784549802465}, datatype = float[8], order = C_order); YP := Matrix(20, 8, {(1, 1) = 2.0053251936081944, (1, 2) = .20053251936081945, (1, 3) = .0, (1, 4) = -17.312630624062646, (1, 5) = -0.5612973334711832e-2, (1, 6) = -0.5612973334711833e-3, (1, 7) = .0, (1, 8) = -.18253803495142387, (2, 1) = 2.0134023775287604, (2, 2) = .2468778069909702, (2, 3) = -.45537569238094155, (2, 4) = -9.061708006510269, (2, 5) = -0.5621503550492427e-2, (2, 6) = 0.8101996042074228e-4, (2, 7) = -0.643170315469985e-2, (2, 8) = -.17745738418826795, (3, 1) = 2.0230651157366997, (3, 2) = .27224170855930807, (3, 3) = -.6993519698563813, (3, 4) = -4.603982074336188, (3, 5) = -0.5606444098831052e-2, (3, 6) = 0.7290939008536977e-3, (3, 7) = -0.12897383107368028e-1, (3, 8) = -.1716797927099076, (4, 1) = 2.0338411534786576, (4, 2) = .28598466509154097, (4, 3) = -.8260054974367521, (4, 4) = -2.2429513477533867, (4, 5) = -0.55657238487568815e-2, (4, 6) = 0.1382476891080489e-2, (4, 7) = -0.1939049275956177e-1, (4, 8) = -.16559199463104318, (5, 1) = 2.0455010701918805, (5, 2) = .29341184577722174, (5, 3) = -.8886173875803364, (5, 4) = -1.0167952207811748, (5, 5) = -0.5496822376964125e-2, (5, 6) = 0.20424101825759484e-2, (5, 7) = -0.25920924202723607e-1, (5, 8) = -.1594098341596127, (6, 1) = 2.0582142969946084, (6, 2) = .29752435619873707, (6, 3) = -.9170292649927623, (6, 4) = -.3830211788724602, (6, 5) = -0.5394261634780204e-2, (6, 6) = 0.2724413256105731e-2, (6, 7) = -0.32638394195837514e-1, (6, 8) = -.15313238968077217, (7, 1) = 2.072256296552187, (7, 2) = .2998724844760755, (7, 3) = -.9264685482085676, (7, 4) = -0.60460912944764036e-1, (7, 5) = -0.5249243795647192e-2, (7, 6) = 0.3443280713370689e-2, (7, 7) = -0.3968205092935408e-1, (7, 8) = -.14673837885869348, (8, 1) = 2.087986026940522, (8, 2) = .30128036661875723, (8, 3) = -.9248176392470497, (8, 4) = .10219738914667098, (8, 5) = -0.5048806225355029e-2, (8, 6) = 0.4213720404285278e-2, (8, 7) = -0.4718601026820781e-1, (8, 8) = -.14021601066572284, (9, 1) = 2.1051163426550845, (9, 2) = .3021515202196419, (9, 3) = -.9163988595413346, (9, 4) = .18477369158772106, (9, 5) = -0.4786632705167547e-2, (9, 6) = 0.5017490692283328e-2, (9, 7) = -0.5496153962800083e-1, (9, 8) = -.1338382357784468, (10, 1) = 2.123435337834906, (10, 2) = .30270808981832353, (10, 3) = -.9036455603483291, (10, 4) = .2323220188969241, (10, 5) = -0.4457593823292657e-2, (10, 6) = 0.5842352741126336e-2, (10, 7) = -0.6288112123455601e-1, (10, 8) = -.12780046682246987, (11, 1) = 2.1428285542537844, (11, 2) = .30304754210162416, (11, 3) = -.8876468667624571, (11, 4) = .2657246916082982, (11, 5) = -0.4056474806134682e-2, (11, 6) = 0.6682453863006602e-2, (11, 7) = -0.708810134362007e-1, (11, 8) = -.12222857720286623, (12, 1) = 2.1624652853041466, (12, 2) = .3032010419405275, (12, 3) = -.8695451341011282, (12, 4) = .29236487799593064, (12, 5) = -0.3596845896471083e-2, (12, 6) = 0.75040842143957575e-2, (12, 7) = -0.7863768804042866e-1, (12, 8) = -.11738445926466252, (13, 1) = 2.182262739970384, (13, 2) = .3031948533824357, (13, 3) = -.8496857938539728, (13, 4) = .3154535977139292, (13, 5) = -0.308051138535623e-2, (13, 6) = 0.8308275814249672e-2, (13, 7) = -0.8616326952785293e-1, (13, 8) = -.11325535903762853, (14, 1) = 2.202058530406396, (14, 2) = .3030463180535218, (14, 3) = -.8284046501288216, (14, 4) = .33590310410426294, (14, 5) = -0.2512223889450374e-2, (14, 6) = 0.9093159981652915e-2, (14, 7) = -0.9344382370597953e-1, (14, 8) = -.10983176344252321, (15, 1) = 2.2218189937848294, (15, 2) = .3027707063365589, (15, 3) = -.8058880695807592, (15, 4) = .3540740832535115, (15, 5) = -0.18938930243389903e-2, (15, 6) = 0.9862112906791929e-2, (15, 7) = -.10051502209225827, (15, 8) = -.1070705229055163, (16, 1) = 2.2415247347014464, (16, 2) = .3023820423011585, (16, 3) = -.7822956883101383, (16, 4) = .370114372923692, (16, 5) = -0.1226938539977064e-2, (16, 6) = 0.1061880198135095e-1, (16, 7) = -.10741495835348656, (16, 8) = -.10492796929864943, (17, 1) = 2.2611008629453613, (17, 2) = .3018954189189461, (17, 3) = -.7578533262440998, (17, 4) = .3840645990962983, (17, 5) = -0.514759129154577e-3, (17, 6) = 0.11364494732428424e-1, (17, 7) = -.11415970645343881, (17, 8) = -.10336653995058015, (18, 1) = 2.2772916881728023, (18, 2) = .3014255386653092, (18, 3) = -.7369636984802895, (18, 4) = .3941389673270303, (18, 5) = 0.11169791160924508e-3, (18, 6) = 0.11979381195454946e-1, (18, 7) = -.11968211404294021, (18, 8) = -.10247828836869974, (19, 1) = 2.2903449057162386, (19, 2) = .3010070300379974, (19, 3) = -.7197253946637352, (19, 4) = .4013082879540461, (19, 5) = 0.6415663100252571e-3, (19, 6) = 0.12475370649321676e-1, (19, 7) = -.1241121401831915, (19, 8) = -.10201522027713918, (20, 1) = 2.3015807528597905, (20, 2) = .30062122078792913, (20, 3) = -.7046314550195008, (20, 4) = .4068028054072272, (20, 5) = 0.11155269740402043e-2, (20, 6) = 0.12903337247206487e-1, (20, 7) = -.12791784549802465, (20, 8) = -.1017905260964087}, datatype = float[8], order = C_order); errproc := proc (x_bvp) local outpoint, X, Y, yout, L, V, i; option `Copyright (c) 2000 by Waterloo Maple Inc. All rights reserved.`; Digits := 15; outpoint := evalf(x_bvp); X := Vector(20, {(1) = .0, (2) = 0.35719097960602804e-1, (3) = 0.7275276815367403e-1, (4) = .11125780726700532, (5) = .15145014267940804, (6) = .19444503533587412, (7) = .24143614849513576, (8) = .2937559435180791, (9) = .3505250574913286, (10) = .4110930653557727, (11) = .4751191880069268, (12) = .5398972580085897, (13) = .6051900309982151, (14) = .6704942680985273, (15) = .735727856806597, (16) = .8008524401122463, (17) = .86564262177287, (18) = .9193141275004441, (19) = .962648766031185, (20) = 1.0}, datatype = float[8], order = C_order); Y := Matrix(20, 8, {(1, 1) = .0, (1, 2) = 0.54921958697355426e-14, (1, 3) = 0.6971945144726081e-12, (1, 4) = .0, (1, 5) = .0, (1, 6) = -0.43901173915795137e-15, (1, 7) = 0.34206397338666417e-13, (1, 8) = .0, (2, 1) = 0.16159101392451558e-11, (2, 2) = -0.2910488654920155e-10, (2, 3) = 0.29343668194507134e-9, (2, 4) = -0.52746234622770295e-8, (2, 5) = -0.38317312087969237e-15, (2, 6) = 0.6191912109753353e-14, (2, 7) = -0.32330205877042315e-13, (2, 8) = 0.12002986289969285e-11, (3, 1) = 0.11082816477196082e-11, (3, 2) = -0.19954323132225836e-10, (3, 3) = 0.20142404534947036e-9, (3, 4) = -0.36168789827019156e-8, (3, 5) = -0.2839165693988888e-15, (3, 6) = 0.4113737202260409e-14, (3, 7) = -0.1154872384201362e-13, (3, 8) = 0.822299765052115e-12, (4, 1) = 0.41719475846940715e-12, (4, 2) = -0.7497686506563506e-11, (4, 3) = 0.7617120864179665e-10, (4, 4) = -0.13602035420107753e-8, (4, 5) = -0.1437434685413802e-15, (4, 6) = 0.12782936234106492e-14, (4, 7) = 0.168941348677072e-13, (4, 8) = 0.3079698125136499e-12, (5, 1) = 0.13923650558859692e-13, (5, 2) = -0.21789360639298075e-12, (5, 3) = 0.29619080598388565e-11, (5, 4) = -0.41273229106130374e-10, (5, 5) = -0.689483950355724e-16, (5, 6) = -0.3712059911461185e-15, (5, 7) = 0.3287001554338945e-13, (5, 8) = 0.7142831988092938e-14, (6, 1) = -0.11887081953469728e-12, (6, 2) = 0.2181574911155293e-11, (6, 3) = -0.21165079574676062e-10, (6, 4) = 0.39328156563221595e-9, (6, 5) = -0.5555013495562232e-16, (6, 6) = -0.9156409590765567e-15, (6, 7) = 0.3909957070443503e-13, (6, 8) = -0.9238113108809545e-13, (7, 1) = -0.10981983336897058e-12, (7, 2) = 0.2018815376829209e-11, (7, 3) = -0.1954262834860141e-10, (7, 4) = 0.36391587748853606e-9, (7, 5) = -0.7708198818376909e-16, (7, 6) = -0.8684724152113567e-15, (7, 7) = 0.3828072164621264e-13, (7, 8) = -0.8621219818025532e-13, (8, 1) = -0.51928037868150286e-13, (8, 2) = 0.9956236333146792e-12, (8, 3) = -0.9242118263766255e-11, (8, 4) = 0.17815059148408043e-9, (8, 5) = -0.10932975415608019e-15, (8, 6) = -0.6131828261941697e-15, (8, 7) = 0.35726291036328094e-13, (8, 8) = -0.4451876658530887e-13, (9, 1) = -0.11934647247503647e-13, (9, 2) = 0.2919013993135085e-12, (9, 3) = -0.21617366350736754e-11, (9, 4) = 0.50396331234513934e-10, (9, 5) = -0.14163944555659412e-15, (9, 6) = -0.43309790752421276e-15, (9, 7) = 0.33526617419600833e-13, (9, 8) = -0.15977501436125068e-13, (10, 1) = 0.13208565425087037e-13, (10, 2) = -0.15847081725218992e-12, (10, 3) = 0.23433741039779506e-11, (10, 4) = -0.30905908745303125e-10, (10, 5) = -0.1645286662794927e-15, (10, 6) = -0.30592753539955245e-15, (10, 7) = 0.3235382123063574e-13, (10, 8) = 0.1805123485773834e-14, (11, 1) = 0.24662050447747244e-13, (11, 2) = -0.348217579068914e-12, (11, 3) = 0.4252113349225012e-11, (11, 4) = -0.6548857761160066e-10, (11, 5) = -0.19069119744849192e-15, (11, 6) = -0.2229445125034585e-15, (11, 7) = 0.3159759815944996e-13, (11, 8) = 0.9118422876938472e-14, (12, 1) = 0.24412668985452177e-13, (12, 2) = -0.289615699395915e-12, (12, 3) = 0.3693497847284046e-11, (12, 4) = -0.55649601014791604e-10, (12, 5) = -0.20811228401461676e-15, (12, 6) = -0.20302969110054756e-15, (12, 7) = 0.3146938732935611e-13, (12, 8) = 0.6333671614220484e-14, (13, 1) = 0.16772863021394482e-13, (13, 2) = -0.14137062143252341e-12, (13, 3) = 0.22119587057540023e-11, (13, 4) = -0.2911546303193717e-10, (13, 5) = -0.22135177034835522e-15, (13, 6) = -0.1919011244926562e-15, (13, 7) = 0.313829439892334e-13, (13, 8) = -0.13124019358286128e-15, (14, 1) = 0.8888427881511362e-14, (14, 2) = -0.25644348402156826e-13, (14, 3) = 0.1038517183671305e-11, (14, 4) = -0.816383160602506e-11, (14, 5) = -0.237026551948315e-15, (14, 6) = -0.17717604167912409e-15, (14, 7) = 0.3093352931564503e-13, (14, 8) = -0.5382408456860633e-14, (15, 1) = 0.7989585360263331e-14, (15, 2) = 0.27612580403612908e-13, (15, 3) = 0.4947999069557425e-12, (15, 4) = 0.1467568749646379e-11, (15, 5) = -0.24412295270340337e-15, (15, 6) = -0.14197651938089092e-15, (15, 7) = 0.31309528643974336e-13, (15, 8) = -0.8056805930570116e-14, (16, 1) = 0.9186964558409105e-14, (16, 2) = 0.4204420118148477e-13, (16, 3) = 0.35899768072547627e-12, (16, 4) = 0.3749578049851486e-11, (16, 5) = -0.2537554369447278e-15, (16, 6) = -0.9374741380831715e-16, (16, 7) = 0.3030370303112566e-13, (16, 8) = -0.8941309983947672e-14, (17, 1) = 0.10294217293009357e-13, (17, 2) = 0.37859937634768925e-13, (17, 3) = 0.3802183409528524e-12, (17, 4) = 0.32030841980451587e-11, (17, 5) = -0.25842630306577263e-15, (17, 6) = -0.39588189166863215e-16, (17, 7) = 0.2956930217335054e-13, (17, 8) = -0.9281966687242097e-14, (18, 1) = 0.11550213210690431e-13, (18, 2) = 0.41499788926915666e-13, (18, 3) = 0.36400302648677843e-12, (18, 4) = 0.3360796387690797e-11, (18, 5) = -0.25635721424309254e-15, (18, 6) = 0.66616290353902806e-17, (18, 7) = 0.2936138977674041e-13, (18, 8) = -0.9613957399795097e-14, (19, 1) = 0.13341105163441855e-13, (19, 2) = 0.3470091884239306e-13, (19, 3) = 0.43968048941247553e-12, (19, 4) = 0.1889434514139951e-11, (19, 5) = -0.2556973949581726e-15, (19, 6) = 0.4783464565165763e-16, (19, 7) = 0.2855046859214614e-13, (19, 8) = -0.955900033645097e-14, (20, 1) = 0.13499379198063885e-13, (20, 2) = 0.2766855175360778e-13, (20, 3) = 0.4862191357662044e-12, (20, 4) = 0.9713572994339805e-12, (20, 5) = -0.2519797692991319e-15, (20, 6) = 0.833067897759525e-16, (20, 7) = 0.2873313748899571e-13, (20, 8) = -0.95849608628296e-14}, datatype = float[8], order = C_order); if not type(outpoint, 'numeric') then if outpoint = "start" or outpoint = "left" then return X[1] elif outpoint = "right" then return X[20] elif outpoint = "order" then return 8 elif outpoint = "error" then return 0.527462346227703e-8 elif outpoint = "errorproc" then error "this is already the error procedure" elif outpoint = "rawdata" then return [8, 20, [Phi(Y), diff(Phi(Y), Y), Theta(Y), diff(Theta(Y), Y), U(Y), diff(U(Y), Y), W(Y), diff(W(Y), Y)], X, Y] else return ('procname')(x_bvp) end if end if; if outpoint < X[1] or X[20] < outpoint then error "solution is only defined in the range %1..%2", X[1], X[20] end if; V := array([1 = 4, 2 = 0]); if Digits <= trunc(evalhf(Digits)) then L := Vector(4, 'datatype' = 'float'[8]); yout := Vector(8, 'datatype' = 'float'[8]); evalhf(`dsolve/numeric/lagrange`(20, 8, X, Y, outpoint, var(yout), var(L), var(V))) else L := Vector(4, 'datatype' = 'sfloat'); yout := Vector(8, 'datatype' = 'sfloat'); `dsolve/numeric/lagrange`(20, 8, X, Y, outpoint, yout, L, V) end if; [Y = outpoint, seq('[Phi(Y), diff(Phi(Y), Y), Theta(Y), diff(Theta(Y), Y), U(Y), diff(U(Y), Y), W(Y), diff(W(Y), Y)]'[i] = yout[i], i = 1 .. 8)] end proc; if not type(outpoint, 'numeric') then if outpoint = "start" or outpoint = "left" then return X[1] elif outpoint = "method" then return "bvp" elif outpoint = "right" then return X[20] elif outpoint = "order" then return 8 elif outpoint = "error" then return 0.527462346227703e-8 elif outpoint = "errorproc" then return eval(errproc) elif outpoint = "rawdata" then return [8, 20, "depnames", X, Y, YP] else error "non-numeric value" end if end if; if outpoint < X[1] or X[20] < outpoint then error "solution is only defined in the range %1..%2", X[1], X[20] end if; if Digits <= trunc(evalhf(Digits)) and (_EnvInFsolve <> true or _EnvDSNumericSaveDigits <= trunc(evalhf(Digits))) then V := array( 1 .. 6, [( 1 ) = (7), ( 2 ) = (0), ( 3 ) = (false), ( 4 ) = (false), ( 5 ) = (false), ( 6 ) = (false)  ] ); L := Matrix(7, 2, {(1, 1) = .0, (1, 2) = .0, (2, 1) = .0, (2, 2) = .0, (3, 1) = .0, (3, 2) = .0, (4, 1) = .0, (4, 2) = .0, (5, 1) = .0, (5, 2) = .0, (6, 1) = .0, (6, 2) = .0, (7, 1) = .0, (7, 2) = .0}, datatype = float[8], order = C_order); yout := Vector(8, {(1) = .0, (2) = .0, (3) = .0, (4) = .0, (5) = .0, (6) = .0, (7) = .0, (8) = .0}, datatype = float[8]); evalhf(`dsolve/numeric/hermite`(20, 8, X, Y, YP, outpoint, var(yout), var(L), var(V))) else if _EnvInFsolve = true then Digits := _EnvDSNumericSaveDigits end if; V := array( 1 .. 6, [( 1 ) = (7), ( 2 ) = (0), ( 3 ) = (false), ( 4 ) = (false), ( 5 ) = (false), ( 6 ) = (false)  ] ); L := Matrix(7, 2, {(1, 1) = 0., (1, 2) = 0., (2, 1) = 0., (2, 2) = 0., (3, 1) = 0., (3, 2) = 0., (4, 1) = 0., (4, 2) = 0., (5, 1) = 0., (5, 2) = 0., (6, 1) = 0., (6, 2) = 0., (7, 1) = 0., (7, 2) = 0.}, order = C_order); yout := Vector(8, {(1) = 0., (2) = 0., (3) = 0., (4) = 0., (5) = 0., (6) = 0., (7) = 0., (8) = 0.}); `dsolve/numeric/hermite`(20, 8, X, Y, YP, outpoint, yout, L, V) end if; [outpoint, seq(yout[i], i = 1 .. 8)] end proc, (2) = Array(1..9, {(1) = 18446744078205204806, (2) = 18446744078205205334, (3) = 18446744078205205510, (4) = 18446744078205205686, (5) = 18446744078205205862, (6) = 18446744078205206038, (7) = 18446744078205210622, (8) = 18446744078205212030, (9) = 18446744078205214806}), (3) = [Y, Phi(Y), diff(Phi(Y), Y), Theta(Y), diff(Theta(Y), Y), U(Y), diff(U(Y), Y), W(Y), diff(W(Y), Y)], (4) = 0}); solnproc := data[1]; if not type(outpoint, 'numeric') then if outpoint = "solnprocedure" then return eval(solnproc) elif member(outpoint, ["start", "left", "right", "errorproc", "rawdata", "order", "error"]) then return solnproc(Y) elif outpoint = "sysvars" then return data[3] elif procname <> unknown then return ('procname')(Y) else `U(Y)` := pointto(data[2][6]); return ('`U(Y)`')(Y) end if end if; try res := solnproc(outpoint); res[6] catch: error  end try end proc, diff(U(Y), Y) = proc (Y) local res, data, solnproc, `diff(U(Y),Y)`, outpoint; option `Copyright (c) 2000 by Waterloo Maple Inc. All rights reserved.`; _EnvDSNumericSaveDigits := Digits; Digits := 15; if _EnvInFsolve = true then outpoint := evalf[_EnvDSNumericSaveDigits](Y) else outpoint := evalf(Y) end if; data := Array(1..4, {(1) = proc (outpoint) local X, Y, YP, yout, errproc, L, V, i; option `Copyright (c) 2000 by Waterloo Maple Inc. All rights reserved.`; X := Vector(20, {(1) = .0, (2) = 0.35719097960602804e-1, (3) = 0.7275276815367403e-1, (4) = .11125780726700532, (5) = .15145014267940804, (6) = .19444503533587412, (7) = .24143614849513576, (8) = .2937559435180791, (9) = .3505250574913286, (10) = .4110930653557727, (11) = .4751191880069268, (12) = .5398972580085897, (13) = .6051900309982151, (14) = .6704942680985273, (15) = .735727856806597, (16) = .8008524401122463, (17) = .86564262177287, (18) = .9193141275004441, (19) = .962648766031185, (20) = 1.0}, datatype = float[8], order = C_order); Y := Matrix(20, 8, {(1, 1) = .0, (1, 2) = 2.0053251936081944, (1, 3) = 1.459449488576314, (1, 4) = .0, (1, 5) = .0, (1, 6) = -0.5612973334711832e-2, (1, 7) = .45438512050371493, (1, 8) = .0, (2, 1) = 0.7176776742213782e-1, (2, 2) = 2.0134023775287604, (2, 3) = 1.4504454167927874, (2, 4) = -.45537569238094155, (2, 5) = -0.20071098719062178e-3, (2, 6) = -0.5621503550492427e-2, (2, 7) = .4542697116743303, (2, 8) = -0.643170315469985e-2, (3, 1) = .14650749204991942, (3, 2) = 2.0230651157366997, (3, 3) = 1.4285577593411758, (3, 4) = -.6993519698563813, (3, 5) = -0.40869111321034733e-3, (3, 6) = -0.5606444098831052e-2, (3, 7) = .4539111370316967, (3, 8) = -0.12897383107368028e-1, (4, 1) = .22461147400584763, (4, 2) = 2.0338411534786576, (4, 3) = 1.398901363877521, (4, 4) = -.8260054974367521, (4, 5) = -0.6238642222587452e-3, (4, 6) = -0.55657238487568815e-2, (4, 7) = .45328876142190666, (4, 8) = -0.1939049275956177e-1, (5, 1) = .3065896273527975, (5, 2) = 2.0455010701918805, (5, 3) = 1.3642803500922391, (5, 4) = -.8886173875803364, (5, 5) = -0.8462678436774964e-3, (5, 6) = -0.5496822376964125e-2, (5, 7) = .4523773430825606, (5, 8) = -0.25920924202723607e-1, (6, 1) = .3948083998129553, (6, 2) = 2.0582142969946084, (6, 3) = 1.3253668545251265, (6, 4) = -.9170292649927623, (6, 5) = -0.10805033940007663e-2, (6, 6) = -0.5394261634780204e-2, (6, 7) = .4511175001103978, (6, 8) = -0.32638394195837514e-1, (7, 1) = .49185567682557213, (7, 2) = 2.072256296552187, (7, 3) = 1.281994135961963, (7, 4) = -.9264685482085676, (7, 5) = -0.13307107526425452e-2, (7, 6) = -0.5249243795647192e-2, (7, 7) = .44941711436042603, (7, 8) = -0.3968205092935408e-1, (8, 1) = .6006868709925981, (8, 2) = 2.087986026940522, (8, 3) = 1.2335280262456318, (8, 4) = -.9248176392470497, (8, 5) = -0.16002824214905727e-2, (8, 6) = -0.5048806225355029e-2, (8, 7) = .44714316698865636, (8, 8) = -0.4718601026820781e-1, (9, 1) = .7197059916406936, (9, 2) = 2.1051163426550845, (9, 3) = 1.1812439897480995, (9, 4) = -.9163988595413346, (9, 5) = -0.1879672842327696e-2, (9, 6) = -0.4786632705167547e-2, (9, 7) = .44424204136594453, (9, 8) = -0.5496153962800083e-1, (10, 1) = .847763297944333, (10, 2) = 2.123435337834906, (10, 3) = 1.126111344253534, (10, 4) = -.9036455603483291, (10, 5) = -0.21598771781540984e-2, (10, 6) = -0.4457593823292657e-2, (10, 7) = .4406714482113693, (10, 8) = -0.6288112123455601e-1, (11, 1) = .9843393499550938, (11, 2) = 2.1428285542537844, (11, 3) = 1.0687552320755083, (11, 4) = -.8876468667624571, (11, 5) = -0.24327255396754594e-2, (11, 6) = -0.4056474806134682e-2, (11, 7) = .4363874096782681, (11, 8) = -0.708810134362007e-1, (12, 1) = 1.1237836093097533, (12, 2) = 2.1624652853041466, (12, 3) = 1.011832180926541, (12, 4) = -.8695451341011282, (12, 5) = -0.2680896493999921e-2, (12, 6) = -0.3596845896471083e-2, (12, 7) = .43154294962730755, (12, 8) = -0.7863768804042866e-1, (13, 1) = 1.2656232819456894, (13, 2) = 2.182262739970384, (13, 3) = .9556973069001019, (13, 4) = -.8496857938539728, (13, 5) = -0.28991737520459543e-2, (13, 6) = -0.308051138535623e-2, (13, 7) = .42616132725811307, (13, 8) = -0.8616326952785293e-1, (14, 1) = 1.408780712702396, (14, 2) = 2.202058530406396, (14, 3) = .9008968332966889, (14, 4) = -.8284046501288216, (14, 5) = -0.3082067319124229e-2, (14, 6) = -0.2512223889450374e-2, (14, 7) = .4202955587319762, (14, 8) = -0.9344382370597953e-1, (15, 1) = 1.5530735139719447, (15, 2) = 2.2218189937848294, (15, 3) = .8475850007819113, (15, 4) = -.8058880695807592, (15, 5) = -0.32260533892462394e-2, (15, 6) = -0.18938930243389903e-2, (15, 7) = .41396826401074016, (15, 8) = -.10051502209225827, (16, 1) = 1.698410351647586, (16, 2) = 2.2415247347014464, (16, 3) = .7958644292913738, (16, 4) = -.7822956883101383, (16, 5) = -0.3327942234282917e-2, (16, 6) = -0.1226938539977064e-2, (16, 7) = .4071968303220844, (16, 8) = -.10741495835348656, (17, 1) = 1.844273487156983, (17, 2) = 2.2611008629453613, (17, 3) = .7459662823616324, (17, 4) = -.7578533262440998, (17, 5) = -0.33846255216261703e-2, (17, 6) = -0.514759129154577e-3, (17, 7) = .4000183529265164, (17, 8) = -.11415970645343881, (18, 1) = 1.9660647808809397, (18, 2) = 2.2772916881728023, (18, 3) = .7058493238111733, (18, 4) = -.7369636984802895, (18, 5) = -0.33955895702907526e-2, (18, 6) = 0.11169791160924508e-3, (18, 7) = .3937428184702135, (18, 8) = -.11968211404294021, (19, 1) = 2.0650332867510306, (19, 2) = 2.2903449057162386, (19, 3) = .6742856542468953, (19, 4) = -.7197253946637352, (19, 5) = -0.3379345969243999e-2, (19, 6) = 0.6415663100252571e-3, (19, 7) = .3884603780871002, (19, 8) = -.1241121401831915, (20, 1) = 2.1507903764298955, (20, 2) = 2.3015807528597905, (20, 3) = .6476842724902494, (20, 4) = -.7046314550195008, (20, 5) = -0.33465809221206125e-2, (20, 6) = 0.11155269740402043e-2, (20, 7) = .38375353649407395, (20, 8) = -.12791784549802465}, datatype = float[8], order = C_order); YP := Matrix(20, 8, {(1, 1) = 2.0053251936081944, (1, 2) = .20053251936081945, (1, 3) = .0, (1, 4) = -17.312630624062646, (1, 5) = -0.5612973334711832e-2, (1, 6) = -0.5612973334711833e-3, (1, 7) = .0, (1, 8) = -.18253803495142387, (2, 1) = 2.0134023775287604, (2, 2) = .2468778069909702, (2, 3) = -.45537569238094155, (2, 4) = -9.061708006510269, (2, 5) = -0.5621503550492427e-2, (2, 6) = 0.8101996042074228e-4, (2, 7) = -0.643170315469985e-2, (2, 8) = -.17745738418826795, (3, 1) = 2.0230651157366997, (3, 2) = .27224170855930807, (3, 3) = -.6993519698563813, (3, 4) = -4.603982074336188, (3, 5) = -0.5606444098831052e-2, (3, 6) = 0.7290939008536977e-3, (3, 7) = -0.12897383107368028e-1, (3, 8) = -.1716797927099076, (4, 1) = 2.0338411534786576, (4, 2) = .28598466509154097, (4, 3) = -.8260054974367521, (4, 4) = -2.2429513477533867, (4, 5) = -0.55657238487568815e-2, (4, 6) = 0.1382476891080489e-2, (4, 7) = -0.1939049275956177e-1, (4, 8) = -.16559199463104318, (5, 1) = 2.0455010701918805, (5, 2) = .29341184577722174, (5, 3) = -.8886173875803364, (5, 4) = -1.0167952207811748, (5, 5) = -0.5496822376964125e-2, (5, 6) = 0.20424101825759484e-2, (5, 7) = -0.25920924202723607e-1, (5, 8) = -.1594098341596127, (6, 1) = 2.0582142969946084, (6, 2) = .29752435619873707, (6, 3) = -.9170292649927623, (6, 4) = -.3830211788724602, (6, 5) = -0.5394261634780204e-2, (6, 6) = 0.2724413256105731e-2, (6, 7) = -0.32638394195837514e-1, (6, 8) = -.15313238968077217, (7, 1) = 2.072256296552187, (7, 2) = .2998724844760755, (7, 3) = -.9264685482085676, (7, 4) = -0.60460912944764036e-1, (7, 5) = -0.5249243795647192e-2, (7, 6) = 0.3443280713370689e-2, (7, 7) = -0.3968205092935408e-1, (7, 8) = -.14673837885869348, (8, 1) = 2.087986026940522, (8, 2) = .30128036661875723, (8, 3) = -.9248176392470497, (8, 4) = .10219738914667098, (8, 5) = -0.5048806225355029e-2, (8, 6) = 0.4213720404285278e-2, (8, 7) = -0.4718601026820781e-1, (8, 8) = -.14021601066572284, (9, 1) = 2.1051163426550845, (9, 2) = .3021515202196419, (9, 3) = -.9163988595413346, (9, 4) = .18477369158772106, (9, 5) = -0.4786632705167547e-2, (9, 6) = 0.5017490692283328e-2, (9, 7) = -0.5496153962800083e-1, (9, 8) = -.1338382357784468, (10, 1) = 2.123435337834906, (10, 2) = .30270808981832353, (10, 3) = -.9036455603483291, (10, 4) = .2323220188969241, (10, 5) = -0.4457593823292657e-2, (10, 6) = 0.5842352741126336e-2, (10, 7) = -0.6288112123455601e-1, (10, 8) = -.12780046682246987, (11, 1) = 2.1428285542537844, (11, 2) = .30304754210162416, (11, 3) = -.8876468667624571, (11, 4) = .2657246916082982, (11, 5) = -0.4056474806134682e-2, (11, 6) = 0.6682453863006602e-2, (11, 7) = -0.708810134362007e-1, (11, 8) = -.12222857720286623, (12, 1) = 2.1624652853041466, (12, 2) = .3032010419405275, (12, 3) = -.8695451341011282, (12, 4) = .29236487799593064, (12, 5) = -0.3596845896471083e-2, (12, 6) = 0.75040842143957575e-2, (12, 7) = -0.7863768804042866e-1, (12, 8) = -.11738445926466252, (13, 1) = 2.182262739970384, (13, 2) = .3031948533824357, (13, 3) = -.8496857938539728, (13, 4) = .3154535977139292, (13, 5) = -0.308051138535623e-2, (13, 6) = 0.8308275814249672e-2, (13, 7) = -0.8616326952785293e-1, (13, 8) = -.11325535903762853, (14, 1) = 2.202058530406396, (14, 2) = .3030463180535218, (14, 3) = -.8284046501288216, (14, 4) = .33590310410426294, (14, 5) = -0.2512223889450374e-2, (14, 6) = 0.9093159981652915e-2, (14, 7) = -0.9344382370597953e-1, (14, 8) = -.10983176344252321, (15, 1) = 2.2218189937848294, (15, 2) = .3027707063365589, (15, 3) = -.8058880695807592, (15, 4) = .3540740832535115, (15, 5) = -0.18938930243389903e-2, (15, 6) = 0.9862112906791929e-2, (15, 7) = -.10051502209225827, (15, 8) = -.1070705229055163, (16, 1) = 2.2415247347014464, (16, 2) = .3023820423011585, (16, 3) = -.7822956883101383, (16, 4) = .370114372923692, (16, 5) = -0.1226938539977064e-2, (16, 6) = 0.1061880198135095e-1, (16, 7) = -.10741495835348656, (16, 8) = -.10492796929864943, (17, 1) = 2.2611008629453613, (17, 2) = .3018954189189461, (17, 3) = -.7578533262440998, (17, 4) = .3840645990962983, (17, 5) = -0.514759129154577e-3, (17, 6) = 0.11364494732428424e-1, (17, 7) = -.11415970645343881, (17, 8) = -.10336653995058015, (18, 1) = 2.2772916881728023, (18, 2) = .3014255386653092, (18, 3) = -.7369636984802895, (18, 4) = .3941389673270303, (18, 5) = 0.11169791160924508e-3, (18, 6) = 0.11979381195454946e-1, (18, 7) = -.11968211404294021, (18, 8) = -.10247828836869974, (19, 1) = 2.2903449057162386, (19, 2) = .3010070300379974, (19, 3) = -.7197253946637352, (19, 4) = .4013082879540461, (19, 5) = 0.6415663100252571e-3, (19, 6) = 0.12475370649321676e-1, (19, 7) = -.1241121401831915, (19, 8) = -.10201522027713918, (20, 1) = 2.3015807528597905, (20, 2) = .30062122078792913, (20, 3) = -.7046314550195008, (20, 4) = .4068028054072272, (20, 5) = 0.11155269740402043e-2, (20, 6) = 0.12903337247206487e-1, (20, 7) = -.12791784549802465, (20, 8) = -.1017905260964087}, datatype = float[8], order = C_order); errproc := proc (x_bvp) local outpoint, X, Y, yout, L, V, i; option `Copyright (c) 2000 by Waterloo Maple Inc. All rights reserved.`; Digits := 15; outpoint := evalf(x_bvp); X := Vector(20, {(1) = .0, (2) = 0.35719097960602804e-1, (3) = 0.7275276815367403e-1, (4) = .11125780726700532, (5) = .15145014267940804, (6) = .19444503533587412, (7) = .24143614849513576, (8) = .2937559435180791, (9) = .3505250574913286, (10) = .4110930653557727, (11) = .4751191880069268, (12) = .5398972580085897, (13) = .6051900309982151, (14) = .6704942680985273, (15) = .735727856806597, (16) = .8008524401122463, (17) = .86564262177287, (18) = .9193141275004441, (19) = .962648766031185, (20) = 1.0}, datatype = float[8], order = C_order); Y := Matrix(20, 8, {(1, 1) = .0, (1, 2) = 0.54921958697355426e-14, (1, 3) = 0.6971945144726081e-12, (1, 4) = .0, (1, 5) = .0, (1, 6) = -0.43901173915795137e-15, (1, 7) = 0.34206397338666417e-13, (1, 8) = .0, (2, 1) = 0.16159101392451558e-11, (2, 2) = -0.2910488654920155e-10, (2, 3) = 0.29343668194507134e-9, (2, 4) = -0.52746234622770295e-8, (2, 5) = -0.38317312087969237e-15, (2, 6) = 0.6191912109753353e-14, (2, 7) = -0.32330205877042315e-13, (2, 8) = 0.12002986289969285e-11, (3, 1) = 0.11082816477196082e-11, (3, 2) = -0.19954323132225836e-10, (3, 3) = 0.20142404534947036e-9, (3, 4) = -0.36168789827019156e-8, (3, 5) = -0.2839165693988888e-15, (3, 6) = 0.4113737202260409e-14, (3, 7) = -0.1154872384201362e-13, (3, 8) = 0.822299765052115e-12, (4, 1) = 0.41719475846940715e-12, (4, 2) = -0.7497686506563506e-11, (4, 3) = 0.7617120864179665e-10, (4, 4) = -0.13602035420107753e-8, (4, 5) = -0.1437434685413802e-15, (4, 6) = 0.12782936234106492e-14, (4, 7) = 0.168941348677072e-13, (4, 8) = 0.3079698125136499e-12, (5, 1) = 0.13923650558859692e-13, (5, 2) = -0.21789360639298075e-12, (5, 3) = 0.29619080598388565e-11, (5, 4) = -0.41273229106130374e-10, (5, 5) = -0.689483950355724e-16, (5, 6) = -0.3712059911461185e-15, (5, 7) = 0.3287001554338945e-13, (5, 8) = 0.7142831988092938e-14, (6, 1) = -0.11887081953469728e-12, (6, 2) = 0.2181574911155293e-11, (6, 3) = -0.21165079574676062e-10, (6, 4) = 0.39328156563221595e-9, (6, 5) = -0.5555013495562232e-16, (6, 6) = -0.9156409590765567e-15, (6, 7) = 0.3909957070443503e-13, (6, 8) = -0.9238113108809545e-13, (7, 1) = -0.10981983336897058e-12, (7, 2) = 0.2018815376829209e-11, (7, 3) = -0.1954262834860141e-10, (7, 4) = 0.36391587748853606e-9, (7, 5) = -0.7708198818376909e-16, (7, 6) = -0.8684724152113567e-15, (7, 7) = 0.3828072164621264e-13, (7, 8) = -0.8621219818025532e-13, (8, 1) = -0.51928037868150286e-13, (8, 2) = 0.9956236333146792e-12, (8, 3) = -0.9242118263766255e-11, (8, 4) = 0.17815059148408043e-9, (8, 5) = -0.10932975415608019e-15, (8, 6) = -0.6131828261941697e-15, (8, 7) = 0.35726291036328094e-13, (8, 8) = -0.4451876658530887e-13, (9, 1) = -0.11934647247503647e-13, (9, 2) = 0.2919013993135085e-12, (9, 3) = -0.21617366350736754e-11, (9, 4) = 0.50396331234513934e-10, (9, 5) = -0.14163944555659412e-15, (9, 6) = -0.43309790752421276e-15, (9, 7) = 0.33526617419600833e-13, (9, 8) = -0.15977501436125068e-13, (10, 1) = 0.13208565425087037e-13, (10, 2) = -0.15847081725218992e-12, (10, 3) = 0.23433741039779506e-11, (10, 4) = -0.30905908745303125e-10, (10, 5) = -0.1645286662794927e-15, (10, 6) = -0.30592753539955245e-15, (10, 7) = 0.3235382123063574e-13, (10, 8) = 0.1805123485773834e-14, (11, 1) = 0.24662050447747244e-13, (11, 2) = -0.348217579068914e-12, (11, 3) = 0.4252113349225012e-11, (11, 4) = -0.6548857761160066e-10, (11, 5) = -0.19069119744849192e-15, (11, 6) = -0.2229445125034585e-15, (11, 7) = 0.3159759815944996e-13, (11, 8) = 0.9118422876938472e-14, (12, 1) = 0.24412668985452177e-13, (12, 2) = -0.289615699395915e-12, (12, 3) = 0.3693497847284046e-11, (12, 4) = -0.55649601014791604e-10, (12, 5) = -0.20811228401461676e-15, (12, 6) = -0.20302969110054756e-15, (12, 7) = 0.3146938732935611e-13, (12, 8) = 0.6333671614220484e-14, (13, 1) = 0.16772863021394482e-13, (13, 2) = -0.14137062143252341e-12, (13, 3) = 0.22119587057540023e-11, (13, 4) = -0.2911546303193717e-10, (13, 5) = -0.22135177034835522e-15, (13, 6) = -0.1919011244926562e-15, (13, 7) = 0.313829439892334e-13, (13, 8) = -0.13124019358286128e-15, (14, 1) = 0.8888427881511362e-14, (14, 2) = -0.25644348402156826e-13, (14, 3) = 0.1038517183671305e-11, (14, 4) = -0.816383160602506e-11, (14, 5) = -0.237026551948315e-15, (14, 6) = -0.17717604167912409e-15, (14, 7) = 0.3093352931564503e-13, (14, 8) = -0.5382408456860633e-14, (15, 1) = 0.7989585360263331e-14, (15, 2) = 0.27612580403612908e-13, (15, 3) = 0.4947999069557425e-12, (15, 4) = 0.1467568749646379e-11, (15, 5) = -0.24412295270340337e-15, (15, 6) = -0.14197651938089092e-15, (15, 7) = 0.31309528643974336e-13, (15, 8) = -0.8056805930570116e-14, (16, 1) = 0.9186964558409105e-14, (16, 2) = 0.4204420118148477e-13, (16, 3) = 0.35899768072547627e-12, (16, 4) = 0.3749578049851486e-11, (16, 5) = -0.2537554369447278e-15, (16, 6) = -0.9374741380831715e-16, (16, 7) = 0.3030370303112566e-13, (16, 8) = -0.8941309983947672e-14, (17, 1) = 0.10294217293009357e-13, (17, 2) = 0.37859937634768925e-13, (17, 3) = 0.3802183409528524e-12, (17, 4) = 0.32030841980451587e-11, (17, 5) = -0.25842630306577263e-15, (17, 6) = -0.39588189166863215e-16, (17, 7) = 0.2956930217335054e-13, (17, 8) = -0.9281966687242097e-14, (18, 1) = 0.11550213210690431e-13, (18, 2) = 0.41499788926915666e-13, (18, 3) = 0.36400302648677843e-12, (18, 4) = 0.3360796387690797e-11, (18, 5) = -0.25635721424309254e-15, (18, 6) = 0.66616290353902806e-17, (18, 7) = 0.2936138977674041e-13, (18, 8) = -0.9613957399795097e-14, (19, 1) = 0.13341105163441855e-13, (19, 2) = 0.3470091884239306e-13, (19, 3) = 0.43968048941247553e-12, (19, 4) = 0.1889434514139951e-11, (19, 5) = -0.2556973949581726e-15, (19, 6) = 0.4783464565165763e-16, (19, 7) = 0.2855046859214614e-13, (19, 8) = -0.955900033645097e-14, (20, 1) = 0.13499379198063885e-13, (20, 2) = 0.2766855175360778e-13, (20, 3) = 0.4862191357662044e-12, (20, 4) = 0.9713572994339805e-12, (20, 5) = -0.2519797692991319e-15, (20, 6) = 0.833067897759525e-16, (20, 7) = 0.2873313748899571e-13, (20, 8) = -0.95849608628296e-14}, datatype = float[8], order = C_order); if not type(outpoint, 'numeric') then if outpoint = "start" or outpoint = "left" then return X[1] elif outpoint = "right" then return X[20] elif outpoint = "order" then return 8 elif outpoint = "error" then return 0.527462346227703e-8 elif outpoint = "errorproc" then error "this is already the error procedure" elif outpoint = "rawdata" then return [8, 20, [Phi(Y), diff(Phi(Y), Y), Theta(Y), diff(Theta(Y), Y), U(Y), diff(U(Y), Y), W(Y), diff(W(Y), Y)], X, Y] else return ('procname')(x_bvp) end if end if; if outpoint < X[1] or X[20] < outpoint then error "solution is only defined in the range %1..%2", X[1], X[20] end if; V := array([1 = 4, 2 = 0]); if Digits <= trunc(evalhf(Digits)) then L := Vector(4, 'datatype' = 'float'[8]); yout := Vector(8, 'datatype' = 'float'[8]); evalhf(`dsolve/numeric/lagrange`(20, 8, X, Y, outpoint, var(yout), var(L), var(V))) else L := Vector(4, 'datatype' = 'sfloat'); yout := Vector(8, 'datatype' = 'sfloat'); `dsolve/numeric/lagrange`(20, 8, X, Y, outpoint, yout, L, V) end if; [Y = outpoint, seq('[Phi(Y), diff(Phi(Y), Y), Theta(Y), diff(Theta(Y), Y), U(Y), diff(U(Y), Y), W(Y), diff(W(Y), Y)]'[i] = yout[i], i = 1 .. 8)] end proc; if not type(outpoint, 'numeric') then if outpoint = "start" or outpoint = "left" then return X[1] elif outpoint = "method" then return "bvp" elif outpoint = "right" then return X[20] elif outpoint = "order" then return 8 elif outpoint = "error" then return 0.527462346227703e-8 elif outpoint = "errorproc" then return eval(errproc) elif outpoint = "rawdata" then return [8, 20, "depnames", X, Y, YP] else error "non-numeric value" end if end if; if outpoint < X[1] or X[20] < outpoint then error "solution is only defined in the range %1..%2", X[1], X[20] end if; if Digits <= trunc(evalhf(Digits)) and (_EnvInFsolve <> true or _EnvDSNumericSaveDigits <= trunc(evalhf(Digits))) then V := array( 1 .. 6, [( 1 ) = (7), ( 2 ) = (0), ( 3 ) = (false), ( 4 ) = (false), ( 5 ) = (false), ( 6 ) = (false)  ] ); L := Matrix(7, 2, {(1, 1) = .0, (1, 2) = .0, (2, 1) = .0, (2, 2) = .0, (3, 1) = .0, (3, 2) = .0, (4, 1) = .0, (4, 2) = .0, (5, 1) = .0, (5, 2) = .0, (6, 1) = .0, (6, 2) = .0, (7, 1) = .0, (7, 2) = .0}, datatype = float[8], order = C_order); yout := Vector(8, {(1) = .0, (2) = .0, (3) = .0, (4) = .0, (5) = .0, (6) = .0, (7) = .0, (8) = .0}, datatype = float[8]); evalhf(`dsolve/numeric/hermite`(20, 8, X, Y, YP, outpoint, var(yout), var(L), var(V))) else if _EnvInFsolve = true then Digits := _EnvDSNumericSaveDigits end if; V := array( 1 .. 6, [( 1 ) = (7), ( 2 ) = (0), ( 3 ) = (false), ( 4 ) = (false), ( 5 ) = (false), ( 6 ) = (false)  ] ); L := Matrix(7, 2, {(1, 1) = 0., (1, 2) = 0., (2, 1) = 0., (2, 2) = 0., (3, 1) = 0., (3, 2) = 0., (4, 1) = 0., (4, 2) = 0., (5, 1) = 0., (5, 2) = 0., (6, 1) = 0., (6, 2) = 0., (7, 1) = 0., (7, 2) = 0.}, order = C_order); yout := Vector(8, {(1) = 0., (2) = 0., (3) = 0., (4) = 0., (5) = 0., (6) = 0., (7) = 0., (8) = 0.}); `dsolve/numeric/hermite`(20, 8, X, Y, YP, outpoint, yout, L, V) end if; [outpoint, seq(yout[i], i = 1 .. 8)] end proc, (2) = Array(1..9, {(1) = 18446744078205204806, (2) = 18446744078205205334, (3) = 18446744078205205510, (4) = 18446744078205205686, (5) = 18446744078205205862, (6) = 18446744078205206038, (7) = 18446744078205210622, (8) = 18446744078205212030, (9) = 18446744078205214806}), (3) = [Y, Phi(Y), diff(Phi(Y), Y), Theta(Y), diff(Theta(Y), Y), U(Y), diff(U(Y), Y), W(Y), diff(W(Y), Y)], (4) = 0}); solnproc := data[1]; if not type(outpoint, 'numeric') then if outpoint = "solnprocedure" then return eval(solnproc) elif member(outpoint, ["start", "left", "right", "errorproc", "rawdata", "order", "error"]) then return solnproc(Y) elif outpoint = "sysvars" then return data[3] elif procname <> unknown then return ('procname')(Y) else `diff(U(Y),Y)` := pointto(data[2][7]); return ('`diff(U(Y),Y)`')(Y) end if end if; try res := solnproc(outpoint); res[7] catch: error  end try end proc, W(Y) = proc (Y) local res, data, solnproc, `W(Y)`, outpoint; option `Copyright (c) 2000 by Waterloo Maple Inc. All rights reserved.`; _EnvDSNumericSaveDigits := Digits; Digits := 15; if _EnvInFsolve = true then outpoint := evalf[_EnvDSNumericSaveDigits](Y) else outpoint := evalf(Y) end if; data := Array(1..4, {(1) = proc (outpoint) local X, Y, YP, yout, errproc, L, V, i; option `Copyright (c) 2000 by Waterloo Maple Inc. All rights reserved.`; X := Vector(20, {(1) = .0, (2) = 0.35719097960602804e-1, (3) = 0.7275276815367403e-1, (4) = .11125780726700532, (5) = .15145014267940804, (6) = .19444503533587412, (7) = .24143614849513576, (8) = .2937559435180791, (9) = .3505250574913286, (10) = .4110930653557727, (11) = .4751191880069268, (12) = .5398972580085897, (13) = .6051900309982151, (14) = .6704942680985273, (15) = .735727856806597, (16) = .8008524401122463, (17) = .86564262177287, (18) = .9193141275004441, (19) = .962648766031185, (20) = 1.0}, datatype = float[8], order = C_order); Y := Matrix(20, 8, {(1, 1) = .0, (1, 2) = 2.0053251936081944, (1, 3) = 1.459449488576314, (1, 4) = .0, (1, 5) = .0, (1, 6) = -0.5612973334711832e-2, (1, 7) = .45438512050371493, (1, 8) = .0, (2, 1) = 0.7176776742213782e-1, (2, 2) = 2.0134023775287604, (2, 3) = 1.4504454167927874, (2, 4) = -.45537569238094155, (2, 5) = -0.20071098719062178e-3, (2, 6) = -0.5621503550492427e-2, (2, 7) = .4542697116743303, (2, 8) = -0.643170315469985e-2, (3, 1) = .14650749204991942, (3, 2) = 2.0230651157366997, (3, 3) = 1.4285577593411758, (3, 4) = -.6993519698563813, (3, 5) = -0.40869111321034733e-3, (3, 6) = -0.5606444098831052e-2, (3, 7) = .4539111370316967, (3, 8) = -0.12897383107368028e-1, (4, 1) = .22461147400584763, (4, 2) = 2.0338411534786576, (4, 3) = 1.398901363877521, (4, 4) = -.8260054974367521, (4, 5) = -0.6238642222587452e-3, (4, 6) = -0.55657238487568815e-2, (4, 7) = .45328876142190666, (4, 8) = -0.1939049275956177e-1, (5, 1) = .3065896273527975, (5, 2) = 2.0455010701918805, (5, 3) = 1.3642803500922391, (5, 4) = -.8886173875803364, (5, 5) = -0.8462678436774964e-3, (5, 6) = -0.5496822376964125e-2, (5, 7) = .4523773430825606, (5, 8) = -0.25920924202723607e-1, (6, 1) = .3948083998129553, (6, 2) = 2.0582142969946084, (6, 3) = 1.3253668545251265, (6, 4) = -.9170292649927623, (6, 5) = -0.10805033940007663e-2, (6, 6) = -0.5394261634780204e-2, (6, 7) = .4511175001103978, (6, 8) = -0.32638394195837514e-1, (7, 1) = .49185567682557213, (7, 2) = 2.072256296552187, (7, 3) = 1.281994135961963, (7, 4) = -.9264685482085676, (7, 5) = -0.13307107526425452e-2, (7, 6) = -0.5249243795647192e-2, (7, 7) = .44941711436042603, (7, 8) = -0.3968205092935408e-1, (8, 1) = .6006868709925981, (8, 2) = 2.087986026940522, (8, 3) = 1.2335280262456318, (8, 4) = -.9248176392470497, (8, 5) = -0.16002824214905727e-2, (8, 6) = -0.5048806225355029e-2, (8, 7) = .44714316698865636, (8, 8) = -0.4718601026820781e-1, (9, 1) = .7197059916406936, (9, 2) = 2.1051163426550845, (9, 3) = 1.1812439897480995, (9, 4) = -.9163988595413346, (9, 5) = -0.1879672842327696e-2, (9, 6) = -0.4786632705167547e-2, (9, 7) = .44424204136594453, (9, 8) = -0.5496153962800083e-1, (10, 1) = .847763297944333, (10, 2) = 2.123435337834906, (10, 3) = 1.126111344253534, (10, 4) = -.9036455603483291, (10, 5) = -0.21598771781540984e-2, (10, 6) = -0.4457593823292657e-2, (10, 7) = .4406714482113693, (10, 8) = -0.6288112123455601e-1, (11, 1) = .9843393499550938, (11, 2) = 2.1428285542537844, (11, 3) = 1.0687552320755083, (11, 4) = -.8876468667624571, (11, 5) = -0.24327255396754594e-2, (11, 6) = -0.4056474806134682e-2, (11, 7) = .4363874096782681, (11, 8) = -0.708810134362007e-1, (12, 1) = 1.1237836093097533, (12, 2) = 2.1624652853041466, (12, 3) = 1.011832180926541, (12, 4) = -.8695451341011282, (12, 5) = -0.2680896493999921e-2, (12, 6) = -0.3596845896471083e-2, (12, 7) = .43154294962730755, (12, 8) = -0.7863768804042866e-1, (13, 1) = 1.2656232819456894, (13, 2) = 2.182262739970384, (13, 3) = .9556973069001019, (13, 4) = -.8496857938539728, (13, 5) = -0.28991737520459543e-2, (13, 6) = -0.308051138535623e-2, (13, 7) = .42616132725811307, (13, 8) = -0.8616326952785293e-1, (14, 1) = 1.408780712702396, (14, 2) = 2.202058530406396, (14, 3) = .9008968332966889, (14, 4) = -.8284046501288216, (14, 5) = -0.3082067319124229e-2, (14, 6) = -0.2512223889450374e-2, (14, 7) = .4202955587319762, (14, 8) = -0.9344382370597953e-1, (15, 1) = 1.5530735139719447, (15, 2) = 2.2218189937848294, (15, 3) = .8475850007819113, (15, 4) = -.8058880695807592, (15, 5) = -0.32260533892462394e-2, (15, 6) = -0.18938930243389903e-2, (15, 7) = .41396826401074016, (15, 8) = -.10051502209225827, (16, 1) = 1.698410351647586, (16, 2) = 2.2415247347014464, (16, 3) = .7958644292913738, (16, 4) = -.7822956883101383, (16, 5) = -0.3327942234282917e-2, (16, 6) = -0.1226938539977064e-2, (16, 7) = .4071968303220844, (16, 8) = -.10741495835348656, (17, 1) = 1.844273487156983, (17, 2) = 2.2611008629453613, (17, 3) = .7459662823616324, (17, 4) = -.7578533262440998, (17, 5) = -0.33846255216261703e-2, (17, 6) = -0.514759129154577e-3, (17, 7) = .4000183529265164, (17, 8) = -.11415970645343881, (18, 1) = 1.9660647808809397, (18, 2) = 2.2772916881728023, (18, 3) = .7058493238111733, (18, 4) = -.7369636984802895, (18, 5) = -0.33955895702907526e-2, (18, 6) = 0.11169791160924508e-3, (18, 7) = .3937428184702135, (18, 8) = -.11968211404294021, (19, 1) = 2.0650332867510306, (19, 2) = 2.2903449057162386, (19, 3) = .6742856542468953, (19, 4) = -.7197253946637352, (19, 5) = -0.3379345969243999e-2, (19, 6) = 0.6415663100252571e-3, (19, 7) = .3884603780871002, (19, 8) = -.1241121401831915, (20, 1) = 2.1507903764298955, (20, 2) = 2.3015807528597905, (20, 3) = .6476842724902494, (20, 4) = -.7046314550195008, (20, 5) = -0.33465809221206125e-2, (20, 6) = 0.11155269740402043e-2, (20, 7) = .38375353649407395, (20, 8) = -.12791784549802465}, datatype = float[8], order = C_order); YP := Matrix(20, 8, {(1, 1) = 2.0053251936081944, (1, 2) = .20053251936081945, (1, 3) = .0, (1, 4) = -17.312630624062646, (1, 5) = -0.5612973334711832e-2, (1, 6) = -0.5612973334711833e-3, (1, 7) = .0, (1, 8) = -.18253803495142387, (2, 1) = 2.0134023775287604, (2, 2) = .2468778069909702, (2, 3) = -.45537569238094155, (2, 4) = -9.061708006510269, (2, 5) = -0.5621503550492427e-2, (2, 6) = 0.8101996042074228e-4, (2, 7) = -0.643170315469985e-2, (2, 8) = -.17745738418826795, (3, 1) = 2.0230651157366997, (3, 2) = .27224170855930807, (3, 3) = -.6993519698563813, (3, 4) = -4.603982074336188, (3, 5) = -0.5606444098831052e-2, (3, 6) = 0.7290939008536977e-3, (3, 7) = -0.12897383107368028e-1, (3, 8) = -.1716797927099076, (4, 1) = 2.0338411534786576, (4, 2) = .28598466509154097, (4, 3) = -.8260054974367521, (4, 4) = -2.2429513477533867, (4, 5) = -0.55657238487568815e-2, (4, 6) = 0.1382476891080489e-2, (4, 7) = -0.1939049275956177e-1, (4, 8) = -.16559199463104318, (5, 1) = 2.0455010701918805, (5, 2) = .29341184577722174, (5, 3) = -.8886173875803364, (5, 4) = -1.0167952207811748, (5, 5) = -0.5496822376964125e-2, (5, 6) = 0.20424101825759484e-2, (5, 7) = -0.25920924202723607e-1, (5, 8) = -.1594098341596127, (6, 1) = 2.0582142969946084, (6, 2) = .29752435619873707, (6, 3) = -.9170292649927623, (6, 4) = -.3830211788724602, (6, 5) = -0.5394261634780204e-2, (6, 6) = 0.2724413256105731e-2, (6, 7) = -0.32638394195837514e-1, (6, 8) = -.15313238968077217, (7, 1) = 2.072256296552187, (7, 2) = .2998724844760755, (7, 3) = -.9264685482085676, (7, 4) = -0.60460912944764036e-1, (7, 5) = -0.5249243795647192e-2, (7, 6) = 0.3443280713370689e-2, (7, 7) = -0.3968205092935408e-1, (7, 8) = -.14673837885869348, (8, 1) = 2.087986026940522, (8, 2) = .30128036661875723, (8, 3) = -.9248176392470497, (8, 4) = .10219738914667098, (8, 5) = -0.5048806225355029e-2, (8, 6) = 0.4213720404285278e-2, (8, 7) = -0.4718601026820781e-1, (8, 8) = -.14021601066572284, (9, 1) = 2.1051163426550845, (9, 2) = .3021515202196419, (9, 3) = -.9163988595413346, (9, 4) = .18477369158772106, (9, 5) = -0.4786632705167547e-2, (9, 6) = 0.5017490692283328e-2, (9, 7) = -0.5496153962800083e-1, (9, 8) = -.1338382357784468, (10, 1) = 2.123435337834906, (10, 2) = .30270808981832353, (10, 3) = -.9036455603483291, (10, 4) = .2323220188969241, (10, 5) = -0.4457593823292657e-2, (10, 6) = 0.5842352741126336e-2, (10, 7) = -0.6288112123455601e-1, (10, 8) = -.12780046682246987, (11, 1) = 2.1428285542537844, (11, 2) = .30304754210162416, (11, 3) = -.8876468667624571, (11, 4) = .2657246916082982, (11, 5) = -0.4056474806134682e-2, (11, 6) = 0.6682453863006602e-2, (11, 7) = -0.708810134362007e-1, (11, 8) = -.12222857720286623, (12, 1) = 2.1624652853041466, (12, 2) = .3032010419405275, (12, 3) = -.8695451341011282, (12, 4) = .29236487799593064, (12, 5) = -0.3596845896471083e-2, (12, 6) = 0.75040842143957575e-2, (12, 7) = -0.7863768804042866e-1, (12, 8) = -.11738445926466252, (13, 1) = 2.182262739970384, (13, 2) = .3031948533824357, (13, 3) = -.8496857938539728, (13, 4) = .3154535977139292, (13, 5) = -0.308051138535623e-2, (13, 6) = 0.8308275814249672e-2, (13, 7) = -0.8616326952785293e-1, (13, 8) = -.11325535903762853, (14, 1) = 2.202058530406396, (14, 2) = .3030463180535218, (14, 3) = -.8284046501288216, (14, 4) = .33590310410426294, (14, 5) = -0.2512223889450374e-2, (14, 6) = 0.9093159981652915e-2, (14, 7) = -0.9344382370597953e-1, (14, 8) = -.10983176344252321, (15, 1) = 2.2218189937848294, (15, 2) = .3027707063365589, (15, 3) = -.8058880695807592, (15, 4) = .3540740832535115, (15, 5) = -0.18938930243389903e-2, (15, 6) = 0.9862112906791929e-2, (15, 7) = -.10051502209225827, (15, 8) = -.1070705229055163, (16, 1) = 2.2415247347014464, (16, 2) = .3023820423011585, (16, 3) = -.7822956883101383, (16, 4) = .370114372923692, (16, 5) = -0.1226938539977064e-2, (16, 6) = 0.1061880198135095e-1, (16, 7) = -.10741495835348656, (16, 8) = -.10492796929864943, (17, 1) = 2.2611008629453613, (17, 2) = .3018954189189461, (17, 3) = -.7578533262440998, (17, 4) = .3840645990962983, (17, 5) = -0.514759129154577e-3, (17, 6) = 0.11364494732428424e-1, (17, 7) = -.11415970645343881, (17, 8) = -.10336653995058015, (18, 1) = 2.2772916881728023, (18, 2) = .3014255386653092, (18, 3) = -.7369636984802895, (18, 4) = .3941389673270303, (18, 5) = 0.11169791160924508e-3, (18, 6) = 0.11979381195454946e-1, (18, 7) = -.11968211404294021, (18, 8) = -.10247828836869974, (19, 1) = 2.2903449057162386, (19, 2) = .3010070300379974, (19, 3) = -.7197253946637352, (19, 4) = .4013082879540461, (19, 5) = 0.6415663100252571e-3, (19, 6) = 0.12475370649321676e-1, (19, 7) = -.1241121401831915, (19, 8) = -.10201522027713918, (20, 1) = 2.3015807528597905, (20, 2) = .30062122078792913, (20, 3) = -.7046314550195008, (20, 4) = .4068028054072272, (20, 5) = 0.11155269740402043e-2, (20, 6) = 0.12903337247206487e-1, (20, 7) = -.12791784549802465, (20, 8) = -.1017905260964087}, datatype = float[8], order = C_order); errproc := proc (x_bvp) local outpoint, X, Y, yout, L, V, i; option `Copyright (c) 2000 by Waterloo Maple Inc. All rights reserved.`; Digits := 15; outpoint := evalf(x_bvp); X := Vector(20, {(1) = .0, (2) = 0.35719097960602804e-1, (3) = 0.7275276815367403e-1, (4) = .11125780726700532, (5) = .15145014267940804, (6) = .19444503533587412, (7) = .24143614849513576, (8) = .2937559435180791, (9) = .3505250574913286, (10) = .4110930653557727, (11) = .4751191880069268, (12) = .5398972580085897, (13) = .6051900309982151, (14) = .6704942680985273, (15) = .735727856806597, (16) = .8008524401122463, (17) = .86564262177287, (18) = .9193141275004441, (19) = .962648766031185, (20) = 1.0}, datatype = float[8], order = C_order); Y := Matrix(20, 8, {(1, 1) = .0, (1, 2) = 0.54921958697355426e-14, (1, 3) = 0.6971945144726081e-12, (1, 4) = .0, (1, 5) = .0, (1, 6) = -0.43901173915795137e-15, (1, 7) = 0.34206397338666417e-13, (1, 8) = .0, (2, 1) = 0.16159101392451558e-11, (2, 2) = -0.2910488654920155e-10, (2, 3) = 0.29343668194507134e-9, (2, 4) = -0.52746234622770295e-8, (2, 5) = -0.38317312087969237e-15, (2, 6) = 0.6191912109753353e-14, (2, 7) = -0.32330205877042315e-13, (2, 8) = 0.12002986289969285e-11, (3, 1) = 0.11082816477196082e-11, (3, 2) = -0.19954323132225836e-10, (3, 3) = 0.20142404534947036e-9, (3, 4) = -0.36168789827019156e-8, (3, 5) = -0.2839165693988888e-15, (3, 6) = 0.4113737202260409e-14, (3, 7) = -0.1154872384201362e-13, (3, 8) = 0.822299765052115e-12, (4, 1) = 0.41719475846940715e-12, (4, 2) = -0.7497686506563506e-11, (4, 3) = 0.7617120864179665e-10, (4, 4) = -0.13602035420107753e-8, (4, 5) = -0.1437434685413802e-15, (4, 6) = 0.12782936234106492e-14, (4, 7) = 0.168941348677072e-13, (4, 8) = 0.3079698125136499e-12, (5, 1) = 0.13923650558859692e-13, (5, 2) = -0.21789360639298075e-12, (5, 3) = 0.29619080598388565e-11, (5, 4) = -0.41273229106130374e-10, (5, 5) = -0.689483950355724e-16, (5, 6) = -0.3712059911461185e-15, (5, 7) = 0.3287001554338945e-13, (5, 8) = 0.7142831988092938e-14, (6, 1) = -0.11887081953469728e-12, (6, 2) = 0.2181574911155293e-11, (6, 3) = -0.21165079574676062e-10, (6, 4) = 0.39328156563221595e-9, (6, 5) = -0.5555013495562232e-16, (6, 6) = -0.9156409590765567e-15, (6, 7) = 0.3909957070443503e-13, (6, 8) = -0.9238113108809545e-13, (7, 1) = -0.10981983336897058e-12, (7, 2) = 0.2018815376829209e-11, (7, 3) = -0.1954262834860141e-10, (7, 4) = 0.36391587748853606e-9, (7, 5) = -0.7708198818376909e-16, (7, 6) = -0.8684724152113567e-15, (7, 7) = 0.3828072164621264e-13, (7, 8) = -0.8621219818025532e-13, (8, 1) = -0.51928037868150286e-13, (8, 2) = 0.9956236333146792e-12, (8, 3) = -0.9242118263766255e-11, (8, 4) = 0.17815059148408043e-9, (8, 5) = -0.10932975415608019e-15, (8, 6) = -0.6131828261941697e-15, (8, 7) = 0.35726291036328094e-13, (8, 8) = -0.4451876658530887e-13, (9, 1) = -0.11934647247503647e-13, (9, 2) = 0.2919013993135085e-12, (9, 3) = -0.21617366350736754e-11, (9, 4) = 0.50396331234513934e-10, (9, 5) = -0.14163944555659412e-15, (9, 6) = -0.43309790752421276e-15, (9, 7) = 0.33526617419600833e-13, (9, 8) = -0.15977501436125068e-13, (10, 1) = 0.13208565425087037e-13, (10, 2) = -0.15847081725218992e-12, (10, 3) = 0.23433741039779506e-11, (10, 4) = -0.30905908745303125e-10, (10, 5) = -0.1645286662794927e-15, (10, 6) = -0.30592753539955245e-15, (10, 7) = 0.3235382123063574e-13, (10, 8) = 0.1805123485773834e-14, (11, 1) = 0.24662050447747244e-13, (11, 2) = -0.348217579068914e-12, (11, 3) = 0.4252113349225012e-11, (11, 4) = -0.6548857761160066e-10, (11, 5) = -0.19069119744849192e-15, (11, 6) = -0.2229445125034585e-15, (11, 7) = 0.3159759815944996e-13, (11, 8) = 0.9118422876938472e-14, (12, 1) = 0.24412668985452177e-13, (12, 2) = -0.289615699395915e-12, (12, 3) = 0.3693497847284046e-11, (12, 4) = -0.55649601014791604e-10, (12, 5) = -0.20811228401461676e-15, (12, 6) = -0.20302969110054756e-15, (12, 7) = 0.3146938732935611e-13, (12, 8) = 0.6333671614220484e-14, (13, 1) = 0.16772863021394482e-13, (13, 2) = -0.14137062143252341e-12, (13, 3) = 0.22119587057540023e-11, (13, 4) = -0.2911546303193717e-10, (13, 5) = -0.22135177034835522e-15, (13, 6) = -0.1919011244926562e-15, (13, 7) = 0.313829439892334e-13, (13, 8) = -0.13124019358286128e-15, (14, 1) = 0.8888427881511362e-14, (14, 2) = -0.25644348402156826e-13, (14, 3) = 0.1038517183671305e-11, (14, 4) = -0.816383160602506e-11, (14, 5) = -0.237026551948315e-15, (14, 6) = -0.17717604167912409e-15, (14, 7) = 0.3093352931564503e-13, (14, 8) = -0.5382408456860633e-14, (15, 1) = 0.7989585360263331e-14, (15, 2) = 0.27612580403612908e-13, (15, 3) = 0.4947999069557425e-12, (15, 4) = 0.1467568749646379e-11, (15, 5) = -0.24412295270340337e-15, (15, 6) = -0.14197651938089092e-15, (15, 7) = 0.31309528643974336e-13, (15, 8) = -0.8056805930570116e-14, (16, 1) = 0.9186964558409105e-14, (16, 2) = 0.4204420118148477e-13, (16, 3) = 0.35899768072547627e-12, (16, 4) = 0.3749578049851486e-11, (16, 5) = -0.2537554369447278e-15, (16, 6) = -0.9374741380831715e-16, (16, 7) = 0.3030370303112566e-13, (16, 8) = -0.8941309983947672e-14, (17, 1) = 0.10294217293009357e-13, (17, 2) = 0.37859937634768925e-13, (17, 3) = 0.3802183409528524e-12, (17, 4) = 0.32030841980451587e-11, (17, 5) = -0.25842630306577263e-15, (17, 6) = -0.39588189166863215e-16, (17, 7) = 0.2956930217335054e-13, (17, 8) = -0.9281966687242097e-14, (18, 1) = 0.11550213210690431e-13, (18, 2) = 0.41499788926915666e-13, (18, 3) = 0.36400302648677843e-12, (18, 4) = 0.3360796387690797e-11, (18, 5) = -0.25635721424309254e-15, (18, 6) = 0.66616290353902806e-17, (18, 7) = 0.2936138977674041e-13, (18, 8) = -0.9613957399795097e-14, (19, 1) = 0.13341105163441855e-13, (19, 2) = 0.3470091884239306e-13, (19, 3) = 0.43968048941247553e-12, (19, 4) = 0.1889434514139951e-11, (19, 5) = -0.2556973949581726e-15, (19, 6) = 0.4783464565165763e-16, (19, 7) = 0.2855046859214614e-13, (19, 8) = -0.955900033645097e-14, (20, 1) = 0.13499379198063885e-13, (20, 2) = 0.2766855175360778e-13, (20, 3) = 0.4862191357662044e-12, (20, 4) = 0.9713572994339805e-12, (20, 5) = -0.2519797692991319e-15, (20, 6) = 0.833067897759525e-16, (20, 7) = 0.2873313748899571e-13, (20, 8) = -0.95849608628296e-14}, datatype = float[8], order = C_order); if not type(outpoint, 'numeric') then if outpoint = "start" or outpoint = "left" then return X[1] elif outpoint = "right" then return X[20] elif outpoint = "order" then return 8 elif outpoint = "error" then return 0.527462346227703e-8 elif outpoint = "errorproc" then error "this is already the error procedure" elif outpoint = "rawdata" then return [8, 20, [Phi(Y), diff(Phi(Y), Y), Theta(Y), diff(Theta(Y), Y), U(Y), diff(U(Y), Y), W(Y), diff(W(Y), Y)], X, Y] else return ('procname')(x_bvp) end if end if; if outpoint < X[1] or X[20] < outpoint then error "solution is only defined in the range %1..%2", X[1], X[20] end if; V := array([1 = 4, 2 = 0]); if Digits <= trunc(evalhf(Digits)) then L := Vector(4, 'datatype' = 'float'[8]); yout := Vector(8, 'datatype' = 'float'[8]); evalhf(`dsolve/numeric/lagrange`(20, 8, X, Y, outpoint, var(yout), var(L), var(V))) else L := Vector(4, 'datatype' = 'sfloat'); yout := Vector(8, 'datatype' = 'sfloat'); `dsolve/numeric/lagrange`(20, 8, X, Y, outpoint, yout, L, V) end if; [Y = outpoint, seq('[Phi(Y), diff(Phi(Y), Y), Theta(Y), diff(Theta(Y), Y), U(Y), diff(U(Y), Y), W(Y), diff(W(Y), Y)]'[i] = yout[i], i = 1 .. 8)] end proc; if not type(outpoint, 'numeric') then if outpoint = "start" or outpoint = "left" then return X[1] elif outpoint = "method" then return "bvp" elif outpoint = "right" then return X[20] elif outpoint = "order" then return 8 elif outpoint = "error" then return 0.527462346227703e-8 elif outpoint = "errorproc" then return eval(errproc) elif outpoint = "rawdata" then return [8, 20, "depnames", X, Y, YP] else error "non-numeric value" end if end if; if outpoint < X[1] or X[20] < outpoint then error "solution is only defined in the range %1..%2", X[1], X[20] end if; if Digits <= trunc(evalhf(Digits)) and (_EnvInFsolve <> true or _EnvDSNumericSaveDigits <= trunc(evalhf(Digits))) then V := array( 1 .. 6, [( 1 ) = (7), ( 2 ) = (0), ( 3 ) = (false), ( 4 ) = (false), ( 5 ) = (false), ( 6 ) = (false)  ] ); L := Matrix(7, 2, {(1, 1) = .0, (1, 2) = .0, (2, 1) = .0, (2, 2) = .0, (3, 1) = .0, (3, 2) = .0, (4, 1) = .0, (4, 2) = .0, (5, 1) = .0, (5, 2) = .0, (6, 1) = .0, (6, 2) = .0, (7, 1) = .0, (7, 2) = .0}, datatype = float[8], order = C_order); yout := Vector(8, {(1) = .0, (2) = .0, (3) = .0, (4) = .0, (5) = .0, (6) = .0, (7) = .0, (8) = .0}, datatype = float[8]); evalhf(`dsolve/numeric/hermite`(20, 8, X, Y, YP, outpoint, var(yout), var(L), var(V))) else if _EnvInFsolve = true then Digits := _EnvDSNumericSaveDigits end if; V := array( 1 .. 6, [( 1 ) = (7), ( 2 ) = (0), ( 3 ) = (false), ( 4 ) = (false), ( 5 ) = (false), ( 6 ) = (false)  ] ); L := Matrix(7, 2, {(1, 1) = 0., (1, 2) = 0., (2, 1) = 0., (2, 2) = 0., (3, 1) = 0., (3, 2) = 0., (4, 1) = 0., (4, 2) = 0., (5, 1) = 0., (5, 2) = 0., (6, 1) = 0., (6, 2) = 0., (7, 1) = 0., (7, 2) = 0.}, order = C_order); yout := Vector(8, {(1) = 0., (2) = 0., (3) = 0., (4) = 0., (5) = 0., (6) = 0., (7) = 0., (8) = 0.}); `dsolve/numeric/hermite`(20, 8, X, Y, YP, outpoint, yout, L, V) end if; [outpoint, seq(yout[i], i = 1 .. 8)] end proc, (2) = Array(1..9, {(1) = 18446744078205204806, (2) = 18446744078205205334, (3) = 18446744078205205510, (4) = 18446744078205205686, (5) = 18446744078205205862, (6) = 18446744078205206038, (7) = 18446744078205210622, (8) = 18446744078205212030, (9) = 18446744078205214806}), (3) = [Y, Phi(Y), diff(Phi(Y), Y), Theta(Y), diff(Theta(Y), Y), U(Y), diff(U(Y), Y), W(Y), diff(W(Y), Y)], (4) = 0}); solnproc := data[1]; if not type(outpoint, 'numeric') then if outpoint = "solnprocedure" then return eval(solnproc) elif member(outpoint, ["start", "left", "right", "errorproc", "rawdata", "order", "error"]) then return solnproc(Y) elif outpoint = "sysvars" then return data[3] elif procname <> unknown then return ('procname')(Y) else `W(Y)` := pointto(data[2][8]); return ('`W(Y)`')(Y) end if end if; try res := solnproc(outpoint); res[8] catch: error  end try end proc, diff(W(Y), Y) = proc (Y) local res, data, solnproc, `diff(W(Y),Y)`, outpoint; option `Copyright (c) 2000 by Waterloo Maple Inc. All rights reserved.`; _EnvDSNumericSaveDigits := Digits; Digits := 15; if _EnvInFsolve = true then outpoint := evalf[_EnvDSNumericSaveDigits](Y) else outpoint := evalf(Y) end if; data := Array(1..4, {(1) = proc (outpoint) local X, Y, YP, yout, errproc, L, V, i; option `Copyright (c) 2000 by Waterloo Maple Inc. All rights reserved.`; X := Vector(20, {(1) = .0, (2) = 0.35719097960602804e-1, (3) = 0.7275276815367403e-1, (4) = .11125780726700532, (5) = .15145014267940804, (6) = .19444503533587412, (7) = .24143614849513576, (8) = .2937559435180791, (9) = .3505250574913286, (10) = .4110930653557727, (11) = .4751191880069268, (12) = .5398972580085897, (13) = .6051900309982151, (14) = .6704942680985273, (15) = .735727856806597, (16) = .8008524401122463, (17) = .86564262177287, (18) = .9193141275004441, (19) = .962648766031185, (20) = 1.0}, datatype = float[8], order = C_order); Y := Matrix(20, 8, {(1, 1) = .0, (1, 2) = 2.0053251936081944, (1, 3) = 1.459449488576314, (1, 4) = .0, (1, 5) = .0, (1, 6) = -0.5612973334711832e-2, (1, 7) = .45438512050371493, (1, 8) = .0, (2, 1) = 0.7176776742213782e-1, (2, 2) = 2.0134023775287604, (2, 3) = 1.4504454167927874, (2, 4) = -.45537569238094155, (2, 5) = -0.20071098719062178e-3, (2, 6) = -0.5621503550492427e-2, (2, 7) = .4542697116743303, (2, 8) = -0.643170315469985e-2, (3, 1) = .14650749204991942, (3, 2) = 2.0230651157366997, (3, 3) = 1.4285577593411758, (3, 4) = -.6993519698563813, (3, 5) = -0.40869111321034733e-3, (3, 6) = -0.5606444098831052e-2, (3, 7) = .4539111370316967, (3, 8) = -0.12897383107368028e-1, (4, 1) = .22461147400584763, (4, 2) = 2.0338411534786576, (4, 3) = 1.398901363877521, (4, 4) = -.8260054974367521, (4, 5) = -0.6238642222587452e-3, (4, 6) = -0.55657238487568815e-2, (4, 7) = .45328876142190666, (4, 8) = -0.1939049275956177e-1, (5, 1) = .3065896273527975, (5, 2) = 2.0455010701918805, (5, 3) = 1.3642803500922391, (5, 4) = -.8886173875803364, (5, 5) = -0.8462678436774964e-3, (5, 6) = -0.5496822376964125e-2, (5, 7) = .4523773430825606, (5, 8) = -0.25920924202723607e-1, (6, 1) = .3948083998129553, (6, 2) = 2.0582142969946084, (6, 3) = 1.3253668545251265, (6, 4) = -.9170292649927623, (6, 5) = -0.10805033940007663e-2, (6, 6) = -0.5394261634780204e-2, (6, 7) = .4511175001103978, (6, 8) = -0.32638394195837514e-1, (7, 1) = .49185567682557213, (7, 2) = 2.072256296552187, (7, 3) = 1.281994135961963, (7, 4) = -.9264685482085676, (7, 5) = -0.13307107526425452e-2, (7, 6) = -0.5249243795647192e-2, (7, 7) = .44941711436042603, (7, 8) = -0.3968205092935408e-1, (8, 1) = .6006868709925981, (8, 2) = 2.087986026940522, (8, 3) = 1.2335280262456318, (8, 4) = -.9248176392470497, (8, 5) = -0.16002824214905727e-2, (8, 6) = -0.5048806225355029e-2, (8, 7) = .44714316698865636, (8, 8) = -0.4718601026820781e-1, (9, 1) = .7197059916406936, (9, 2) = 2.1051163426550845, (9, 3) = 1.1812439897480995, (9, 4) = -.9163988595413346, (9, 5) = -0.1879672842327696e-2, (9, 6) = -0.4786632705167547e-2, (9, 7) = .44424204136594453, (9, 8) = -0.5496153962800083e-1, (10, 1) = .847763297944333, (10, 2) = 2.123435337834906, (10, 3) = 1.126111344253534, (10, 4) = -.9036455603483291, (10, 5) = -0.21598771781540984e-2, (10, 6) = -0.4457593823292657e-2, (10, 7) = .4406714482113693, (10, 8) = -0.6288112123455601e-1, (11, 1) = .9843393499550938, (11, 2) = 2.1428285542537844, (11, 3) = 1.0687552320755083, (11, 4) = -.8876468667624571, (11, 5) = -0.24327255396754594e-2, (11, 6) = -0.4056474806134682e-2, (11, 7) = .4363874096782681, (11, 8) = -0.708810134362007e-1, (12, 1) = 1.1237836093097533, (12, 2) = 2.1624652853041466, (12, 3) = 1.011832180926541, (12, 4) = -.8695451341011282, (12, 5) = -0.2680896493999921e-2, (12, 6) = -0.3596845896471083e-2, (12, 7) = .43154294962730755, (12, 8) = -0.7863768804042866e-1, (13, 1) = 1.2656232819456894, (13, 2) = 2.182262739970384, (13, 3) = .9556973069001019, (13, 4) = -.8496857938539728, (13, 5) = -0.28991737520459543e-2, (13, 6) = -0.308051138535623e-2, (13, 7) = .42616132725811307, (13, 8) = -0.8616326952785293e-1, (14, 1) = 1.408780712702396, (14, 2) = 2.202058530406396, (14, 3) = .9008968332966889, (14, 4) = -.8284046501288216, (14, 5) = -0.3082067319124229e-2, (14, 6) = -0.2512223889450374e-2, (14, 7) = .4202955587319762, (14, 8) = -0.9344382370597953e-1, (15, 1) = 1.5530735139719447, (15, 2) = 2.2218189937848294, (15, 3) = .8475850007819113, (15, 4) = -.8058880695807592, (15, 5) = -0.32260533892462394e-2, (15, 6) = -0.18938930243389903e-2, (15, 7) = .41396826401074016, (15, 8) = -.10051502209225827, (16, 1) = 1.698410351647586, (16, 2) = 2.2415247347014464, (16, 3) = .7958644292913738, (16, 4) = -.7822956883101383, (16, 5) = -0.3327942234282917e-2, (16, 6) = -0.1226938539977064e-2, (16, 7) = .4071968303220844, (16, 8) = -.10741495835348656, (17, 1) = 1.844273487156983, (17, 2) = 2.2611008629453613, (17, 3) = .7459662823616324, (17, 4) = -.7578533262440998, (17, 5) = -0.33846255216261703e-2, (17, 6) = -0.514759129154577e-3, (17, 7) = .4000183529265164, (17, 8) = -.11415970645343881, (18, 1) = 1.9660647808809397, (18, 2) = 2.2772916881728023, (18, 3) = .7058493238111733, (18, 4) = -.7369636984802895, (18, 5) = -0.33955895702907526e-2, (18, 6) = 0.11169791160924508e-3, (18, 7) = .3937428184702135, (18, 8) = -.11968211404294021, (19, 1) = 2.0650332867510306, (19, 2) = 2.2903449057162386, (19, 3) = .6742856542468953, (19, 4) = -.7197253946637352, (19, 5) = -0.3379345969243999e-2, (19, 6) = 0.6415663100252571e-3, (19, 7) = .3884603780871002, (19, 8) = -.1241121401831915, (20, 1) = 2.1507903764298955, (20, 2) = 2.3015807528597905, (20, 3) = .6476842724902494, (20, 4) = -.7046314550195008, (20, 5) = -0.33465809221206125e-2, (20, 6) = 0.11155269740402043e-2, (20, 7) = .38375353649407395, (20, 8) = -.12791784549802465}, datatype = float[8], order = C_order); YP := Matrix(20, 8, {(1, 1) = 2.0053251936081944, (1, 2) = .20053251936081945, (1, 3) = .0, (1, 4) = -17.312630624062646, (1, 5) = -0.5612973334711832e-2, (1, 6) = -0.5612973334711833e-3, (1, 7) = .0, (1, 8) = -.18253803495142387, (2, 1) = 2.0134023775287604, (2, 2) = .2468778069909702, (2, 3) = -.45537569238094155, (2, 4) = -9.061708006510269, (2, 5) = -0.5621503550492427e-2, (2, 6) = 0.8101996042074228e-4, (2, 7) = -0.643170315469985e-2, (2, 8) = -.17745738418826795, (3, 1) = 2.0230651157366997, (3, 2) = .27224170855930807, (3, 3) = -.6993519698563813, (3, 4) = -4.603982074336188, (3, 5) = -0.5606444098831052e-2, (3, 6) = 0.7290939008536977e-3, (3, 7) = -0.12897383107368028e-1, (3, 8) = -.1716797927099076, (4, 1) = 2.0338411534786576, (4, 2) = .28598466509154097, (4, 3) = -.8260054974367521, (4, 4) = -2.2429513477533867, (4, 5) = -0.55657238487568815e-2, (4, 6) = 0.1382476891080489e-2, (4, 7) = -0.1939049275956177e-1, (4, 8) = -.16559199463104318, (5, 1) = 2.0455010701918805, (5, 2) = .29341184577722174, (5, 3) = -.8886173875803364, (5, 4) = -1.0167952207811748, (5, 5) = -0.5496822376964125e-2, (5, 6) = 0.20424101825759484e-2, (5, 7) = -0.25920924202723607e-1, (5, 8) = -.1594098341596127, (6, 1) = 2.0582142969946084, (6, 2) = .29752435619873707, (6, 3) = -.9170292649927623, (6, 4) = -.3830211788724602, (6, 5) = -0.5394261634780204e-2, (6, 6) = 0.2724413256105731e-2, (6, 7) = -0.32638394195837514e-1, (6, 8) = -.15313238968077217, (7, 1) = 2.072256296552187, (7, 2) = .2998724844760755, (7, 3) = -.9264685482085676, (7, 4) = -0.60460912944764036e-1, (7, 5) = -0.5249243795647192e-2, (7, 6) = 0.3443280713370689e-2, (7, 7) = -0.3968205092935408e-1, (7, 8) = -.14673837885869348, (8, 1) = 2.087986026940522, (8, 2) = .30128036661875723, (8, 3) = -.9248176392470497, (8, 4) = .10219738914667098, (8, 5) = -0.5048806225355029e-2, (8, 6) = 0.4213720404285278e-2, (8, 7) = -0.4718601026820781e-1, (8, 8) = -.14021601066572284, (9, 1) = 2.1051163426550845, (9, 2) = .3021515202196419, (9, 3) = -.9163988595413346, (9, 4) = .18477369158772106, (9, 5) = -0.4786632705167547e-2, (9, 6) = 0.5017490692283328e-2, (9, 7) = -0.5496153962800083e-1, (9, 8) = -.1338382357784468, (10, 1) = 2.123435337834906, (10, 2) = .30270808981832353, (10, 3) = -.9036455603483291, (10, 4) = .2323220188969241, (10, 5) = -0.4457593823292657e-2, (10, 6) = 0.5842352741126336e-2, (10, 7) = -0.6288112123455601e-1, (10, 8) = -.12780046682246987, (11, 1) = 2.1428285542537844, (11, 2) = .30304754210162416, (11, 3) = -.8876468667624571, (11, 4) = .2657246916082982, (11, 5) = -0.4056474806134682e-2, (11, 6) = 0.6682453863006602e-2, (11, 7) = -0.708810134362007e-1, (11, 8) = -.12222857720286623, (12, 1) = 2.1624652853041466, (12, 2) = .3032010419405275, (12, 3) = -.8695451341011282, (12, 4) = .29236487799593064, (12, 5) = -0.3596845896471083e-2, (12, 6) = 0.75040842143957575e-2, (12, 7) = -0.7863768804042866e-1, (12, 8) = -.11738445926466252, (13, 1) = 2.182262739970384, (13, 2) = .3031948533824357, (13, 3) = -.8496857938539728, (13, 4) = .3154535977139292, (13, 5) = -0.308051138535623e-2, (13, 6) = 0.8308275814249672e-2, (13, 7) = -0.8616326952785293e-1, (13, 8) = -.11325535903762853, (14, 1) = 2.202058530406396, (14, 2) = .3030463180535218, (14, 3) = -.8284046501288216, (14, 4) = .33590310410426294, (14, 5) = -0.2512223889450374e-2, (14, 6) = 0.9093159981652915e-2, (14, 7) = -0.9344382370597953e-1, (14, 8) = -.10983176344252321, (15, 1) = 2.2218189937848294, (15, 2) = .3027707063365589, (15, 3) = -.8058880695807592, (15, 4) = .3540740832535115, (15, 5) = -0.18938930243389903e-2, (15, 6) = 0.9862112906791929e-2, (15, 7) = -.10051502209225827, (15, 8) = -.1070705229055163, (16, 1) = 2.2415247347014464, (16, 2) = .3023820423011585, (16, 3) = -.7822956883101383, (16, 4) = .370114372923692, (16, 5) = -0.1226938539977064e-2, (16, 6) = 0.1061880198135095e-1, (16, 7) = -.10741495835348656, (16, 8) = -.10492796929864943, (17, 1) = 2.2611008629453613, (17, 2) = .3018954189189461, (17, 3) = -.7578533262440998, (17, 4) = .3840645990962983, (17, 5) = -0.514759129154577e-3, (17, 6) = 0.11364494732428424e-1, (17, 7) = -.11415970645343881, (17, 8) = -.10336653995058015, (18, 1) = 2.2772916881728023, (18, 2) = .3014255386653092, (18, 3) = -.7369636984802895, (18, 4) = .3941389673270303, (18, 5) = 0.11169791160924508e-3, (18, 6) = 0.11979381195454946e-1, (18, 7) = -.11968211404294021, (18, 8) = -.10247828836869974, (19, 1) = 2.2903449057162386, (19, 2) = .3010070300379974, (19, 3) = -.7197253946637352, (19, 4) = .4013082879540461, (19, 5) = 0.6415663100252571e-3, (19, 6) = 0.12475370649321676e-1, (19, 7) = -.1241121401831915, (19, 8) = -.10201522027713918, (20, 1) = 2.3015807528597905, (20, 2) = .30062122078792913, (20, 3) = -.7046314550195008, (20, 4) = .4068028054072272, (20, 5) = 0.11155269740402043e-2, (20, 6) = 0.12903337247206487e-1, (20, 7) = -.12791784549802465, (20, 8) = -.1017905260964087}, datatype = float[8], order = C_order); errproc := proc (x_bvp) local outpoint, X, Y, yout, L, V, i; option `Copyright (c) 2000 by Waterloo Maple Inc. All rights reserved.`; Digits := 15; outpoint := evalf(x_bvp); X := Vector(20, {(1) = .0, (2) = 0.35719097960602804e-1, (3) = 0.7275276815367403e-1, (4) = .11125780726700532, (5) = .15145014267940804, (6) = .19444503533587412, (7) = .24143614849513576, (8) = .2937559435180791, (9) = .3505250574913286, (10) = .4110930653557727, (11) = .4751191880069268, (12) = .5398972580085897, (13) = .6051900309982151, (14) = .6704942680985273, (15) = .735727856806597, (16) = .8008524401122463, (17) = .86564262177287, (18) = .9193141275004441, (19) = .962648766031185, (20) = 1.0}, datatype = float[8], order = C_order); Y := Matrix(20, 8, {(1, 1) = .0, (1, 2) = 0.54921958697355426e-14, (1, 3) = 0.6971945144726081e-12, (1, 4) = .0, (1, 5) = .0, (1, 6) = -0.43901173915795137e-15, (1, 7) = 0.34206397338666417e-13, (1, 8) = .0, (2, 1) = 0.16159101392451558e-11, (2, 2) = -0.2910488654920155e-10, (2, 3) = 0.29343668194507134e-9, (2, 4) = -0.52746234622770295e-8, (2, 5) = -0.38317312087969237e-15, (2, 6) = 0.6191912109753353e-14, (2, 7) = -0.32330205877042315e-13, (2, 8) = 0.12002986289969285e-11, (3, 1) = 0.11082816477196082e-11, (3, 2) = -0.19954323132225836e-10, (3, 3) = 0.20142404534947036e-9, (3, 4) = -0.36168789827019156e-8, (3, 5) = -0.2839165693988888e-15, (3, 6) = 0.4113737202260409e-14, (3, 7) = -0.1154872384201362e-13, (3, 8) = 0.822299765052115e-12, (4, 1) = 0.41719475846940715e-12, (4, 2) = -0.7497686506563506e-11, (4, 3) = 0.7617120864179665e-10, (4, 4) = -0.13602035420107753e-8, (4, 5) = -0.1437434685413802e-15, (4, 6) = 0.12782936234106492e-14, (4, 7) = 0.168941348677072e-13, (4, 8) = 0.3079698125136499e-12, (5, 1) = 0.13923650558859692e-13, (5, 2) = -0.21789360639298075e-12, (5, 3) = 0.29619080598388565e-11, (5, 4) = -0.41273229106130374e-10, (5, 5) = -0.689483950355724e-16, (5, 6) = -0.3712059911461185e-15, (5, 7) = 0.3287001554338945e-13, (5, 8) = 0.7142831988092938e-14, (6, 1) = -0.11887081953469728e-12, (6, 2) = 0.2181574911155293e-11, (6, 3) = -0.21165079574676062e-10, (6, 4) = 0.39328156563221595e-9, (6, 5) = -0.5555013495562232e-16, (6, 6) = -0.9156409590765567e-15, (6, 7) = 0.3909957070443503e-13, (6, 8) = -0.9238113108809545e-13, (7, 1) = -0.10981983336897058e-12, (7, 2) = 0.2018815376829209e-11, (7, 3) = -0.1954262834860141e-10, (7, 4) = 0.36391587748853606e-9, (7, 5) = -0.7708198818376909e-16, (7, 6) = -0.8684724152113567e-15, (7, 7) = 0.3828072164621264e-13, (7, 8) = -0.8621219818025532e-13, (8, 1) = -0.51928037868150286e-13, (8, 2) = 0.9956236333146792e-12, (8, 3) = -0.9242118263766255e-11, (8, 4) = 0.17815059148408043e-9, (8, 5) = -0.10932975415608019e-15, (8, 6) = -0.6131828261941697e-15, (8, 7) = 0.35726291036328094e-13, (8, 8) = -0.4451876658530887e-13, (9, 1) = -0.11934647247503647e-13, (9, 2) = 0.2919013993135085e-12, (9, 3) = -0.21617366350736754e-11, (9, 4) = 0.50396331234513934e-10, (9, 5) = -0.14163944555659412e-15, (9, 6) = -0.43309790752421276e-15, (9, 7) = 0.33526617419600833e-13, (9, 8) = -0.15977501436125068e-13, (10, 1) = 0.13208565425087037e-13, (10, 2) = -0.15847081725218992e-12, (10, 3) = 0.23433741039779506e-11, (10, 4) = -0.30905908745303125e-10, (10, 5) = -0.1645286662794927e-15, (10, 6) = -0.30592753539955245e-15, (10, 7) = 0.3235382123063574e-13, (10, 8) = 0.1805123485773834e-14, (11, 1) = 0.24662050447747244e-13, (11, 2) = -0.348217579068914e-12, (11, 3) = 0.4252113349225012e-11, (11, 4) = -0.6548857761160066e-10, (11, 5) = -0.19069119744849192e-15, (11, 6) = -0.2229445125034585e-15, (11, 7) = 0.3159759815944996e-13, (11, 8) = 0.9118422876938472e-14, (12, 1) = 0.24412668985452177e-13, (12, 2) = -0.289615699395915e-12, (12, 3) = 0.3693497847284046e-11, (12, 4) = -0.55649601014791604e-10, (12, 5) = -0.20811228401461676e-15, (12, 6) = -0.20302969110054756e-15, (12, 7) = 0.3146938732935611e-13, (12, 8) = 0.6333671614220484e-14, (13, 1) = 0.16772863021394482e-13, (13, 2) = -0.14137062143252341e-12, (13, 3) = 0.22119587057540023e-11, (13, 4) = -0.2911546303193717e-10, (13, 5) = -0.22135177034835522e-15, (13, 6) = -0.1919011244926562e-15, (13, 7) = 0.313829439892334e-13, (13, 8) = -0.13124019358286128e-15, (14, 1) = 0.8888427881511362e-14, (14, 2) = -0.25644348402156826e-13, (14, 3) = 0.1038517183671305e-11, (14, 4) = -0.816383160602506e-11, (14, 5) = -0.237026551948315e-15, (14, 6) = -0.17717604167912409e-15, (14, 7) = 0.3093352931564503e-13, (14, 8) = -0.5382408456860633e-14, (15, 1) = 0.7989585360263331e-14, (15, 2) = 0.27612580403612908e-13, (15, 3) = 0.4947999069557425e-12, (15, 4) = 0.1467568749646379e-11, (15, 5) = -0.24412295270340337e-15, (15, 6) = -0.14197651938089092e-15, (15, 7) = 0.31309528643974336e-13, (15, 8) = -0.8056805930570116e-14, (16, 1) = 0.9186964558409105e-14, (16, 2) = 0.4204420118148477e-13, (16, 3) = 0.35899768072547627e-12, (16, 4) = 0.3749578049851486e-11, (16, 5) = -0.2537554369447278e-15, (16, 6) = -0.9374741380831715e-16, (16, 7) = 0.3030370303112566e-13, (16, 8) = -0.8941309983947672e-14, (17, 1) = 0.10294217293009357e-13, (17, 2) = 0.37859937634768925e-13, (17, 3) = 0.3802183409528524e-12, (17, 4) = 0.32030841980451587e-11, (17, 5) = -0.25842630306577263e-15, (17, 6) = -0.39588189166863215e-16, (17, 7) = 0.2956930217335054e-13, (17, 8) = -0.9281966687242097e-14, (18, 1) = 0.11550213210690431e-13, (18, 2) = 0.41499788926915666e-13, (18, 3) = 0.36400302648677843e-12, (18, 4) = 0.3360796387690797e-11, (18, 5) = -0.25635721424309254e-15, (18, 6) = 0.66616290353902806e-17, (18, 7) = 0.2936138977674041e-13, (18, 8) = -0.9613957399795097e-14, (19, 1) = 0.13341105163441855e-13, (19, 2) = 0.3470091884239306e-13, (19, 3) = 0.43968048941247553e-12, (19, 4) = 0.1889434514139951e-11, (19, 5) = -0.2556973949581726e-15, (19, 6) = 0.4783464565165763e-16, (19, 7) = 0.2855046859214614e-13, (19, 8) = -0.955900033645097e-14, (20, 1) = 0.13499379198063885e-13, (20, 2) = 0.2766855175360778e-13, (20, 3) = 0.4862191357662044e-12, (20, 4) = 0.9713572994339805e-12, (20, 5) = -0.2519797692991319e-15, (20, 6) = 0.833067897759525e-16, (20, 7) = 0.2873313748899571e-13, (20, 8) = -0.95849608628296e-14}, datatype = float[8], order = C_order); if not type(outpoint, 'numeric') then if outpoint = "start" or outpoint = "left" then return X[1] elif outpoint = "right" then return X[20] elif outpoint = "order" then return 8 elif outpoint = "error" then return 0.527462346227703e-8 elif outpoint = "errorproc" then error "this is already the error procedure" elif outpoint = "rawdata" then return [8, 20, [Phi(Y), diff(Phi(Y), Y), Theta(Y), diff(Theta(Y), Y), U(Y), diff(U(Y), Y), W(Y), diff(W(Y), Y)], X, Y] else return ('procname')(x_bvp) end if end if; if outpoint < X[1] or X[20] < outpoint then error "solution is only defined in the range %1..%2", X[1], X[20] end if; V := array([1 = 4, 2 = 0]); if Digits <= trunc(evalhf(Digits)) then L := Vector(4, 'datatype' = 'float'[8]); yout := Vector(8, 'datatype' = 'float'[8]); evalhf(`dsolve/numeric/lagrange`(20, 8, X, Y, outpoint, var(yout), var(L), var(V))) else L := Vector(4, 'datatype' = 'sfloat'); yout := Vector(8, 'datatype' = 'sfloat'); `dsolve/numeric/lagrange`(20, 8, X, Y, outpoint, yout, L, V) end if; [Y = outpoint, seq('[Phi(Y), diff(Phi(Y), Y), Theta(Y), diff(Theta(Y), Y), U(Y), diff(U(Y), Y), W(Y), diff(W(Y), Y)]'[i] = yout[i], i = 1 .. 8)] end proc; if not type(outpoint, 'numeric') then if outpoint = "start" or outpoint = "left" then return X[1] elif outpoint = "method" then return "bvp" elif outpoint = "right" then return X[20] elif outpoint = "order" then return 8 elif outpoint = "error" then return 0.527462346227703e-8 elif outpoint = "errorproc" then return eval(errproc) elif outpoint = "rawdata" then return [8, 20, "depnames", X, Y, YP] else error "non-numeric value" end if end if; if outpoint < X[1] or X[20] < outpoint then error "solution is only defined in the range %1..%2", X[1], X[20] end if; if Digits <= trunc(evalhf(Digits)) and (_EnvInFsolve <> true or _EnvDSNumericSaveDigits <= trunc(evalhf(Digits))) then V := array( 1 .. 6, [( 1 ) = (7), ( 2 ) = (0), ( 3 ) = (false), ( 4 ) = (false), ( 5 ) = (false), ( 6 ) = (false)  ] ); L := Matrix(7, 2, {(1, 1) = .0, (1, 2) = .0, (2, 1) = .0, (2, 2) = .0, (3, 1) = .0, (3, 2) = .0, (4, 1) = .0, (4, 2) = .0, (5, 1) = .0, (5, 2) = .0, (6, 1) = .0, (6, 2) = .0, (7, 1) = .0, (7, 2) = .0}, datatype = float[8], order = C_order); yout := Vector(8, {(1) = .0, (2) = .0, (3) = .0, (4) = .0, (5) = .0, (6) = .0, (7) = .0, (8) = .0}, datatype = float[8]); evalhf(`dsolve/numeric/hermite`(20, 8, X, Y, YP, outpoint, var(yout), var(L), var(V))) else if _EnvInFsolve = true then Digits := _EnvDSNumericSaveDigits end if; V := array( 1 .. 6, [( 1 ) = (7), ( 2 ) = (0), ( 3 ) = (false), ( 4 ) = (false), ( 5 ) = (false), ( 6 ) = (false)  ] ); L := Matrix(7, 2, {(1, 1) = 0., (1, 2) = 0., (2, 1) = 0., (2, 2) = 0., (3, 1) = 0., (3, 2) = 0., (4, 1) = 0., (4, 2) = 0., (5, 1) = 0., (5, 2) = 0., (6, 1) = 0., (6, 2) = 0., (7, 1) = 0., (7, 2) = 0.}, order = C_order); yout := Vector(8, {(1) = 0., (2) = 0., (3) = 0., (4) = 0., (5) = 0., (6) = 0., (7) = 0., (8) = 0.}); `dsolve/numeric/hermite`(20, 8, X, Y, YP, outpoint, yout, L, V) end if; [outpoint, seq(yout[i], i = 1 .. 8)] end proc, (2) = Array(1..9, {(1) = 18446744078205204806, (2) = 18446744078205205334, (3) = 18446744078205205510, (4) = 18446744078205205686, (5) = 18446744078205205862, (6) = 18446744078205206038, (7) = 18446744078205210622, (8) = 18446744078205212030, (9) = 18446744078205214806}), (3) = [Y, Phi(Y), diff(Phi(Y), Y), Theta(Y), diff(Theta(Y), Y), U(Y), diff(U(Y), Y), W(Y), diff(W(Y), Y)], (4) = 0}); solnproc := data[1]; if not type(outpoint, 'numeric') then if outpoint = "solnprocedure" then return eval(solnproc) elif member(outpoint, ["start", "left", "right", "errorproc", "rawdata", "order", "error"]) then return solnproc(Y) elif outpoint = "sysvars" then return data[3] elif procname <> unknown then return ('procname')(Y) else `diff(W(Y),Y)` := pointto(data[2][9]); return ('`diff(W(Y),Y)`')(Y) end if end if; try res := solnproc(outpoint); res[9] catch: error  end try end proc]

 

[Y = proc (Y) local _res, _dat, _solnproc; option `Copyright (c) 1993 by the University of Waterloo. All rights reserved.`; _dat := Array(1..4, {(1) = proc (outpoint) local X, Y, YP, yout, errproc, L, V, i; option `Copyright (c) 2000 by Waterloo Maple Inc. All rights reserved.`; X := Vector(17, {(1) = .0, (2) = 0.53534222470661974e-1, (3) = .10845271758437264, (4) = .1649401849589618, (5) = .22390274235049956, (6) = .2859182575857521, (7) = .3503559453787789, (8) = .4163410481695927, (9) = .48344105161020273, (10) = .5506440573118462, (11) = .617869081532902, (12) = .6849538235849465, (13) = .7518883090500127, (14) = .8186731976686599, (15) = .8846348578534717, (16) = .9449335910398731, (17) = 1.0}, datatype = float[8], order = C_order); Y := Matrix(17, 8, {(1, 1) = .0, (1, 2) = 2.004485896552819, (1, 3) = 1.2191611225050978, (1, 4) = .0, (1, 5) = .0, (1, 6) = -0.27680096777816673e-2, (1, 7) = .24044572323613525, (1, 8) = .0, (2, 1) = .10761328358252858, (2, 2) = 2.016128871830098, (2, 3) = 1.210344653314836, (2, 4) = -.2840537895143862, (2, 5) = -0.14836759469719646e-3, (2, 6) = -0.27709675931239285e-2, (2, 7) = .24032693479486067, (2, 8) = -0.4406318219371238e-2, (3, 1) = .21869041152969454, (3, 2) = 2.0291433559831695, (3, 3) = 1.1912769397313012, (3, 4) = -.39229662780930885, (3, 5) = -0.30007793434459474e-3, (3, 6) = -0.27499874427327066e-2, (3, 7) = .23996542295130105, (3, 8) = -0.8725035354323372e-2, (4, 1) = .3337012761392636, (4, 2) = 2.0429897671946424, (4, 3) = 1.1678236922261134, (4, 4) = -.4310062679340168, (4, 5) = -0.45423437955162703e-3, (4, 6) = -0.27040560701133078e-2, (4, 7) = .23935195277989998, (4, 8) = -0.12962756637177775e-1, (5, 1) = .45459299869247327, (5, 2) = 2.057662535063293, (5, 3) = 1.1419877360928334, (5, 4) = -.44253104897557294, (5, 5) = -0.6116376149322017e-3, (5, 6) = -0.26308082262691194e-2, (5, 7) = .2384620711060775, (5, 8) = -0.1719131326360054e-1, (6, 1) = .5826819228592746, (6, 2) = 2.073221055080982, (6, 3) = 1.1144914600827447, (6, 4) = -.44308841686112815, (6, 5) = -0.7717061316079763e-3, (6, 6) = -0.25268820825469864e-2, (6, 7) = .23726274115218043, (6, 8) = -0.21459576924590554e-1, (7, 1) = .7167987972096799, (7, 2) = 2.08947619950995, (7, 3) = 1.086056890143478, (7, 4) = -.4389737607362558, (7, 5) = -0.9302943600816812e-3, (7, 6) = -0.2390594424088466e-2, (7, 7) = .23574127633912154, (7, 8) = -0.2574051940308905e-1, (8, 1) = .8552243270567446, (8, 2) = 2.106195264574372, (8, 3) = 1.0572917693463244, (8, 4) = -.43264711158503066, (8, 5) = -0.10826316887520824e-2, (8, 6) = -0.22218564772743038e-2, (8, 7) = .23390155954230954, (8, 8) = -0.3000437348175994e-1, (9, 1) = .9971223068298118, (9, 2) = 2.1232630331885978, (9, 3) = 1.0285120629771227, (9, 4) = -.42500299401726216, (9, 5) = -0.12251288650475198e-2, (9, 6) = -0.2020468558365479e-2, (9, 7) = .23174518317692583, (9, 8) = -0.3425900172455319e-1, (10, 1) = 1.1403880565193913, (10, 2) = 2.140417506246899, (10, 3) = 1.0002330820836949, (10, 4) = -.41646231318183635, (10, 5) = -0.13532955942893068e-2, (10, 6) = -0.17888606301975137e-2, (10, 7) = .22930093716600436, (10, 8) = -0.38479821645083984e-1, (11, 1) = 1.2848560371873616, (11, 2) = 2.157633123577406, (11, 3) = .972544889446594, (11, 4) = -.40716533065014626, (11, 5) = -0.14649243004438183e-2, (11, 6) = -0.15271629102679156e-2, (11, 7) = .22657233126055396, (11, 8) = -0.4270162917265048e-1, (12, 1) = 1.4301779815647468, (12, 2) = 2.174863731247791, (12, 3) = .9455607571201168, (12, 4) = -.39720406598091457, (12, 5) = -0.15577695442980035e-2, (12, 6) = -0.12357581444406495e-2, (12, 7) = .2235654383584271, (12, 8) = -0.4695236462385006e-1, (13, 1) = 1.5763280469043144, (13, 2) = 2.1921023602581298, (13, 3) = .919324532356313, (13, 4) = -.38663131375997584, (13, 5) = -0.16298993869593623e-2, (13, 6) = -0.9143069330842038e-3, (13, 7) = .22027879640220124, (13, 8) = -0.5126769828228454e-1, (14, 1) = 1.7233029085519174, (14, 2) = 2.2093450776401773, (14, 3) = .8938722201834354, (14, 4) = -.3754911823635348, (14, 5) = -0.1679380471624622e-2, (14, 6) = -0.56219261460254e-3, (14, 7) = .21670817213271942, (14, 8) = -0.55682461237423535e-1, (15, 1) = 1.8695977105744697, (15, 2) = 2.2264135693538774, (15, 3) = .8694821050689756, (15, 4) = -.36394605335189745, (15, 5) = -0.17041218582975867e-2, (15, 6) = -0.18261725768322983e-3, (15, 7) = .21288767717685325, (15, 8) = -0.60183468717778625e-1, (16, 1) = 2.004318834492311, (16, 2) = 2.24204728767058, (16, 3) = .8478660458197957, (16, 4) = -.3529520747186337, (16, 5) = -0.1703947052706393e-2, (16, 6) = 0.1930785046640255e-3, (16, 7) = .20913089435897195, (16, 8) = -0.6444836567685784e-1, (17, 1) = 2.1281739711634566, (17, 2) = 2.256347942326914, (17, 3) = .828714635927611, (17, 4) = -.3425707281447779, (17, 5) = -0.1683293592142335e-2, (17, 6) = 0.5610978640474452e-3, (17, 7) = .2054713542257018, (17, 8) = -0.6849045140856727e-1}, datatype = float[8], order = C_order); YP := Matrix(17, 8, {(1, 1) = 2.004485896552819, (1, 2) = .2004485896552819, (1, 3) = .0, (1, 4) = -8.292153797940426, (1, 5) = -0.27680096777816673e-2, (1, 6) = -0.27680096777816675e-3, (1, 7) = .0, (1, 8) = -0.8402771632859804e-1, (2, 1) = 2.016128871830098, (2, 2) = .23001826613444845, (2, 3) = -.2840537895143862, (2, 4) = -3.13441770281248, (2, 5) = -0.27709675931239285e-2, (2, 6) = 0.163535062624731e-3, (2, 7) = -0.4406318219371238e-2, (2, 8) = -0.8051065476343953e-1, (3, 1) = 2.0291433559831695, (3, 2) = .24214399837924783, (3, 3) = -.39229662780930885, (3, 4) = -1.1306573477773207, (3, 5) = -0.27499874427327066e-2, (3, 6) = 0.5975047911590665e-3, (3, 7) = -0.8725035354323372e-2, (3, 8) = -0.7679800207671836e-1, (4, 1) = 2.0429897671946424, (4, 2) = .24739960351286594, (4, 3) = -.4310062679340168, (4, 4) = -.36545074799939437, (4, 5) = -0.27040560701133078e-2, (4, 6) = 0.10258700567064467e-2, (4, 7) = -0.12962756637177775e-1, (4, 8) = -0.733178647266296e-1, (5, 1) = 2.057662535063293, (5, 2) = .25001935840388656, (5, 3) = -.44253104897557294, (5, 4) = -0.7399978327046661e-1, (5, 5) = -0.26308082262691194e-2, (5, 6) = 0.1456050503733142e-2, (5, 7) = -0.1719131326360054e-1, (5, 8) = -0.7020786512850703e-1, (6, 1) = 2.073221055080982, (6, 2) = .2516309471942111, (6, 3) = -.44308841686112815, (6, 4) = 0.37839269069686876e-1, (6, 5) = -0.25268820825469864e-2, (6, 6) = 0.18932694842043567e-2, (6, 7) = -0.21459576924590554e-1, (6, 8) = -0.6754754268148135e-1, (7, 1) = 2.08947619950995, (7, 2) = .25284499602462057, (7, 3) = -.4389737607362558, (7, 4) = 0.8348883070150659e-1, (7, 5) = -0.2390594424088466e-2, (7, 6) = 0.23349924979000586e-2, (7, 7) = -0.2574051940308905e-1, (7, 8) = -0.6543067224858429e-1, (8, 1) = 2.106195264574372, (8, 2) = .25388423761594026, (8, 3) = -.43264711158503066, (8, 4) = .10611979364119695, (8, 5) = -0.22218564772743038e-2, (8, 6) = 0.27782517004485635e-2, (8, 7) = -0.3000437348175994e-1, (8, 8) = -0.6391269504017137e-1, (9, 1) = 2.1232630331885978, (9, 2) = .254826602720586, (9, 3) = -.42500299401726216, (9, 4) = .12097209696727333, (9, 5) = -0.2020468558365479e-2, (9, 6) = 0.32238533166187716e-2, (9, 7) = -0.3425900172455319e-1, (9, 8) = -0.6300589673559556e-1, (10, 1) = 2.140417506246899, (10, 2) = .2556879819428735, (10, 3) = -.41646231318183635, (10, 4) = .13290449162359227, (10, 5) = -0.17888606301975137e-2, (10, 6) = 0.3669096101488647e-2, (10, 7) = -0.38479821645083984e-1, (10, 8) = -0.6270721241949895e-1, (11, 1) = 2.157633123577406, (11, 2) = .25647984542275526, (11, 3) = -.40716533065014626, (11, 4) = .1435291800412589, (11, 5) = -0.15271629102679156e-2, (11, 6) = 0.4117446626238257e-2, (11, 7) = -0.4270162917265048e-1, (11, 8) = -0.6298986667189467e-1, (12, 1) = 2.174863731247791, (12, 2) = .2572067797228706, (12, 3) = -.39720406598091457, (12, 4) = .15333236356321886, (12, 5) = -0.12357581444406495e-2, (12, 6) = 0.4571660647940941e-2, (12, 7) = -0.4695236462385006e-1, (12, 8) = -0.6382849416526458e-1, (13, 1) = 2.1921023602581298, (13, 2) = .25787336740181055, (13, 3) = -.38663131375997584, (13, 4) = .1624822790849878, (13, 5) = -0.9143069330842038e-3, (13, 6) = 0.5035339134920034e-2, (13, 7) = -0.5126769828228454e-1, (13, 8) = -0.652015962918004e-1, (14, 1) = 2.2093450776401773, (14, 2) = .2584836260003712, (14, 3) = -.3754911823635348, (14, 4) = .1710357675816148, (14, 5) = -0.56219261460254e-3, (14, 6) = 0.55120268622821e-2, (14, 7) = -0.55682461237423535e-1, (14, 8) = -0.6709278022281344e-1, (15, 1) = 2.2264135693538774, (15, 2) = .2590359622705775, (15, 3) = -.36394605335189745, (15, 4) = .17892695062925598, (15, 5) = -0.18261725768322983e-3, (15, 6) = 0.6000085146009539e-2, (15, 7) = -0.60183468717778625e-1, (15, 8) = -0.694634928107482e-1, (16, 1) = 2.24204728767058, (16, 2) = .25949993623892137, (16, 3) = -.3529520747186337, (16, 4) = .18564201748023373, (16, 5) = 0.1930785046640255e-3, (16, 6) = 0.6464144418152187e-2, (16, 7) = -0.6444836567685784e-1, (16, 8) = -0.72064344245832e-1, (17, 1) = 2.256347942326914, (17, 2) = .2598918670471692, (17, 3) = -.3425707281447779, (17, 4) = .19133352524628847, (17, 5) = 0.5610978640474452e-3, (17, 6) = 0.6905154927261472e-2, (17, 7) = -0.6849045140856727e-1, (17, 8) = -0.7480089956413064e-1}, datatype = float[8], order = C_order); errproc := proc (x_bvp) local outpoint, X, Y, yout, L, V, i; option `Copyright (c) 2000 by Waterloo Maple Inc. All rights reserved.`; Digits := 15; outpoint := evalf(x_bvp); X := Vector(17, {(1) = .0, (2) = 0.53534222470661974e-1, (3) = .10845271758437264, (4) = .1649401849589618, (5) = .22390274235049956, (6) = .2859182575857521, (7) = .3503559453787789, (8) = .4163410481695927, (9) = .48344105161020273, (10) = .5506440573118462, (11) = .617869081532902, (12) = .6849538235849465, (13) = .7518883090500127, (14) = .8186731976686599, (15) = .8846348578534717, (16) = .9449335910398731, (17) = 1.0}, datatype = float[8], order = C_order); Y := Matrix(17, 8, {(1, 1) = .0, (1, 2) = 0.974701409493594e-14, (1, 3) = 0.11070714321850284e-11, (1, 4) = .0, (1, 5) = .0, (1, 6) = -0.40147422745731446e-15, (1, 7) = 0.33400201225433743e-13, (1, 8) = .0, (2, 1) = 0.1921162340118244e-10, (2, 2) = -0.3461191969185685e-9, (2, 3) = 0.348162655186109e-8, (2, 4) = -0.6271069097014921e-7, (2, 5) = -0.44083904578914124e-14, (2, 6) = 0.7864782122574381e-13, (2, 7) = -0.7615257373076448e-12, (2, 8) = 0.14320272770963152e-10, (3, 1) = 0.4858164438956526e-11, (3, 2) = -0.8749774565350293e-10, (3, 3) = 0.8810144827003194e-9, (3, 4) = -0.15854202602290896e-7, (3, 5) = -0.11518852741264706e-14, (3, 6) = 0.19587086116865164e-13, (3, 7) = -0.16763878222471197e-12, (3, 8) = 0.36190720272202087e-11, (4, 1) = -0.9214298956066883e-12, (4, 2) = 0.16659679823195495e-10, (4, 3) = -0.16625504453455158e-9, (4, 4) = 0.30149808432875374e-8, (4, 5) = 0.14647843582380722e-15, (4, 6) = -0.4190484831341016e-14, (4, 7) = 0.7153516868827931e-13, (4, 8) = -0.6906759040620387e-12, (5, 1) = -0.12926109858483954e-11, (5, 2) = 0.23349590911856208e-10, (5, 3) = -0.2335616048413267e-9, (5, 4) = 0.4227488220978929e-8, (5, 5) = 0.20910939563572478e-15, (5, 6) = -0.5703467070228641e-14, (5, 7) = 0.8681617475433449e-13, (5, 8) = -0.9682187729096364e-12, (6, 1) = -0.5273132560878931e-12, (6, 2) = 0.9576232368968485e-11, (6, 3) = -0.9507536595042013e-10, (6, 4) = 0.17321089427289865e-8, (6, 5) = 0.1190343785923967e-16, (6, 6) = -0.25454281492655196e-14, (6, 7) = 0.5480690357027477e-13, (6, 8) = -0.3990225745944728e-12, (7, 1) = -0.2871959910659793e-13, (7, 2) = 0.6418597114810438e-12, (7, 3) = -0.5236367395785608e-11, (7, 4) = 0.1131905408390032e-9, (7, 5) = -0.12259542264124263e-15, (7, 6) = -0.4847513937360724e-15, (7, 7) = 0.3415047867667241e-13, (7, 8) = -0.2997016109011267e-13, (8, 1) = 0.10837747682884183e-12, (8, 2) = -0.18146875735491123e-11, (8, 3) = 0.19446206823867058e-10, (8, 4) = -0.3317150118168921e-9, (8, 5) = -0.1738412876161762e-15, (8, 6) = 0.10051965251199756e-15, (8, 7) = 0.28033454931697328e-13, (8, 8) = 0.7105838250478006e-13, (9, 1) = 0.8677792838525368e-13, (9, 2) = -0.14202050077924012e-11, (9, 3) = 0.15504572313254055e-10, (9, 4) = -0.26091953549042987e-9, (9, 5) = -0.18823298205671165e-15, (9, 6) = 0.4527521116185577e-16, (9, 7) = 0.287802770066534e-13, (9, 8) = 0.54266289589687415e-13, (10, 1) = 0.46144883978589113e-13, (10, 2) = -0.6194246905933911e-12, (10, 3) = 0.7450388019704153e-11, (10, 4) = -0.11592593034699017e-9, (10, 5) = -0.19499607277523123e-15, (10, 6) = -0.1042015196512001e-15, (10, 7) = 0.30340425563062427e-13, (10, 8) = 0.20632915855819092e-13, (11, 1) = 0.1767346870273472e-13, (11, 2) = -0.14600768634720558e-12, (11, 3) = 0.2673338759081347e-11, (11, 4) = -0.3006376915283939e-10, (11, 5) = -0.20488313176065172e-15, (11, 6) = -0.1732971394718215e-15, (11, 7) = 0.30732200737447824e-13, (11, 8) = 0.5233319649640873e-15, (12, 1) = 0.11245626735866965e-13, (12, 2) = 0.3673551700343391e-13, (12, 3) = 0.8807325440173342e-12, (12, 4) = 0.2049852877019028e-11, (12, 5) = -0.21712214498265684e-15, (12, 6) = -0.17084709426777449e-15, (12, 7) = 0.3081529334583978e-13, (12, 8) = -0.7250677471424232e-14, (13, 1) = 0.11117824829762174e-13, (13, 2) = 0.6907570225412402e-13, (13, 3) = 0.5153776492659588e-12, (13, 4) = 0.8458945212086467e-11, (13, 5) = -0.2273022343954062e-15, (13, 6) = -0.13325985687865733e-15, (13, 7) = 0.30468997801422883e-13, (13, 8) = -0.9198719230825988e-14, (14, 1) = 0.13659977308835914e-13, (14, 2) = 0.6452759507315054e-13, (14, 3) = 0.5988628875523386e-12, (14, 4) = 0.675716600998662e-11, (14, 5) = -0.23067545023998644e-15, (14, 6) = -0.8150844270725942e-16, (14, 7) = 0.29797329463917535e-13, (14, 8) = -0.9313637829429707e-14, (15, 1) = 0.1700465903890549e-13, (15, 2) = 0.5164345159149602e-13, (15, 3) = 0.7333052843121338e-12, (15, 4) = 0.4172643024222364e-11, (15, 5) = -0.23576336056510346e-15, (15, 6) = -0.26130367914242146e-16, (15, 7) = 0.29494592947041693e-13, (15, 8) = -0.9220365247131957e-14, (16, 1) = 0.17573997377089492e-13, (16, 2) = 0.4393208098687605e-13, (16, 3) = 0.7896060666820936e-12, (16, 4) = 0.30276169150891385e-11, (16, 5) = -0.2357145056507278e-15, (16, 6) = 0.26270437168450933e-16, (16, 7) = 0.2886167559607105e-13, (16, 8) = -0.937713993350323e-14, (17, 1) = 0.18357555292175227e-13, (17, 2) = 0.3808487657896779e-13, (17, 3) = 0.8550792670826255e-12, (17, 4) = 0.17097017815014903e-11, (17, 5) = -0.23341466639149357e-15, (17, 6) = 0.7698962683108776e-16, (17, 7) = 0.28272806743550176e-13, (17, 8) = -0.9472933173968198e-14}, datatype = float[8], order = C_order); if not type(outpoint, 'numeric') then if outpoint = "start" or outpoint = "left" then return X[1] elif outpoint = "right" then return X[17] elif outpoint = "order" then return 8 elif outpoint = "error" then return 0.627106909701494e-7 elif outpoint = "errorproc" then error "this is already the error procedure" elif outpoint = "rawdata" then return [8, 17, [Phi(Y), diff(Phi(Y), Y), Theta(Y), diff(Theta(Y), Y), U(Y), diff(U(Y), Y), W(Y), diff(W(Y), Y)], X, Y] else return ('procname')(x_bvp) end if end if; if outpoint < X[1] or X[17] < outpoint then error "solution is only defined in the range %1..%2", X[1], X[17] end if; V := array([1 = 4, 2 = 0]); if Digits <= trunc(evalhf(Digits)) then L := Vector(4, 'datatype' = 'float'[8]); yout := Vector(8, 'datatype' = 'float'[8]); evalhf(`dsolve/numeric/lagrange`(17, 8, X, Y, outpoint, var(yout), var(L), var(V))) else L := Vector(4, 'datatype' = 'sfloat'); yout := Vector(8, 'datatype' = 'sfloat'); `dsolve/numeric/lagrange`(17, 8, X, Y, outpoint, yout, L, V) end if; [Y = outpoint, seq('[Phi(Y), diff(Phi(Y), Y), Theta(Y), diff(Theta(Y), Y), U(Y), diff(U(Y), Y), W(Y), diff(W(Y), Y)]'[i] = yout[i], i = 1 .. 8)] end proc; if not type(outpoint, 'numeric') then if outpoint = "start" or outpoint = "left" then return X[1] elif outpoint = "method" then return "bvp" elif outpoint = "right" then return X[17] elif outpoint = "order" then return 8 elif outpoint = "error" then return 0.627106909701494e-7 elif outpoint = "errorproc" then return eval(errproc) elif outpoint = "rawdata" then return [8, 17, "depnames", X, Y, YP] else error "non-numeric value" end if end if; if outpoint < X[1] or X[17] < outpoint then error "solution is only defined in the range %1..%2", X[1], X[17] end if; if Digits <= trunc(evalhf(Digits)) and (_EnvInFsolve <> true or _EnvDSNumericSaveDigits <= trunc(evalhf(Digits))) then V := array( 1 .. 6, [( 1 ) = (7), ( 2 ) = (0), ( 3 ) = (false), ( 4 ) = (false), ( 5 ) = (false), ( 6 ) = (false)  ] ); L := Matrix(7, 2, {(1, 1) = .0, (1, 2) = .0, (2, 1) = .0, (2, 2) = .0, (3, 1) = .0, (3, 2) = .0, (4, 1) = .0, (4, 2) = .0, (5, 1) = .0, (5, 2) = .0, (6, 1) = .0, (6, 2) = .0, (7, 1) = .0, (7, 2) = .0}, datatype = float[8], order = C_order); yout := Vector(8, {(1) = .0, (2) = .0, (3) = .0, (4) = .0, (5) = .0, (6) = .0, (7) = .0, (8) = .0}, datatype = float[8]); evalhf(`dsolve/numeric/hermite`(17, 8, X, Y, YP, outpoint, var(yout), var(L), var(V))) else if _EnvInFsolve = true then Digits := _EnvDSNumericSaveDigits end if; V := array( 1 .. 6, [( 1 ) = (7), ( 2 ) = (0), ( 3 ) = (false), ( 4 ) = (false), ( 5 ) = (false), ( 6 ) = (false)  ] ); L := Matrix(7, 2, {(1, 1) = 0., (1, 2) = 0., (2, 1) = 0., (2, 2) = 0., (3, 1) = 0., (3, 2) = 0., (4, 1) = 0., (4, 2) = 0., (5, 1) = 0., (5, 2) = 0., (6, 1) = 0., (6, 2) = 0., (7, 1) = 0., (7, 2) = 0.}, order = C_order); yout := Vector(8, {(1) = 0., (2) = 0., (3) = 0., (4) = 0., (5) = 0., (6) = 0., (7) = 0., (8) = 0.}); `dsolve/numeric/hermite`(17, 8, X, Y, YP, outpoint, yout, L, V) end if; [outpoint, seq(yout[i], i = 1 .. 8)] end proc, (2) = Array(1..9, {(1) = 18446744078245721294, (2) = 18446744078245721470, (3) = 18446744078245721646, (4) = 18446744078245721822, (5) = 18446744078245721998, (6) = 18446744078245722174, (7) = 18446744078245722350, (8) = 18446744078245722526, (9) = 18446744078245722702}), (3) = [Y, Phi(Y), diff(Phi(Y), Y), Theta(Y), diff(Theta(Y), Y), U(Y), diff(U(Y), Y), W(Y), diff(W(Y), Y)], (4) = 0}); _solnproc := _dat[1]; if member(Y, ["last", 'last']) then _res := _solnproc("last"); if type(_res, 'list') then return _res[1] end if elif type(Y, `=`) and member(lhs(Y), ["initial", 'initial']) then if type(rhs(Y), 'list') then _res := _solnproc("initial" = [0, op(rhs(Y))]) else _res := _solnproc("initial" = [1, rhs(Y)]) end if; if type(_res, 'list') then return _res[1] end if elif Y = "sysvars" then return _dat[3] end if; Y end proc, Phi(Y) = proc (Y) local res, data, solnproc, `Phi(Y)`, outpoint; option `Copyright (c) 2000 by Waterloo Maple Inc. All rights reserved.`; _EnvDSNumericSaveDigits := Digits; Digits := 15; if _EnvInFsolve = true then outpoint := evalf[_EnvDSNumericSaveDigits](Y) else outpoint := evalf(Y) end if; data := Array(1..4, {(1) = proc (outpoint) local X, Y, YP, yout, errproc, L, V, i; option `Copyright (c) 2000 by Waterloo Maple Inc. All rights reserved.`; X := Vector(17, {(1) = .0, (2) = 0.53534222470661974e-1, (3) = .10845271758437264, (4) = .1649401849589618, (5) = .22390274235049956, (6) = .2859182575857521, (7) = .3503559453787789, (8) = .4163410481695927, (9) = .48344105161020273, (10) = .5506440573118462, (11) = .617869081532902, (12) = .6849538235849465, (13) = .7518883090500127, (14) = .8186731976686599, (15) = .8846348578534717, (16) = .9449335910398731, (17) = 1.0}, datatype = float[8], order = C_order); Y := Matrix(17, 8, {(1, 1) = .0, (1, 2) = 2.004485896552819, (1, 3) = 1.2191611225050978, (1, 4) = .0, (1, 5) = .0, (1, 6) = -0.27680096777816673e-2, (1, 7) = .24044572323613525, (1, 8) = .0, (2, 1) = .10761328358252858, (2, 2) = 2.016128871830098, (2, 3) = 1.210344653314836, (2, 4) = -.2840537895143862, (2, 5) = -0.14836759469719646e-3, (2, 6) = -0.27709675931239285e-2, (2, 7) = .24032693479486067, (2, 8) = -0.4406318219371238e-2, (3, 1) = .21869041152969454, (3, 2) = 2.0291433559831695, (3, 3) = 1.1912769397313012, (3, 4) = -.39229662780930885, (3, 5) = -0.30007793434459474e-3, (3, 6) = -0.27499874427327066e-2, (3, 7) = .23996542295130105, (3, 8) = -0.8725035354323372e-2, (4, 1) = .3337012761392636, (4, 2) = 2.0429897671946424, (4, 3) = 1.1678236922261134, (4, 4) = -.4310062679340168, (4, 5) = -0.45423437955162703e-3, (4, 6) = -0.27040560701133078e-2, (4, 7) = .23935195277989998, (4, 8) = -0.12962756637177775e-1, (5, 1) = .45459299869247327, (5, 2) = 2.057662535063293, (5, 3) = 1.1419877360928334, (5, 4) = -.44253104897557294, (5, 5) = -0.6116376149322017e-3, (5, 6) = -0.26308082262691194e-2, (5, 7) = .2384620711060775, (5, 8) = -0.1719131326360054e-1, (6, 1) = .5826819228592746, (6, 2) = 2.073221055080982, (6, 3) = 1.1144914600827447, (6, 4) = -.44308841686112815, (6, 5) = -0.7717061316079763e-3, (6, 6) = -0.25268820825469864e-2, (6, 7) = .23726274115218043, (6, 8) = -0.21459576924590554e-1, (7, 1) = .7167987972096799, (7, 2) = 2.08947619950995, (7, 3) = 1.086056890143478, (7, 4) = -.4389737607362558, (7, 5) = -0.9302943600816812e-3, (7, 6) = -0.2390594424088466e-2, (7, 7) = .23574127633912154, (7, 8) = -0.2574051940308905e-1, (8, 1) = .8552243270567446, (8, 2) = 2.106195264574372, (8, 3) = 1.0572917693463244, (8, 4) = -.43264711158503066, (8, 5) = -0.10826316887520824e-2, (8, 6) = -0.22218564772743038e-2, (8, 7) = .23390155954230954, (8, 8) = -0.3000437348175994e-1, (9, 1) = .9971223068298118, (9, 2) = 2.1232630331885978, (9, 3) = 1.0285120629771227, (9, 4) = -.42500299401726216, (9, 5) = -0.12251288650475198e-2, (9, 6) = -0.2020468558365479e-2, (9, 7) = .23174518317692583, (9, 8) = -0.3425900172455319e-1, (10, 1) = 1.1403880565193913, (10, 2) = 2.140417506246899, (10, 3) = 1.0002330820836949, (10, 4) = -.41646231318183635, (10, 5) = -0.13532955942893068e-2, (10, 6) = -0.17888606301975137e-2, (10, 7) = .22930093716600436, (10, 8) = -0.38479821645083984e-1, (11, 1) = 1.2848560371873616, (11, 2) = 2.157633123577406, (11, 3) = .972544889446594, (11, 4) = -.40716533065014626, (11, 5) = -0.14649243004438183e-2, (11, 6) = -0.15271629102679156e-2, (11, 7) = .22657233126055396, (11, 8) = -0.4270162917265048e-1, (12, 1) = 1.4301779815647468, (12, 2) = 2.174863731247791, (12, 3) = .9455607571201168, (12, 4) = -.39720406598091457, (12, 5) = -0.15577695442980035e-2, (12, 6) = -0.12357581444406495e-2, (12, 7) = .2235654383584271, (12, 8) = -0.4695236462385006e-1, (13, 1) = 1.5763280469043144, (13, 2) = 2.1921023602581298, (13, 3) = .919324532356313, (13, 4) = -.38663131375997584, (13, 5) = -0.16298993869593623e-2, (13, 6) = -0.9143069330842038e-3, (13, 7) = .22027879640220124, (13, 8) = -0.5126769828228454e-1, (14, 1) = 1.7233029085519174, (14, 2) = 2.2093450776401773, (14, 3) = .8938722201834354, (14, 4) = -.3754911823635348, (14, 5) = -0.1679380471624622e-2, (14, 6) = -0.56219261460254e-3, (14, 7) = .21670817213271942, (14, 8) = -0.55682461237423535e-1, (15, 1) = 1.8695977105744697, (15, 2) = 2.2264135693538774, (15, 3) = .8694821050689756, (15, 4) = -.36394605335189745, (15, 5) = -0.17041218582975867e-2, (15, 6) = -0.18261725768322983e-3, (15, 7) = .21288767717685325, (15, 8) = -0.60183468717778625e-1, (16, 1) = 2.004318834492311, (16, 2) = 2.24204728767058, (16, 3) = .8478660458197957, (16, 4) = -.3529520747186337, (16, 5) = -0.1703947052706393e-2, (16, 6) = 0.1930785046640255e-3, (16, 7) = .20913089435897195, (16, 8) = -0.6444836567685784e-1, (17, 1) = 2.1281739711634566, (17, 2) = 2.256347942326914, (17, 3) = .828714635927611, (17, 4) = -.3425707281447779, (17, 5) = -0.1683293592142335e-2, (17, 6) = 0.5610978640474452e-3, (17, 7) = .2054713542257018, (17, 8) = -0.6849045140856727e-1}, datatype = float[8], order = C_order); YP := Matrix(17, 8, {(1, 1) = 2.004485896552819, (1, 2) = .2004485896552819, (1, 3) = .0, (1, 4) = -8.292153797940426, (1, 5) = -0.27680096777816673e-2, (1, 6) = -0.27680096777816675e-3, (1, 7) = .0, (1, 8) = -0.8402771632859804e-1, (2, 1) = 2.016128871830098, (2, 2) = .23001826613444845, (2, 3) = -.2840537895143862, (2, 4) = -3.13441770281248, (2, 5) = -0.27709675931239285e-2, (2, 6) = 0.163535062624731e-3, (2, 7) = -0.4406318219371238e-2, (2, 8) = -0.8051065476343953e-1, (3, 1) = 2.0291433559831695, (3, 2) = .24214399837924783, (3, 3) = -.39229662780930885, (3, 4) = -1.1306573477773207, (3, 5) = -0.27499874427327066e-2, (3, 6) = 0.5975047911590665e-3, (3, 7) = -0.8725035354323372e-2, (3, 8) = -0.7679800207671836e-1, (4, 1) = 2.0429897671946424, (4, 2) = .24739960351286594, (4, 3) = -.4310062679340168, (4, 4) = -.36545074799939437, (4, 5) = -0.27040560701133078e-2, (4, 6) = 0.10258700567064467e-2, (4, 7) = -0.12962756637177775e-1, (4, 8) = -0.733178647266296e-1, (5, 1) = 2.057662535063293, (5, 2) = .25001935840388656, (5, 3) = -.44253104897557294, (5, 4) = -0.7399978327046661e-1, (5, 5) = -0.26308082262691194e-2, (5, 6) = 0.1456050503733142e-2, (5, 7) = -0.1719131326360054e-1, (5, 8) = -0.7020786512850703e-1, (6, 1) = 2.073221055080982, (6, 2) = .2516309471942111, (6, 3) = -.44308841686112815, (6, 4) = 0.37839269069686876e-1, (6, 5) = -0.25268820825469864e-2, (6, 6) = 0.18932694842043567e-2, (6, 7) = -0.21459576924590554e-1, (6, 8) = -0.6754754268148135e-1, (7, 1) = 2.08947619950995, (7, 2) = .25284499602462057, (7, 3) = -.4389737607362558, (7, 4) = 0.8348883070150659e-1, (7, 5) = -0.2390594424088466e-2, (7, 6) = 0.23349924979000586e-2, (7, 7) = -0.2574051940308905e-1, (7, 8) = -0.6543067224858429e-1, (8, 1) = 2.106195264574372, (8, 2) = .25388423761594026, (8, 3) = -.43264711158503066, (8, 4) = .10611979364119695, (8, 5) = -0.22218564772743038e-2, (8, 6) = 0.27782517004485635e-2, (8, 7) = -0.3000437348175994e-1, (8, 8) = -0.6391269504017137e-1, (9, 1) = 2.1232630331885978, (9, 2) = .254826602720586, (9, 3) = -.42500299401726216, (9, 4) = .12097209696727333, (9, 5) = -0.2020468558365479e-2, (9, 6) = 0.32238533166187716e-2, (9, 7) = -0.3425900172455319e-1, (9, 8) = -0.6300589673559556e-1, (10, 1) = 2.140417506246899, (10, 2) = .2556879819428735, (10, 3) = -.41646231318183635, (10, 4) = .13290449162359227, (10, 5) = -0.17888606301975137e-2, (10, 6) = 0.3669096101488647e-2, (10, 7) = -0.38479821645083984e-1, (10, 8) = -0.6270721241949895e-1, (11, 1) = 2.157633123577406, (11, 2) = .25647984542275526, (11, 3) = -.40716533065014626, (11, 4) = .1435291800412589, (11, 5) = -0.15271629102679156e-2, (11, 6) = 0.4117446626238257e-2, (11, 7) = -0.4270162917265048e-1, (11, 8) = -0.6298986667189467e-1, (12, 1) = 2.174863731247791, (12, 2) = .2572067797228706, (12, 3) = -.39720406598091457, (12, 4) = .15333236356321886, (12, 5) = -0.12357581444406495e-2, (12, 6) = 0.4571660647940941e-2, (12, 7) = -0.4695236462385006e-1, (12, 8) = -0.6382849416526458e-1, (13, 1) = 2.1921023602581298, (13, 2) = .25787336740181055, (13, 3) = -.38663131375997584, (13, 4) = .1624822790849878, (13, 5) = -0.9143069330842038e-3, (13, 6) = 0.5035339134920034e-2, (13, 7) = -0.5126769828228454e-1, (13, 8) = -0.652015962918004e-1, (14, 1) = 2.2093450776401773, (14, 2) = .2584836260003712, (14, 3) = -.3754911823635348, (14, 4) = .1710357675816148, (14, 5) = -0.56219261460254e-3, (14, 6) = 0.55120268622821e-2, (14, 7) = -0.55682461237423535e-1, (14, 8) = -0.6709278022281344e-1, (15, 1) = 2.2264135693538774, (15, 2) = .2590359622705775, (15, 3) = -.36394605335189745, (15, 4) = .17892695062925598, (15, 5) = -0.18261725768322983e-3, (15, 6) = 0.6000085146009539e-2, (15, 7) = -0.60183468717778625e-1, (15, 8) = -0.694634928107482e-1, (16, 1) = 2.24204728767058, (16, 2) = .25949993623892137, (16, 3) = -.3529520747186337, (16, 4) = .18564201748023373, (16, 5) = 0.1930785046640255e-3, (16, 6) = 0.6464144418152187e-2, (16, 7) = -0.6444836567685784e-1, (16, 8) = -0.72064344245832e-1, (17, 1) = 2.256347942326914, (17, 2) = .2598918670471692, (17, 3) = -.3425707281447779, (17, 4) = .19133352524628847, (17, 5) = 0.5610978640474452e-3, (17, 6) = 0.6905154927261472e-2, (17, 7) = -0.6849045140856727e-1, (17, 8) = -0.7480089956413064e-1}, datatype = float[8], order = C_order); errproc := proc (x_bvp) local outpoint, X, Y, yout, L, V, i; option `Copyright (c) 2000 by Waterloo Maple Inc. All rights reserved.`; Digits := 15; outpoint := evalf(x_bvp); X := Vector(17, {(1) = .0, (2) = 0.53534222470661974e-1, (3) = .10845271758437264, (4) = .1649401849589618, (5) = .22390274235049956, (6) = .2859182575857521, (7) = .3503559453787789, (8) = .4163410481695927, (9) = .48344105161020273, (10) = .5506440573118462, (11) = .617869081532902, (12) = .6849538235849465, (13) = .7518883090500127, (14) = .8186731976686599, (15) = .8846348578534717, (16) = .9449335910398731, (17) = 1.0}, datatype = float[8], order = C_order); Y := Matrix(17, 8, {(1, 1) = .0, (1, 2) = 0.974701409493594e-14, (1, 3) = 0.11070714321850284e-11, (1, 4) = .0, (1, 5) = .0, (1, 6) = -0.40147422745731446e-15, (1, 7) = 0.33400201225433743e-13, (1, 8) = .0, (2, 1) = 0.1921162340118244e-10, (2, 2) = -0.3461191969185685e-9, (2, 3) = 0.348162655186109e-8, (2, 4) = -0.6271069097014921e-7, (2, 5) = -0.44083904578914124e-14, (2, 6) = 0.7864782122574381e-13, (2, 7) = -0.7615257373076448e-12, (2, 8) = 0.14320272770963152e-10, (3, 1) = 0.4858164438956526e-11, (3, 2) = -0.8749774565350293e-10, (3, 3) = 0.8810144827003194e-9, (3, 4) = -0.15854202602290896e-7, (3, 5) = -0.11518852741264706e-14, (3, 6) = 0.19587086116865164e-13, (3, 7) = -0.16763878222471197e-12, (3, 8) = 0.36190720272202087e-11, (4, 1) = -0.9214298956066883e-12, (4, 2) = 0.16659679823195495e-10, (4, 3) = -0.16625504453455158e-9, (4, 4) = 0.30149808432875374e-8, (4, 5) = 0.14647843582380722e-15, (4, 6) = -0.4190484831341016e-14, (4, 7) = 0.7153516868827931e-13, (4, 8) = -0.6906759040620387e-12, (5, 1) = -0.12926109858483954e-11, (5, 2) = 0.23349590911856208e-10, (5, 3) = -0.2335616048413267e-9, (5, 4) = 0.4227488220978929e-8, (5, 5) = 0.20910939563572478e-15, (5, 6) = -0.5703467070228641e-14, (5, 7) = 0.8681617475433449e-13, (5, 8) = -0.9682187729096364e-12, (6, 1) = -0.5273132560878931e-12, (6, 2) = 0.9576232368968485e-11, (6, 3) = -0.9507536595042013e-10, (6, 4) = 0.17321089427289865e-8, (6, 5) = 0.1190343785923967e-16, (6, 6) = -0.25454281492655196e-14, (6, 7) = 0.5480690357027477e-13, (6, 8) = -0.3990225745944728e-12, (7, 1) = -0.2871959910659793e-13, (7, 2) = 0.6418597114810438e-12, (7, 3) = -0.5236367395785608e-11, (7, 4) = 0.1131905408390032e-9, (7, 5) = -0.12259542264124263e-15, (7, 6) = -0.4847513937360724e-15, (7, 7) = 0.3415047867667241e-13, (7, 8) = -0.2997016109011267e-13, (8, 1) = 0.10837747682884183e-12, (8, 2) = -0.18146875735491123e-11, (8, 3) = 0.19446206823867058e-10, (8, 4) = -0.3317150118168921e-9, (8, 5) = -0.1738412876161762e-15, (8, 6) = 0.10051965251199756e-15, (8, 7) = 0.28033454931697328e-13, (8, 8) = 0.7105838250478006e-13, (9, 1) = 0.8677792838525368e-13, (9, 2) = -0.14202050077924012e-11, (9, 3) = 0.15504572313254055e-10, (9, 4) = -0.26091953549042987e-9, (9, 5) = -0.18823298205671165e-15, (9, 6) = 0.4527521116185577e-16, (9, 7) = 0.287802770066534e-13, (9, 8) = 0.54266289589687415e-13, (10, 1) = 0.46144883978589113e-13, (10, 2) = -0.6194246905933911e-12, (10, 3) = 0.7450388019704153e-11, (10, 4) = -0.11592593034699017e-9, (10, 5) = -0.19499607277523123e-15, (10, 6) = -0.1042015196512001e-15, (10, 7) = 0.30340425563062427e-13, (10, 8) = 0.20632915855819092e-13, (11, 1) = 0.1767346870273472e-13, (11, 2) = -0.14600768634720558e-12, (11, 3) = 0.2673338759081347e-11, (11, 4) = -0.3006376915283939e-10, (11, 5) = -0.20488313176065172e-15, (11, 6) = -0.1732971394718215e-15, (11, 7) = 0.30732200737447824e-13, (11, 8) = 0.5233319649640873e-15, (12, 1) = 0.11245626735866965e-13, (12, 2) = 0.3673551700343391e-13, (12, 3) = 0.8807325440173342e-12, (12, 4) = 0.2049852877019028e-11, (12, 5) = -0.21712214498265684e-15, (12, 6) = -0.17084709426777449e-15, (12, 7) = 0.3081529334583978e-13, (12, 8) = -0.7250677471424232e-14, (13, 1) = 0.11117824829762174e-13, (13, 2) = 0.6907570225412402e-13, (13, 3) = 0.5153776492659588e-12, (13, 4) = 0.8458945212086467e-11, (13, 5) = -0.2273022343954062e-15, (13, 6) = -0.13325985687865733e-15, (13, 7) = 0.30468997801422883e-13, (13, 8) = -0.9198719230825988e-14, (14, 1) = 0.13659977308835914e-13, (14, 2) = 0.6452759507315054e-13, (14, 3) = 0.5988628875523386e-12, (14, 4) = 0.675716600998662e-11, (14, 5) = -0.23067545023998644e-15, (14, 6) = -0.8150844270725942e-16, (14, 7) = 0.29797329463917535e-13, (14, 8) = -0.9313637829429707e-14, (15, 1) = 0.1700465903890549e-13, (15, 2) = 0.5164345159149602e-13, (15, 3) = 0.7333052843121338e-12, (15, 4) = 0.4172643024222364e-11, (15, 5) = -0.23576336056510346e-15, (15, 6) = -0.26130367914242146e-16, (15, 7) = 0.29494592947041693e-13, (15, 8) = -0.9220365247131957e-14, (16, 1) = 0.17573997377089492e-13, (16, 2) = 0.4393208098687605e-13, (16, 3) = 0.7896060666820936e-12, (16, 4) = 0.30276169150891385e-11, (16, 5) = -0.2357145056507278e-15, (16, 6) = 0.26270437168450933e-16, (16, 7) = 0.2886167559607105e-13, (16, 8) = -0.937713993350323e-14, (17, 1) = 0.18357555292175227e-13, (17, 2) = 0.3808487657896779e-13, (17, 3) = 0.8550792670826255e-12, (17, 4) = 0.17097017815014903e-11, (17, 5) = -0.23341466639149357e-15, (17, 6) = 0.7698962683108776e-16, (17, 7) = 0.28272806743550176e-13, (17, 8) = -0.9472933173968198e-14}, datatype = float[8], order = C_order); if not type(outpoint, 'numeric') then if outpoint = "start" or outpoint = "left" then return X[1] elif outpoint = "right" then return X[17] elif outpoint = "order" then return 8 elif outpoint = "error" then return 0.627106909701494e-7 elif outpoint = "errorproc" then error "this is already the error procedure" elif outpoint = "rawdata" then return [8, 17, [Phi(Y), diff(Phi(Y), Y), Theta(Y), diff(Theta(Y), Y), U(Y), diff(U(Y), Y), W(Y), diff(W(Y), Y)], X, Y] else return ('procname')(x_bvp) end if end if; if outpoint < X[1] or X[17] < outpoint then error "solution is only defined in the range %1..%2", X[1], X[17] end if; V := array([1 = 4, 2 = 0]); if Digits <= trunc(evalhf(Digits)) then L := Vector(4, 'datatype' = 'float'[8]); yout := Vector(8, 'datatype' = 'float'[8]); evalhf(`dsolve/numeric/lagrange`(17, 8, X, Y, outpoint, var(yout), var(L), var(V))) else L := Vector(4, 'datatype' = 'sfloat'); yout := Vector(8, 'datatype' = 'sfloat'); `dsolve/numeric/lagrange`(17, 8, X, Y, outpoint, yout, L, V) end if; [Y = outpoint, seq('[Phi(Y), diff(Phi(Y), Y), Theta(Y), diff(Theta(Y), Y), U(Y), diff(U(Y), Y), W(Y), diff(W(Y), Y)]'[i] = yout[i], i = 1 .. 8)] end proc; if not type(outpoint, 'numeric') then if outpoint = "start" or outpoint = "left" then return X[1] elif outpoint = "method" then return "bvp" elif outpoint = "right" then return X[17] elif outpoint = "order" then return 8 elif outpoint = "error" then return 0.627106909701494e-7 elif outpoint = "errorproc" then return eval(errproc) elif outpoint = "rawdata" then return [8, 17, "depnames", X, Y, YP] else error "non-numeric value" end if end if; if outpoint < X[1] or X[17] < outpoint then error "solution is only defined in the range %1..%2", X[1], X[17] end if; if Digits <= trunc(evalhf(Digits)) and (_EnvInFsolve <> true or _EnvDSNumericSaveDigits <= trunc(evalhf(Digits))) then V := array( 1 .. 6, [( 1 ) = (7), ( 2 ) = (0), ( 3 ) = (false), ( 4 ) = (false), ( 5 ) = (false), ( 6 ) = (false)  ] ); L := Matrix(7, 2, {(1, 1) = .0, (1, 2) = .0, (2, 1) = .0, (2, 2) = .0, (3, 1) = .0, (3, 2) = .0, (4, 1) = .0, (4, 2) = .0, (5, 1) = .0, (5, 2) = .0, (6, 1) = .0, (6, 2) = .0, (7, 1) = .0, (7, 2) = .0}, datatype = float[8], order = C_order); yout := Vector(8, {(1) = .0, (2) = .0, (3) = .0, (4) = .0, (5) = .0, (6) = .0, (7) = .0, (8) = .0}, datatype = float[8]); evalhf(`dsolve/numeric/hermite`(17, 8, X, Y, YP, outpoint, var(yout), var(L), var(V))) else if _EnvInFsolve = true then Digits := _EnvDSNumericSaveDigits end if; V := array( 1 .. 6, [( 1 ) = (7), ( 2 ) = (0), ( 3 ) = (false), ( 4 ) = (false), ( 5 ) = (false), ( 6 ) = (false)  ] ); L := Matrix(7, 2, {(1, 1) = 0., (1, 2) = 0., (2, 1) = 0., (2, 2) = 0., (3, 1) = 0., (3, 2) = 0., (4, 1) = 0., (4, 2) = 0., (5, 1) = 0., (5, 2) = 0., (6, 1) = 0., (6, 2) = 0., (7, 1) = 0., (7, 2) = 0.}, order = C_order); yout := Vector(8, {(1) = 0., (2) = 0., (3) = 0., (4) = 0., (5) = 0., (6) = 0., (7) = 0., (8) = 0.}); `dsolve/numeric/hermite`(17, 8, X, Y, YP, outpoint, yout, L, V) end if; [outpoint, seq(yout[i], i = 1 .. 8)] end proc, (2) = Array(1..9, {(1) = 18446744078245721294, (2) = 18446744078245721470, (3) = 18446744078245721646, (4) = 18446744078245721822, (5) = 18446744078245721998, (6) = 18446744078245722174, (7) = 18446744078245722350, (8) = 18446744078245722526, (9) = 18446744078245722702}), (3) = [Y, Phi(Y), diff(Phi(Y), Y), Theta(Y), diff(Theta(Y), Y), U(Y), diff(U(Y), Y), W(Y), diff(W(Y), Y)], (4) = 0}); solnproc := data[1]; if not type(outpoint, 'numeric') then if outpoint = "solnprocedure" then return eval(solnproc) elif member(outpoint, ["start", "left", "right", "errorproc", "rawdata", "order", "error"]) then return solnproc(Y) elif outpoint = "sysvars" then return data[3] elif procname <> unknown then return ('procname')(Y) else `Phi(Y)` := pointto(data[2][2]); return ('`Phi(Y)`')(Y) end if end if; try res := solnproc(outpoint); res[2] catch: error  end try end proc, diff(Phi(Y), Y) = proc (Y) local res, data, solnproc, `diff(Phi(Y),Y)`, outpoint; option `Copyright (c) 2000 by Waterloo Maple Inc. All rights reserved.`; _EnvDSNumericSaveDigits := Digits; Digits := 15; if _EnvInFsolve = true then outpoint := evalf[_EnvDSNumericSaveDigits](Y) else outpoint := evalf(Y) end if; data := Array(1..4, {(1) = proc (outpoint) local X, Y, YP, yout, errproc, L, V, i; option `Copyright (c) 2000 by Waterloo Maple Inc. All rights reserved.`; X := Vector(17, {(1) = .0, (2) = 0.53534222470661974e-1, (3) = .10845271758437264, (4) = .1649401849589618, (5) = .22390274235049956, (6) = .2859182575857521, (7) = .3503559453787789, (8) = .4163410481695927, (9) = .48344105161020273, (10) = .5506440573118462, (11) = .617869081532902, (12) = .6849538235849465, (13) = .7518883090500127, (14) = .8186731976686599, (15) = .8846348578534717, (16) = .9449335910398731, (17) = 1.0}, datatype = float[8], order = C_order); Y := Matrix(17, 8, {(1, 1) = .0, (1, 2) = 2.004485896552819, (1, 3) = 1.2191611225050978, (1, 4) = .0, (1, 5) = .0, (1, 6) = -0.27680096777816673e-2, (1, 7) = .24044572323613525, (1, 8) = .0, (2, 1) = .10761328358252858, (2, 2) = 2.016128871830098, (2, 3) = 1.210344653314836, (2, 4) = -.2840537895143862, (2, 5) = -0.14836759469719646e-3, (2, 6) = -0.27709675931239285e-2, (2, 7) = .24032693479486067, (2, 8) = -0.4406318219371238e-2, (3, 1) = .21869041152969454, (3, 2) = 2.0291433559831695, (3, 3) = 1.1912769397313012, (3, 4) = -.39229662780930885, (3, 5) = -0.30007793434459474e-3, (3, 6) = -0.27499874427327066e-2, (3, 7) = .23996542295130105, (3, 8) = -0.8725035354323372e-2, (4, 1) = .3337012761392636, (4, 2) = 2.0429897671946424, (4, 3) = 1.1678236922261134, (4, 4) = -.4310062679340168, (4, 5) = -0.45423437955162703e-3, (4, 6) = -0.27040560701133078e-2, (4, 7) = .23935195277989998, (4, 8) = -0.12962756637177775e-1, (5, 1) = .45459299869247327, (5, 2) = 2.057662535063293, (5, 3) = 1.1419877360928334, (5, 4) = -.44253104897557294, (5, 5) = -0.6116376149322017e-3, (5, 6) = -0.26308082262691194e-2, (5, 7) = .2384620711060775, (5, 8) = -0.1719131326360054e-1, (6, 1) = .5826819228592746, (6, 2) = 2.073221055080982, (6, 3) = 1.1144914600827447, (6, 4) = -.44308841686112815, (6, 5) = -0.7717061316079763e-3, (6, 6) = -0.25268820825469864e-2, (6, 7) = .23726274115218043, (6, 8) = -0.21459576924590554e-1, (7, 1) = .7167987972096799, (7, 2) = 2.08947619950995, (7, 3) = 1.086056890143478, (7, 4) = -.4389737607362558, (7, 5) = -0.9302943600816812e-3, (7, 6) = -0.2390594424088466e-2, (7, 7) = .23574127633912154, (7, 8) = -0.2574051940308905e-1, (8, 1) = .8552243270567446, (8, 2) = 2.106195264574372, (8, 3) = 1.0572917693463244, (8, 4) = -.43264711158503066, (8, 5) = -0.10826316887520824e-2, (8, 6) = -0.22218564772743038e-2, (8, 7) = .23390155954230954, (8, 8) = -0.3000437348175994e-1, (9, 1) = .9971223068298118, (9, 2) = 2.1232630331885978, (9, 3) = 1.0285120629771227, (9, 4) = -.42500299401726216, (9, 5) = -0.12251288650475198e-2, (9, 6) = -0.2020468558365479e-2, (9, 7) = .23174518317692583, (9, 8) = -0.3425900172455319e-1, (10, 1) = 1.1403880565193913, (10, 2) = 2.140417506246899, (10, 3) = 1.0002330820836949, (10, 4) = -.41646231318183635, (10, 5) = -0.13532955942893068e-2, (10, 6) = -0.17888606301975137e-2, (10, 7) = .22930093716600436, (10, 8) = -0.38479821645083984e-1, (11, 1) = 1.2848560371873616, (11, 2) = 2.157633123577406, (11, 3) = .972544889446594, (11, 4) = -.40716533065014626, (11, 5) = -0.14649243004438183e-2, (11, 6) = -0.15271629102679156e-2, (11, 7) = .22657233126055396, (11, 8) = -0.4270162917265048e-1, (12, 1) = 1.4301779815647468, (12, 2) = 2.174863731247791, (12, 3) = .9455607571201168, (12, 4) = -.39720406598091457, (12, 5) = -0.15577695442980035e-2, (12, 6) = -0.12357581444406495e-2, (12, 7) = .2235654383584271, (12, 8) = -0.4695236462385006e-1, (13, 1) = 1.5763280469043144, (13, 2) = 2.1921023602581298, (13, 3) = .919324532356313, (13, 4) = -.38663131375997584, (13, 5) = -0.16298993869593623e-2, (13, 6) = -0.9143069330842038e-3, (13, 7) = .22027879640220124, (13, 8) = -0.5126769828228454e-1, (14, 1) = 1.7233029085519174, (14, 2) = 2.2093450776401773, (14, 3) = .8938722201834354, (14, 4) = -.3754911823635348, (14, 5) = -0.1679380471624622e-2, (14, 6) = -0.56219261460254e-3, (14, 7) = .21670817213271942, (14, 8) = -0.55682461237423535e-1, (15, 1) = 1.8695977105744697, (15, 2) = 2.2264135693538774, (15, 3) = .8694821050689756, (15, 4) = -.36394605335189745, (15, 5) = -0.17041218582975867e-2, (15, 6) = -0.18261725768322983e-3, (15, 7) = .21288767717685325, (15, 8) = -0.60183468717778625e-1, (16, 1) = 2.004318834492311, (16, 2) = 2.24204728767058, (16, 3) = .8478660458197957, (16, 4) = -.3529520747186337, (16, 5) = -0.1703947052706393e-2, (16, 6) = 0.1930785046640255e-3, (16, 7) = .20913089435897195, (16, 8) = -0.6444836567685784e-1, (17, 1) = 2.1281739711634566, (17, 2) = 2.256347942326914, (17, 3) = .828714635927611, (17, 4) = -.3425707281447779, (17, 5) = -0.1683293592142335e-2, (17, 6) = 0.5610978640474452e-3, (17, 7) = .2054713542257018, (17, 8) = -0.6849045140856727e-1}, datatype = float[8], order = C_order); YP := Matrix(17, 8, {(1, 1) = 2.004485896552819, (1, 2) = .2004485896552819, (1, 3) = .0, (1, 4) = -8.292153797940426, (1, 5) = -0.27680096777816673e-2, (1, 6) = -0.27680096777816675e-3, (1, 7) = .0, (1, 8) = -0.8402771632859804e-1, (2, 1) = 2.016128871830098, (2, 2) = .23001826613444845, (2, 3) = -.2840537895143862, (2, 4) = -3.13441770281248, (2, 5) = -0.27709675931239285e-2, (2, 6) = 0.163535062624731e-3, (2, 7) = -0.4406318219371238e-2, (2, 8) = -0.8051065476343953e-1, (3, 1) = 2.0291433559831695, (3, 2) = .24214399837924783, (3, 3) = -.39229662780930885, (3, 4) = -1.1306573477773207, (3, 5) = -0.27499874427327066e-2, (3, 6) = 0.5975047911590665e-3, (3, 7) = -0.8725035354323372e-2, (3, 8) = -0.7679800207671836e-1, (4, 1) = 2.0429897671946424, (4, 2) = .24739960351286594, (4, 3) = -.4310062679340168, (4, 4) = -.36545074799939437, (4, 5) = -0.27040560701133078e-2, (4, 6) = 0.10258700567064467e-2, (4, 7) = -0.12962756637177775e-1, (4, 8) = -0.733178647266296e-1, (5, 1) = 2.057662535063293, (5, 2) = .25001935840388656, (5, 3) = -.44253104897557294, (5, 4) = -0.7399978327046661e-1, (5, 5) = -0.26308082262691194e-2, (5, 6) = 0.1456050503733142e-2, (5, 7) = -0.1719131326360054e-1, (5, 8) = -0.7020786512850703e-1, (6, 1) = 2.073221055080982, (6, 2) = .2516309471942111, (6, 3) = -.44308841686112815, (6, 4) = 0.37839269069686876e-1, (6, 5) = -0.25268820825469864e-2, (6, 6) = 0.18932694842043567e-2, (6, 7) = -0.21459576924590554e-1, (6, 8) = -0.6754754268148135e-1, (7, 1) = 2.08947619950995, (7, 2) = .25284499602462057, (7, 3) = -.4389737607362558, (7, 4) = 0.8348883070150659e-1, (7, 5) = -0.2390594424088466e-2, (7, 6) = 0.23349924979000586e-2, (7, 7) = -0.2574051940308905e-1, (7, 8) = -0.6543067224858429e-1, (8, 1) = 2.106195264574372, (8, 2) = .25388423761594026, (8, 3) = -.43264711158503066, (8, 4) = .10611979364119695, (8, 5) = -0.22218564772743038e-2, (8, 6) = 0.27782517004485635e-2, (8, 7) = -0.3000437348175994e-1, (8, 8) = -0.6391269504017137e-1, (9, 1) = 2.1232630331885978, (9, 2) = .254826602720586, (9, 3) = -.42500299401726216, (9, 4) = .12097209696727333, (9, 5) = -0.2020468558365479e-2, (9, 6) = 0.32238533166187716e-2, (9, 7) = -0.3425900172455319e-1, (9, 8) = -0.6300589673559556e-1, (10, 1) = 2.140417506246899, (10, 2) = .2556879819428735, (10, 3) = -.41646231318183635, (10, 4) = .13290449162359227, (10, 5) = -0.17888606301975137e-2, (10, 6) = 0.3669096101488647e-2, (10, 7) = -0.38479821645083984e-1, (10, 8) = -0.6270721241949895e-1, (11, 1) = 2.157633123577406, (11, 2) = .25647984542275526, (11, 3) = -.40716533065014626, (11, 4) = .1435291800412589, (11, 5) = -0.15271629102679156e-2, (11, 6) = 0.4117446626238257e-2, (11, 7) = -0.4270162917265048e-1, (11, 8) = -0.6298986667189467e-1, (12, 1) = 2.174863731247791, (12, 2) = .2572067797228706, (12, 3) = -.39720406598091457, (12, 4) = .15333236356321886, (12, 5) = -0.12357581444406495e-2, (12, 6) = 0.4571660647940941e-2, (12, 7) = -0.4695236462385006e-1, (12, 8) = -0.6382849416526458e-1, (13, 1) = 2.1921023602581298, (13, 2) = .25787336740181055, (13, 3) = -.38663131375997584, (13, 4) = .1624822790849878, (13, 5) = -0.9143069330842038e-3, (13, 6) = 0.5035339134920034e-2, (13, 7) = -0.5126769828228454e-1, (13, 8) = -0.652015962918004e-1, (14, 1) = 2.2093450776401773, (14, 2) = .2584836260003712, (14, 3) = -.3754911823635348, (14, 4) = .1710357675816148, (14, 5) = -0.56219261460254e-3, (14, 6) = 0.55120268622821e-2, (14, 7) = -0.55682461237423535e-1, (14, 8) = -0.6709278022281344e-1, (15, 1) = 2.2264135693538774, (15, 2) = .2590359622705775, (15, 3) = -.36394605335189745, (15, 4) = .17892695062925598, (15, 5) = -0.18261725768322983e-3, (15, 6) = 0.6000085146009539e-2, (15, 7) = -0.60183468717778625e-1, (15, 8) = -0.694634928107482e-1, (16, 1) = 2.24204728767058, (16, 2) = .25949993623892137, (16, 3) = -.3529520747186337, (16, 4) = .18564201748023373, (16, 5) = 0.1930785046640255e-3, (16, 6) = 0.6464144418152187e-2, (16, 7) = -0.6444836567685784e-1, (16, 8) = -0.72064344245832e-1, (17, 1) = 2.256347942326914, (17, 2) = .2598918670471692, (17, 3) = -.3425707281447779, (17, 4) = .19133352524628847, (17, 5) = 0.5610978640474452e-3, (17, 6) = 0.6905154927261472e-2, (17, 7) = -0.6849045140856727e-1, (17, 8) = -0.7480089956413064e-1}, datatype = float[8], order = C_order); errproc := proc (x_bvp) local outpoint, X, Y, yout, L, V, i; option `Copyright (c) 2000 by Waterloo Maple Inc. All rights reserved.`; Digits := 15; outpoint := evalf(x_bvp); X := Vector(17, {(1) = .0, (2) = 0.53534222470661974e-1, (3) = .10845271758437264, (4) = .1649401849589618, (5) = .22390274235049956, (6) = .2859182575857521, (7) = .3503559453787789, (8) = .4163410481695927, (9) = .48344105161020273, (10) = .5506440573118462, (11) = .617869081532902, (12) = .6849538235849465, (13) = .7518883090500127, (14) = .8186731976686599, (15) = .8846348578534717, (16) = .9449335910398731, (17) = 1.0}, datatype = float[8], order = C_order); Y := Matrix(17, 8, {(1, 1) = .0, (1, 2) = 0.974701409493594e-14, (1, 3) = 0.11070714321850284e-11, (1, 4) = .0, (1, 5) = .0, (1, 6) = -0.40147422745731446e-15, (1, 7) = 0.33400201225433743e-13, (1, 8) = .0, (2, 1) = 0.1921162340118244e-10, (2, 2) = -0.3461191969185685e-9, (2, 3) = 0.348162655186109e-8, (2, 4) = -0.6271069097014921e-7, (2, 5) = -0.44083904578914124e-14, (2, 6) = 0.7864782122574381e-13, (2, 7) = -0.7615257373076448e-12, (2, 8) = 0.14320272770963152e-10, (3, 1) = 0.4858164438956526e-11, (3, 2) = -0.8749774565350293e-10, (3, 3) = 0.8810144827003194e-9, (3, 4) = -0.15854202602290896e-7, (3, 5) = -0.11518852741264706e-14, (3, 6) = 0.19587086116865164e-13, (3, 7) = -0.16763878222471197e-12, (3, 8) = 0.36190720272202087e-11, (4, 1) = -0.9214298956066883e-12, (4, 2) = 0.16659679823195495e-10, (4, 3) = -0.16625504453455158e-9, (4, 4) = 0.30149808432875374e-8, (4, 5) = 0.14647843582380722e-15, (4, 6) = -0.4190484831341016e-14, (4, 7) = 0.7153516868827931e-13, (4, 8) = -0.6906759040620387e-12, (5, 1) = -0.12926109858483954e-11, (5, 2) = 0.23349590911856208e-10, (5, 3) = -0.2335616048413267e-9, (5, 4) = 0.4227488220978929e-8, (5, 5) = 0.20910939563572478e-15, (5, 6) = -0.5703467070228641e-14, (5, 7) = 0.8681617475433449e-13, (5, 8) = -0.9682187729096364e-12, (6, 1) = -0.5273132560878931e-12, (6, 2) = 0.9576232368968485e-11, (6, 3) = -0.9507536595042013e-10, (6, 4) = 0.17321089427289865e-8, (6, 5) = 0.1190343785923967e-16, (6, 6) = -0.25454281492655196e-14, (6, 7) = 0.5480690357027477e-13, (6, 8) = -0.3990225745944728e-12, (7, 1) = -0.2871959910659793e-13, (7, 2) = 0.6418597114810438e-12, (7, 3) = -0.5236367395785608e-11, (7, 4) = 0.1131905408390032e-9, (7, 5) = -0.12259542264124263e-15, (7, 6) = -0.4847513937360724e-15, (7, 7) = 0.3415047867667241e-13, (7, 8) = -0.2997016109011267e-13, (8, 1) = 0.10837747682884183e-12, (8, 2) = -0.18146875735491123e-11, (8, 3) = 0.19446206823867058e-10, (8, 4) = -0.3317150118168921e-9, (8, 5) = -0.1738412876161762e-15, (8, 6) = 0.10051965251199756e-15, (8, 7) = 0.28033454931697328e-13, (8, 8) = 0.7105838250478006e-13, (9, 1) = 0.8677792838525368e-13, (9, 2) = -0.14202050077924012e-11, (9, 3) = 0.15504572313254055e-10, (9, 4) = -0.26091953549042987e-9, (9, 5) = -0.18823298205671165e-15, (9, 6) = 0.4527521116185577e-16, (9, 7) = 0.287802770066534e-13, (9, 8) = 0.54266289589687415e-13, (10, 1) = 0.46144883978589113e-13, (10, 2) = -0.6194246905933911e-12, (10, 3) = 0.7450388019704153e-11, (10, 4) = -0.11592593034699017e-9, (10, 5) = -0.19499607277523123e-15, (10, 6) = -0.1042015196512001e-15, (10, 7) = 0.30340425563062427e-13, (10, 8) = 0.20632915855819092e-13, (11, 1) = 0.1767346870273472e-13, (11, 2) = -0.14600768634720558e-12, (11, 3) = 0.2673338759081347e-11, (11, 4) = -0.3006376915283939e-10, (11, 5) = -0.20488313176065172e-15, (11, 6) = -0.1732971394718215e-15, (11, 7) = 0.30732200737447824e-13, (11, 8) = 0.5233319649640873e-15, (12, 1) = 0.11245626735866965e-13, (12, 2) = 0.3673551700343391e-13, (12, 3) = 0.8807325440173342e-12, (12, 4) = 0.2049852877019028e-11, (12, 5) = -0.21712214498265684e-15, (12, 6) = -0.17084709426777449e-15, (12, 7) = 0.3081529334583978e-13, (12, 8) = -0.7250677471424232e-14, (13, 1) = 0.11117824829762174e-13, (13, 2) = 0.6907570225412402e-13, (13, 3) = 0.5153776492659588e-12, (13, 4) = 0.8458945212086467e-11, (13, 5) = -0.2273022343954062e-15, (13, 6) = -0.13325985687865733e-15, (13, 7) = 0.30468997801422883e-13, (13, 8) = -0.9198719230825988e-14, (14, 1) = 0.13659977308835914e-13, (14, 2) = 0.6452759507315054e-13, (14, 3) = 0.5988628875523386e-12, (14, 4) = 0.675716600998662e-11, (14, 5) = -0.23067545023998644e-15, (14, 6) = -0.8150844270725942e-16, (14, 7) = 0.29797329463917535e-13, (14, 8) = -0.9313637829429707e-14, (15, 1) = 0.1700465903890549e-13, (15, 2) = 0.5164345159149602e-13, (15, 3) = 0.7333052843121338e-12, (15, 4) = 0.4172643024222364e-11, (15, 5) = -0.23576336056510346e-15, (15, 6) = -0.26130367914242146e-16, (15, 7) = 0.29494592947041693e-13, (15, 8) = -0.9220365247131957e-14, (16, 1) = 0.17573997377089492e-13, (16, 2) = 0.4393208098687605e-13, (16, 3) = 0.7896060666820936e-12, (16, 4) = 0.30276169150891385e-11, (16, 5) = -0.2357145056507278e-15, (16, 6) = 0.26270437168450933e-16, (16, 7) = 0.2886167559607105e-13, (16, 8) = -0.937713993350323e-14, (17, 1) = 0.18357555292175227e-13, (17, 2) = 0.3808487657896779e-13, (17, 3) = 0.8550792670826255e-12, (17, 4) = 0.17097017815014903e-11, (17, 5) = -0.23341466639149357e-15, (17, 6) = 0.7698962683108776e-16, (17, 7) = 0.28272806743550176e-13, (17, 8) = -0.9472933173968198e-14}, datatype = float[8], order = C_order); if not type(outpoint, 'numeric') then if outpoint = "start" or outpoint = "left" then return X[1] elif outpoint = "right" then return X[17] elif outpoint = "order" then return 8 elif outpoint = "error" then return 0.627106909701494e-7 elif outpoint = "errorproc" then error "this is already the error procedure" elif outpoint = "rawdata" then return [8, 17, [Phi(Y), diff(Phi(Y), Y), Theta(Y), diff(Theta(Y), Y), U(Y), diff(U(Y), Y), W(Y), diff(W(Y), Y)], X, Y] else return ('procname')(x_bvp) end if end if; if outpoint < X[1] or X[17] < outpoint then error "solution is only defined in the range %1..%2", X[1], X[17] end if; V := array([1 = 4, 2 = 0]); if Digits <= trunc(evalhf(Digits)) then L := Vector(4, 'datatype' = 'float'[8]); yout := Vector(8, 'datatype' = 'float'[8]); evalhf(`dsolve/numeric/lagrange`(17, 8, X, Y, outpoint, var(yout), var(L), var(V))) else L := Vector(4, 'datatype' = 'sfloat'); yout := Vector(8, 'datatype' = 'sfloat'); `dsolve/numeric/lagrange`(17, 8, X, Y, outpoint, yout, L, V) end if; [Y = outpoint, seq('[Phi(Y), diff(Phi(Y), Y), Theta(Y), diff(Theta(Y), Y), U(Y), diff(U(Y), Y), W(Y), diff(W(Y), Y)]'[i] = yout[i], i = 1 .. 8)] end proc; if not type(outpoint, 'numeric') then if outpoint = "start" or outpoint = "left" then return X[1] elif outpoint = "method" then return "bvp" elif outpoint = "right" then return X[17] elif outpoint = "order" then return 8 elif outpoint = "error" then return 0.627106909701494e-7 elif outpoint = "errorproc" then return eval(errproc) elif outpoint = "rawdata" then return [8, 17, "depnames", X, Y, YP] else error "non-numeric value" end if end if; if outpoint < X[1] or X[17] < outpoint then error "solution is only defined in the range %1..%2", X[1], X[17] end if; if Digits <= trunc(evalhf(Digits)) and (_EnvInFsolve <> true or _EnvDSNumericSaveDigits <= trunc(evalhf(Digits))) then V := array( 1 .. 6, [( 1 ) = (7), ( 2 ) = (0), ( 3 ) = (false), ( 4 ) = (false), ( 5 ) = (false), ( 6 ) = (false)  ] ); L := Matrix(7, 2, {(1, 1) = .0, (1, 2) = .0, (2, 1) = .0, (2, 2) = .0, (3, 1) = .0, (3, 2) = .0, (4, 1) = .0, (4, 2) = .0, (5, 1) = .0, (5, 2) = .0, (6, 1) = .0, (6, 2) = .0, (7, 1) = .0, (7, 2) = .0}, datatype = float[8], order = C_order); yout := Vector(8, {(1) = .0, (2) = .0, (3) = .0, (4) = .0, (5) = .0, (6) = .0, (7) = .0, (8) = .0}, datatype = float[8]); evalhf(`dsolve/numeric/hermite`(17, 8, X, Y, YP, outpoint, var(yout), var(L), var(V))) else if _EnvInFsolve = true then Digits := _EnvDSNumericSaveDigits end if; V := array( 1 .. 6, [( 1 ) = (7), ( 2 ) = (0), ( 3 ) = (false), ( 4 ) = (false), ( 5 ) = (false), ( 6 ) = (false)  ] ); L := Matrix(7, 2, {(1, 1) = 0., (1, 2) = 0., (2, 1) = 0., (2, 2) = 0., (3, 1) = 0., (3, 2) = 0., (4, 1) = 0., (4, 2) = 0., (5, 1) = 0., (5, 2) = 0., (6, 1) = 0., (6, 2) = 0., (7, 1) = 0., (7, 2) = 0.}, order = C_order); yout := Vector(8, {(1) = 0., (2) = 0., (3) = 0., (4) = 0., (5) = 0., (6) = 0., (7) = 0., (8) = 0.}); `dsolve/numeric/hermite`(17, 8, X, Y, YP, outpoint, yout, L, V) end if; [outpoint, seq(yout[i], i = 1 .. 8)] end proc, (2) = Array(1..9, {(1) = 18446744078245721294, (2) = 18446744078245721470, (3) = 18446744078245721646, (4) = 18446744078245721822, (5) = 18446744078245721998, (6) = 18446744078245722174, (7) = 18446744078245722350, (8) = 18446744078245722526, (9) = 18446744078245722702}), (3) = [Y, Phi(Y), diff(Phi(Y), Y), Theta(Y), diff(Theta(Y), Y), U(Y), diff(U(Y), Y), W(Y), diff(W(Y), Y)], (4) = 0}); solnproc := data[1]; if not type(outpoint, 'numeric') then if outpoint = "solnprocedure" then return eval(solnproc) elif member(outpoint, ["start", "left", "right", "errorproc", "rawdata", "order", "error"]) then return solnproc(Y) elif outpoint = "sysvars" then return data[3] elif procname <> unknown then return ('procname')(Y) else `diff(Phi(Y),Y)` := pointto(data[2][3]); return ('`diff(Phi(Y),Y)`')(Y) end if end if; try res := solnproc(outpoint); res[3] catch: error  end try end proc, Theta(Y) = proc (Y) local res, data, solnproc, `Theta(Y)`, outpoint; option `Copyright (c) 2000 by Waterloo Maple Inc. All rights reserved.`; _EnvDSNumericSaveDigits := Digits; Digits := 15; if _EnvInFsolve = true then outpoint := evalf[_EnvDSNumericSaveDigits](Y) else outpoint := evalf(Y) end if; data := Array(1..4, {(1) = proc (outpoint) local X, Y, YP, yout, errproc, L, V, i; option `Copyright (c) 2000 by Waterloo Maple Inc. All rights reserved.`; X := Vector(17, {(1) = .0, (2) = 0.53534222470661974e-1, (3) = .10845271758437264, (4) = .1649401849589618, (5) = .22390274235049956, (6) = .2859182575857521, (7) = .3503559453787789, (8) = .4163410481695927, (9) = .48344105161020273, (10) = .5506440573118462, (11) = .617869081532902, (12) = .6849538235849465, (13) = .7518883090500127, (14) = .8186731976686599, (15) = .8846348578534717, (16) = .9449335910398731, (17) = 1.0}, datatype = float[8], order = C_order); Y := Matrix(17, 8, {(1, 1) = .0, (1, 2) = 2.004485896552819, (1, 3) = 1.2191611225050978, (1, 4) = .0, (1, 5) = .0, (1, 6) = -0.27680096777816673e-2, (1, 7) = .24044572323613525, (1, 8) = .0, (2, 1) = .10761328358252858, (2, 2) = 2.016128871830098, (2, 3) = 1.210344653314836, (2, 4) = -.2840537895143862, (2, 5) = -0.14836759469719646e-3, (2, 6) = -0.27709675931239285e-2, (2, 7) = .24032693479486067, (2, 8) = -0.4406318219371238e-2, (3, 1) = .21869041152969454, (3, 2) = 2.0291433559831695, (3, 3) = 1.1912769397313012, (3, 4) = -.39229662780930885, (3, 5) = -0.30007793434459474e-3, (3, 6) = -0.27499874427327066e-2, (3, 7) = .23996542295130105, (3, 8) = -0.8725035354323372e-2, (4, 1) = .3337012761392636, (4, 2) = 2.0429897671946424, (4, 3) = 1.1678236922261134, (4, 4) = -.4310062679340168, (4, 5) = -0.45423437955162703e-3, (4, 6) = -0.27040560701133078e-2, (4, 7) = .23935195277989998, (4, 8) = -0.12962756637177775e-1, (5, 1) = .45459299869247327, (5, 2) = 2.057662535063293, (5, 3) = 1.1419877360928334, (5, 4) = -.44253104897557294, (5, 5) = -0.6116376149322017e-3, (5, 6) = -0.26308082262691194e-2, (5, 7) = .2384620711060775, (5, 8) = -0.1719131326360054e-1, (6, 1) = .5826819228592746, (6, 2) = 2.073221055080982, (6, 3) = 1.1144914600827447, (6, 4) = -.44308841686112815, (6, 5) = -0.7717061316079763e-3, (6, 6) = -0.25268820825469864e-2, (6, 7) = .23726274115218043, (6, 8) = -0.21459576924590554e-1, (7, 1) = .7167987972096799, (7, 2) = 2.08947619950995, (7, 3) = 1.086056890143478, (7, 4) = -.4389737607362558, (7, 5) = -0.9302943600816812e-3, (7, 6) = -0.2390594424088466e-2, (7, 7) = .23574127633912154, (7, 8) = -0.2574051940308905e-1, (8, 1) = .8552243270567446, (8, 2) = 2.106195264574372, (8, 3) = 1.0572917693463244, (8, 4) = -.43264711158503066, (8, 5) = -0.10826316887520824e-2, (8, 6) = -0.22218564772743038e-2, (8, 7) = .23390155954230954, (8, 8) = -0.3000437348175994e-1, (9, 1) = .9971223068298118, (9, 2) = 2.1232630331885978, (9, 3) = 1.0285120629771227, (9, 4) = -.42500299401726216, (9, 5) = -0.12251288650475198e-2, (9, 6) = -0.2020468558365479e-2, (9, 7) = .23174518317692583, (9, 8) = -0.3425900172455319e-1, (10, 1) = 1.1403880565193913, (10, 2) = 2.140417506246899, (10, 3) = 1.0002330820836949, (10, 4) = -.41646231318183635, (10, 5) = -0.13532955942893068e-2, (10, 6) = -0.17888606301975137e-2, (10, 7) = .22930093716600436, (10, 8) = -0.38479821645083984e-1, (11, 1) = 1.2848560371873616, (11, 2) = 2.157633123577406, (11, 3) = .972544889446594, (11, 4) = -.40716533065014626, (11, 5) = -0.14649243004438183e-2, (11, 6) = -0.15271629102679156e-2, (11, 7) = .22657233126055396, (11, 8) = -0.4270162917265048e-1, (12, 1) = 1.4301779815647468, (12, 2) = 2.174863731247791, (12, 3) = .9455607571201168, (12, 4) = -.39720406598091457, (12, 5) = -0.15577695442980035e-2, (12, 6) = -0.12357581444406495e-2, (12, 7) = .2235654383584271, (12, 8) = -0.4695236462385006e-1, (13, 1) = 1.5763280469043144, (13, 2) = 2.1921023602581298, (13, 3) = .919324532356313, (13, 4) = -.38663131375997584, (13, 5) = -0.16298993869593623e-2, (13, 6) = -0.9143069330842038e-3, (13, 7) = .22027879640220124, (13, 8) = -0.5126769828228454e-1, (14, 1) = 1.7233029085519174, (14, 2) = 2.2093450776401773, (14, 3) = .8938722201834354, (14, 4) = -.3754911823635348, (14, 5) = -0.1679380471624622e-2, (14, 6) = -0.56219261460254e-3, (14, 7) = .21670817213271942, (14, 8) = -0.55682461237423535e-1, (15, 1) = 1.8695977105744697, (15, 2) = 2.2264135693538774, (15, 3) = .8694821050689756, (15, 4) = -.36394605335189745, (15, 5) = -0.17041218582975867e-2, (15, 6) = -0.18261725768322983e-3, (15, 7) = .21288767717685325, (15, 8) = -0.60183468717778625e-1, (16, 1) = 2.004318834492311, (16, 2) = 2.24204728767058, (16, 3) = .8478660458197957, (16, 4) = -.3529520747186337, (16, 5) = -0.1703947052706393e-2, (16, 6) = 0.1930785046640255e-3, (16, 7) = .20913089435897195, (16, 8) = -0.6444836567685784e-1, (17, 1) = 2.1281739711634566, (17, 2) = 2.256347942326914, (17, 3) = .828714635927611, (17, 4) = -.3425707281447779, (17, 5) = -0.1683293592142335e-2, (17, 6) = 0.5610978640474452e-3, (17, 7) = .2054713542257018, (17, 8) = -0.6849045140856727e-1}, datatype = float[8], order = C_order); YP := Matrix(17, 8, {(1, 1) = 2.004485896552819, (1, 2) = .2004485896552819, (1, 3) = .0, (1, 4) = -8.292153797940426, (1, 5) = -0.27680096777816673e-2, (1, 6) = -0.27680096777816675e-3, (1, 7) = .0, (1, 8) = -0.8402771632859804e-1, (2, 1) = 2.016128871830098, (2, 2) = .23001826613444845, (2, 3) = -.2840537895143862, (2, 4) = -3.13441770281248, (2, 5) = -0.27709675931239285e-2, (2, 6) = 0.163535062624731e-3, (2, 7) = -0.4406318219371238e-2, (2, 8) = -0.8051065476343953e-1, (3, 1) = 2.0291433559831695, (3, 2) = .24214399837924783, (3, 3) = -.39229662780930885, (3, 4) = -1.1306573477773207, (3, 5) = -0.27499874427327066e-2, (3, 6) = 0.5975047911590665e-3, (3, 7) = -0.8725035354323372e-2, (3, 8) = -0.7679800207671836e-1, (4, 1) = 2.0429897671946424, (4, 2) = .24739960351286594, (4, 3) = -.4310062679340168, (4, 4) = -.36545074799939437, (4, 5) = -0.27040560701133078e-2, (4, 6) = 0.10258700567064467e-2, (4, 7) = -0.12962756637177775e-1, (4, 8) = -0.733178647266296e-1, (5, 1) = 2.057662535063293, (5, 2) = .25001935840388656, (5, 3) = -.44253104897557294, (5, 4) = -0.7399978327046661e-1, (5, 5) = -0.26308082262691194e-2, (5, 6) = 0.1456050503733142e-2, (5, 7) = -0.1719131326360054e-1, (5, 8) = -0.7020786512850703e-1, (6, 1) = 2.073221055080982, (6, 2) = .2516309471942111, (6, 3) = -.44308841686112815, (6, 4) = 0.37839269069686876e-1, (6, 5) = -0.25268820825469864e-2, (6, 6) = 0.18932694842043567e-2, (6, 7) = -0.21459576924590554e-1, (6, 8) = -0.6754754268148135e-1, (7, 1) = 2.08947619950995, (7, 2) = .25284499602462057, (7, 3) = -.4389737607362558, (7, 4) = 0.8348883070150659e-1, (7, 5) = -0.2390594424088466e-2, (7, 6) = 0.23349924979000586e-2, (7, 7) = -0.2574051940308905e-1, (7, 8) = -0.6543067224858429e-1, (8, 1) = 2.106195264574372, (8, 2) = .25388423761594026, (8, 3) = -.43264711158503066, (8, 4) = .10611979364119695, (8, 5) = -0.22218564772743038e-2, (8, 6) = 0.27782517004485635e-2, (8, 7) = -0.3000437348175994e-1, (8, 8) = -0.6391269504017137e-1, (9, 1) = 2.1232630331885978, (9, 2) = .254826602720586, (9, 3) = -.42500299401726216, (9, 4) = .12097209696727333, (9, 5) = -0.2020468558365479e-2, (9, 6) = 0.32238533166187716e-2, (9, 7) = -0.3425900172455319e-1, (9, 8) = -0.6300589673559556e-1, (10, 1) = 2.140417506246899, (10, 2) = .2556879819428735, (10, 3) = -.41646231318183635, (10, 4) = .13290449162359227, (10, 5) = -0.17888606301975137e-2, (10, 6) = 0.3669096101488647e-2, (10, 7) = -0.38479821645083984e-1, (10, 8) = -0.6270721241949895e-1, (11, 1) = 2.157633123577406, (11, 2) = .25647984542275526, (11, 3) = -.40716533065014626, (11, 4) = .1435291800412589, (11, 5) = -0.15271629102679156e-2, (11, 6) = 0.4117446626238257e-2, (11, 7) = -0.4270162917265048e-1, (11, 8) = -0.6298986667189467e-1, (12, 1) = 2.174863731247791, (12, 2) = .2572067797228706, (12, 3) = -.39720406598091457, (12, 4) = .15333236356321886, (12, 5) = -0.12357581444406495e-2, (12, 6) = 0.4571660647940941e-2, (12, 7) = -0.4695236462385006e-1, (12, 8) = -0.6382849416526458e-1, (13, 1) = 2.1921023602581298, (13, 2) = .25787336740181055, (13, 3) = -.38663131375997584, (13, 4) = .1624822790849878, (13, 5) = -0.9143069330842038e-3, (13, 6) = 0.5035339134920034e-2, (13, 7) = -0.5126769828228454e-1, (13, 8) = -0.652015962918004e-1, (14, 1) = 2.2093450776401773, (14, 2) = .2584836260003712, (14, 3) = -.3754911823635348, (14, 4) = .1710357675816148, (14, 5) = -0.56219261460254e-3, (14, 6) = 0.55120268622821e-2, (14, 7) = -0.55682461237423535e-1, (14, 8) = -0.6709278022281344e-1, (15, 1) = 2.2264135693538774, (15, 2) = .2590359622705775, (15, 3) = -.36394605335189745, (15, 4) = .17892695062925598, (15, 5) = -0.18261725768322983e-3, (15, 6) = 0.6000085146009539e-2, (15, 7) = -0.60183468717778625e-1, (15, 8) = -0.694634928107482e-1, (16, 1) = 2.24204728767058, (16, 2) = .25949993623892137, (16, 3) = -.3529520747186337, (16, 4) = .18564201748023373, (16, 5) = 0.1930785046640255e-3, (16, 6) = 0.6464144418152187e-2, (16, 7) = -0.6444836567685784e-1, (16, 8) = -0.72064344245832e-1, (17, 1) = 2.256347942326914, (17, 2) = .2598918670471692, (17, 3) = -.3425707281447779, (17, 4) = .19133352524628847, (17, 5) = 0.5610978640474452e-3, (17, 6) = 0.6905154927261472e-2, (17, 7) = -0.6849045140856727e-1, (17, 8) = -0.7480089956413064e-1}, datatype = float[8], order = C_order); errproc := proc (x_bvp) local outpoint, X, Y, yout, L, V, i; option `Copyright (c) 2000 by Waterloo Maple Inc. All rights reserved.`; Digits := 15; outpoint := evalf(x_bvp); X := Vector(17, {(1) = .0, (2) = 0.53534222470661974e-1, (3) = .10845271758437264, (4) = .1649401849589618, (5) = .22390274235049956, (6) = .2859182575857521, (7) = .3503559453787789, (8) = .4163410481695927, (9) = .48344105161020273, (10) = .5506440573118462, (11) = .617869081532902, (12) = .6849538235849465, (13) = .7518883090500127, (14) = .8186731976686599, (15) = .8846348578534717, (16) = .9449335910398731, (17) = 1.0}, datatype = float[8], order = C_order); Y := Matrix(17, 8, {(1, 1) = .0, (1, 2) = 0.974701409493594e-14, (1, 3) = 0.11070714321850284e-11, (1, 4) = .0, (1, 5) = .0, (1, 6) = -0.40147422745731446e-15, (1, 7) = 0.33400201225433743e-13, (1, 8) = .0, (2, 1) = 0.1921162340118244e-10, (2, 2) = -0.3461191969185685e-9, (2, 3) = 0.348162655186109e-8, (2, 4) = -0.6271069097014921e-7, (2, 5) = -0.44083904578914124e-14, (2, 6) = 0.7864782122574381e-13, (2, 7) = -0.7615257373076448e-12, (2, 8) = 0.14320272770963152e-10, (3, 1) = 0.4858164438956526e-11, (3, 2) = -0.8749774565350293e-10, (3, 3) = 0.8810144827003194e-9, (3, 4) = -0.15854202602290896e-7, (3, 5) = -0.11518852741264706e-14, (3, 6) = 0.19587086116865164e-13, (3, 7) = -0.16763878222471197e-12, (3, 8) = 0.36190720272202087e-11, (4, 1) = -0.9214298956066883e-12, (4, 2) = 0.16659679823195495e-10, (4, 3) = -0.16625504453455158e-9, (4, 4) = 0.30149808432875374e-8, (4, 5) = 0.14647843582380722e-15, (4, 6) = -0.4190484831341016e-14, (4, 7) = 0.7153516868827931e-13, (4, 8) = -0.6906759040620387e-12, (5, 1) = -0.12926109858483954e-11, (5, 2) = 0.23349590911856208e-10, (5, 3) = -0.2335616048413267e-9, (5, 4) = 0.4227488220978929e-8, (5, 5) = 0.20910939563572478e-15, (5, 6) = -0.5703467070228641e-14, (5, 7) = 0.8681617475433449e-13, (5, 8) = -0.9682187729096364e-12, (6, 1) = -0.5273132560878931e-12, (6, 2) = 0.9576232368968485e-11, (6, 3) = -0.9507536595042013e-10, (6, 4) = 0.17321089427289865e-8, (6, 5) = 0.1190343785923967e-16, (6, 6) = -0.25454281492655196e-14, (6, 7) = 0.5480690357027477e-13, (6, 8) = -0.3990225745944728e-12, (7, 1) = -0.2871959910659793e-13, (7, 2) = 0.6418597114810438e-12, (7, 3) = -0.5236367395785608e-11, (7, 4) = 0.1131905408390032e-9, (7, 5) = -0.12259542264124263e-15, (7, 6) = -0.4847513937360724e-15, (7, 7) = 0.3415047867667241e-13, (7, 8) = -0.2997016109011267e-13, (8, 1) = 0.10837747682884183e-12, (8, 2) = -0.18146875735491123e-11, (8, 3) = 0.19446206823867058e-10, (8, 4) = -0.3317150118168921e-9, (8, 5) = -0.1738412876161762e-15, (8, 6) = 0.10051965251199756e-15, (8, 7) = 0.28033454931697328e-13, (8, 8) = 0.7105838250478006e-13, (9, 1) = 0.8677792838525368e-13, (9, 2) = -0.14202050077924012e-11, (9, 3) = 0.15504572313254055e-10, (9, 4) = -0.26091953549042987e-9, (9, 5) = -0.18823298205671165e-15, (9, 6) = 0.4527521116185577e-16, (9, 7) = 0.287802770066534e-13, (9, 8) = 0.54266289589687415e-13, (10, 1) = 0.46144883978589113e-13, (10, 2) = -0.6194246905933911e-12, (10, 3) = 0.7450388019704153e-11, (10, 4) = -0.11592593034699017e-9, (10, 5) = -0.19499607277523123e-15, (10, 6) = -0.1042015196512001e-15, (10, 7) = 0.30340425563062427e-13, (10, 8) = 0.20632915855819092e-13, (11, 1) = 0.1767346870273472e-13, (11, 2) = -0.14600768634720558e-12, (11, 3) = 0.2673338759081347e-11, (11, 4) = -0.3006376915283939e-10, (11, 5) = -0.20488313176065172e-15, (11, 6) = -0.1732971394718215e-15, (11, 7) = 0.30732200737447824e-13, (11, 8) = 0.5233319649640873e-15, (12, 1) = 0.11245626735866965e-13, (12, 2) = 0.3673551700343391e-13, (12, 3) = 0.8807325440173342e-12, (12, 4) = 0.2049852877019028e-11, (12, 5) = -0.21712214498265684e-15, (12, 6) = -0.17084709426777449e-15, (12, 7) = 0.3081529334583978e-13, (12, 8) = -0.7250677471424232e-14, (13, 1) = 0.11117824829762174e-13, (13, 2) = 0.6907570225412402e-13, (13, 3) = 0.5153776492659588e-12, (13, 4) = 0.8458945212086467e-11, (13, 5) = -0.2273022343954062e-15, (13, 6) = -0.13325985687865733e-15, (13, 7) = 0.30468997801422883e-13, (13, 8) = -0.9198719230825988e-14, (14, 1) = 0.13659977308835914e-13, (14, 2) = 0.6452759507315054e-13, (14, 3) = 0.5988628875523386e-12, (14, 4) = 0.675716600998662e-11, (14, 5) = -0.23067545023998644e-15, (14, 6) = -0.8150844270725942e-16, (14, 7) = 0.29797329463917535e-13, (14, 8) = -0.9313637829429707e-14, (15, 1) = 0.1700465903890549e-13, (15, 2) = 0.5164345159149602e-13, (15, 3) = 0.7333052843121338e-12, (15, 4) = 0.4172643024222364e-11, (15, 5) = -0.23576336056510346e-15, (15, 6) = -0.26130367914242146e-16, (15, 7) = 0.29494592947041693e-13, (15, 8) = -0.9220365247131957e-14, (16, 1) = 0.17573997377089492e-13, (16, 2) = 0.4393208098687605e-13, (16, 3) = 0.7896060666820936e-12, (16, 4) = 0.30276169150891385e-11, (16, 5) = -0.2357145056507278e-15, (16, 6) = 0.26270437168450933e-16, (16, 7) = 0.2886167559607105e-13, (16, 8) = -0.937713993350323e-14, (17, 1) = 0.18357555292175227e-13, (17, 2) = 0.3808487657896779e-13, (17, 3) = 0.8550792670826255e-12, (17, 4) = 0.17097017815014903e-11, (17, 5) = -0.23341466639149357e-15, (17, 6) = 0.7698962683108776e-16, (17, 7) = 0.28272806743550176e-13, (17, 8) = -0.9472933173968198e-14}, datatype = float[8], order = C_order); if not type(outpoint, 'numeric') then if outpoint = "start" or outpoint = "left" then return X[1] elif outpoint = "right" then return X[17] elif outpoint = "order" then return 8 elif outpoint = "error" then return 0.627106909701494e-7 elif outpoint = "errorproc" then error "this is already the error procedure" elif outpoint = "rawdata" then return [8, 17, [Phi(Y), diff(Phi(Y), Y), Theta(Y), diff(Theta(Y), Y), U(Y), diff(U(Y), Y), W(Y), diff(W(Y), Y)], X, Y] else return ('procname')(x_bvp) end if end if; if outpoint < X[1] or X[17] < outpoint then error "solution is only defined in the range %1..%2", X[1], X[17] end if; V := array([1 = 4, 2 = 0]); if Digits <= trunc(evalhf(Digits)) then L := Vector(4, 'datatype' = 'float'[8]); yout := Vector(8, 'datatype' = 'float'[8]); evalhf(`dsolve/numeric/lagrange`(17, 8, X, Y, outpoint, var(yout), var(L), var(V))) else L := Vector(4, 'datatype' = 'sfloat'); yout := Vector(8, 'datatype' = 'sfloat'); `dsolve/numeric/lagrange`(17, 8, X, Y, outpoint, yout, L, V) end if; [Y = outpoint, seq('[Phi(Y), diff(Phi(Y), Y), Theta(Y), diff(Theta(Y), Y), U(Y), diff(U(Y), Y), W(Y), diff(W(Y), Y)]'[i] = yout[i], i = 1 .. 8)] end proc; if not type(outpoint, 'numeric') then if outpoint = "start" or outpoint = "left" then return X[1] elif outpoint = "method" then return "bvp" elif outpoint = "right" then return X[17] elif outpoint = "order" then return 8 elif outpoint = "error" then return 0.627106909701494e-7 elif outpoint = "errorproc" then return eval(errproc) elif outpoint = "rawdata" then return [8, 17, "depnames", X, Y, YP] else error "non-numeric value" end if end if; if outpoint < X[1] or X[17] < outpoint then error "solution is only defined in the range %1..%2", X[1], X[17] end if; if Digits <= trunc(evalhf(Digits)) and (_EnvInFsolve <> true or _EnvDSNumericSaveDigits <= trunc(evalhf(Digits))) then V := array( 1 .. 6, [( 1 ) = (7), ( 2 ) = (0), ( 3 ) = (false), ( 4 ) = (false), ( 5 ) = (false), ( 6 ) = (false)  ] ); L := Matrix(7, 2, {(1, 1) = .0, (1, 2) = .0, (2, 1) = .0, (2, 2) = .0, (3, 1) = .0, (3, 2) = .0, (4, 1) = .0, (4, 2) = .0, (5, 1) = .0, (5, 2) = .0, (6, 1) = .0, (6, 2) = .0, (7, 1) = .0, (7, 2) = .0}, datatype = float[8], order = C_order); yout := Vector(8, {(1) = .0, (2) = .0, (3) = .0, (4) = .0, (5) = .0, (6) = .0, (7) = .0, (8) = .0}, datatype = float[8]); evalhf(`dsolve/numeric/hermite`(17, 8, X, Y, YP, outpoint, var(yout), var(L), var(V))) else if _EnvInFsolve = true then Digits := _EnvDSNumericSaveDigits end if; V := array( 1 .. 6, [( 1 ) = (7), ( 2 ) = (0), ( 3 ) = (false), ( 4 ) = (false), ( 5 ) = (false), ( 6 ) = (false)  ] ); L := Matrix(7, 2, {(1, 1) = 0., (1, 2) = 0., (2, 1) = 0., (2, 2) = 0., (3, 1) = 0., (3, 2) = 0., (4, 1) = 0., (4, 2) = 0., (5, 1) = 0., (5, 2) = 0., (6, 1) = 0., (6, 2) = 0., (7, 1) = 0., (7, 2) = 0.}, order = C_order); yout := Vector(8, {(1) = 0., (2) = 0., (3) = 0., (4) = 0., (5) = 0., (6) = 0., (7) = 0., (8) = 0.}); `dsolve/numeric/hermite`(17, 8, X, Y, YP, outpoint, yout, L, V) end if; [outpoint, seq(yout[i], i = 1 .. 8)] end proc, (2) = Array(1..9, {(1) = 18446744078245721294, (2) = 18446744078245721470, (3) = 18446744078245721646, (4) = 18446744078245721822, (5) = 18446744078245721998, (6) = 18446744078245722174, (7) = 18446744078245722350, (8) = 18446744078245722526, (9) = 18446744078245722702}), (3) = [Y, Phi(Y), diff(Phi(Y), Y), Theta(Y), diff(Theta(Y), Y), U(Y), diff(U(Y), Y), W(Y), diff(W(Y), Y)], (4) = 0}); solnproc := data[1]; if not type(outpoint, 'numeric') then if outpoint = "solnprocedure" then return eval(solnproc) elif member(outpoint, ["start", "left", "right", "errorproc", "rawdata", "order", "error"]) then return solnproc(Y) elif outpoint = "sysvars" then return data[3] elif procname <> unknown then return ('procname')(Y) else `Theta(Y)` := pointto(data[2][4]); return ('`Theta(Y)`')(Y) end if end if; try res := solnproc(outpoint); res[4] catch: error  end try end proc, diff(Theta(Y), Y) = proc (Y) local res, data, solnproc, `diff(Theta(Y),Y)`, outpoint; option `Copyright (c) 2000 by Waterloo Maple Inc. All rights reserved.`; _EnvDSNumericSaveDigits := Digits; Digits := 15; if _EnvInFsolve = true then outpoint := evalf[_EnvDSNumericSaveDigits](Y) else outpoint := evalf(Y) end if; data := Array(1..4, {(1) = proc (outpoint) local X, Y, YP, yout, errproc, L, V, i; option `Copyright (c) 2000 by Waterloo Maple Inc. All rights reserved.`; X := Vector(17, {(1) = .0, (2) = 0.53534222470661974e-1, (3) = .10845271758437264, (4) = .1649401849589618, (5) = .22390274235049956, (6) = .2859182575857521, (7) = .3503559453787789, (8) = .4163410481695927, (9) = .48344105161020273, (10) = .5506440573118462, (11) = .617869081532902, (12) = .6849538235849465, (13) = .7518883090500127, (14) = .8186731976686599, (15) = .8846348578534717, (16) = .9449335910398731, (17) = 1.0}, datatype = float[8], order = C_order); Y := Matrix(17, 8, {(1, 1) = .0, (1, 2) = 2.004485896552819, (1, 3) = 1.2191611225050978, (1, 4) = .0, (1, 5) = .0, (1, 6) = -0.27680096777816673e-2, (1, 7) = .24044572323613525, (1, 8) = .0, (2, 1) = .10761328358252858, (2, 2) = 2.016128871830098, (2, 3) = 1.210344653314836, (2, 4) = -.2840537895143862, (2, 5) = -0.14836759469719646e-3, (2, 6) = -0.27709675931239285e-2, (2, 7) = .24032693479486067, (2, 8) = -0.4406318219371238e-2, (3, 1) = .21869041152969454, (3, 2) = 2.0291433559831695, (3, 3) = 1.1912769397313012, (3, 4) = -.39229662780930885, (3, 5) = -0.30007793434459474e-3, (3, 6) = -0.27499874427327066e-2, (3, 7) = .23996542295130105, (3, 8) = -0.8725035354323372e-2, (4, 1) = .3337012761392636, (4, 2) = 2.0429897671946424, (4, 3) = 1.1678236922261134, (4, 4) = -.4310062679340168, (4, 5) = -0.45423437955162703e-3, (4, 6) = -0.27040560701133078e-2, (4, 7) = .23935195277989998, (4, 8) = -0.12962756637177775e-1, (5, 1) = .45459299869247327, (5, 2) = 2.057662535063293, (5, 3) = 1.1419877360928334, (5, 4) = -.44253104897557294, (5, 5) = -0.6116376149322017e-3, (5, 6) = -0.26308082262691194e-2, (5, 7) = .2384620711060775, (5, 8) = -0.1719131326360054e-1, (6, 1) = .5826819228592746, (6, 2) = 2.073221055080982, (6, 3) = 1.1144914600827447, (6, 4) = -.44308841686112815, (6, 5) = -0.7717061316079763e-3, (6, 6) = -0.25268820825469864e-2, (6, 7) = .23726274115218043, (6, 8) = -0.21459576924590554e-1, (7, 1) = .7167987972096799, (7, 2) = 2.08947619950995, (7, 3) = 1.086056890143478, (7, 4) = -.4389737607362558, (7, 5) = -0.9302943600816812e-3, (7, 6) = -0.2390594424088466e-2, (7, 7) = .23574127633912154, (7, 8) = -0.2574051940308905e-1, (8, 1) = .8552243270567446, (8, 2) = 2.106195264574372, (8, 3) = 1.0572917693463244, (8, 4) = -.43264711158503066, (8, 5) = -0.10826316887520824e-2, (8, 6) = -0.22218564772743038e-2, (8, 7) = .23390155954230954, (8, 8) = -0.3000437348175994e-1, (9, 1) = .9971223068298118, (9, 2) = 2.1232630331885978, (9, 3) = 1.0285120629771227, (9, 4) = -.42500299401726216, (9, 5) = -0.12251288650475198e-2, (9, 6) = -0.2020468558365479e-2, (9, 7) = .23174518317692583, (9, 8) = -0.3425900172455319e-1, (10, 1) = 1.1403880565193913, (10, 2) = 2.140417506246899, (10, 3) = 1.0002330820836949, (10, 4) = -.41646231318183635, (10, 5) = -0.13532955942893068e-2, (10, 6) = -0.17888606301975137e-2, (10, 7) = .22930093716600436, (10, 8) = -0.38479821645083984e-1, (11, 1) = 1.2848560371873616, (11, 2) = 2.157633123577406, (11, 3) = .972544889446594, (11, 4) = -.40716533065014626, (11, 5) = -0.14649243004438183e-2, (11, 6) = -0.15271629102679156e-2, (11, 7) = .22657233126055396, (11, 8) = -0.4270162917265048e-1, (12, 1) = 1.4301779815647468, (12, 2) = 2.174863731247791, (12, 3) = .9455607571201168, (12, 4) = -.39720406598091457, (12, 5) = -0.15577695442980035e-2, (12, 6) = -0.12357581444406495e-2, (12, 7) = .2235654383584271, (12, 8) = -0.4695236462385006e-1, (13, 1) = 1.5763280469043144, (13, 2) = 2.1921023602581298, (13, 3) = .919324532356313, (13, 4) = -.38663131375997584, (13, 5) = -0.16298993869593623e-2, (13, 6) = -0.9143069330842038e-3, (13, 7) = .22027879640220124, (13, 8) = -0.5126769828228454e-1, (14, 1) = 1.7233029085519174, (14, 2) = 2.2093450776401773, (14, 3) = .8938722201834354, (14, 4) = -.3754911823635348, (14, 5) = -0.1679380471624622e-2, (14, 6) = -0.56219261460254e-3, (14, 7) = .21670817213271942, (14, 8) = -0.55682461237423535e-1, (15, 1) = 1.8695977105744697, (15, 2) = 2.2264135693538774, (15, 3) = .8694821050689756, (15, 4) = -.36394605335189745, (15, 5) = -0.17041218582975867e-2, (15, 6) = -0.18261725768322983e-3, (15, 7) = .21288767717685325, (15, 8) = -0.60183468717778625e-1, (16, 1) = 2.004318834492311, (16, 2) = 2.24204728767058, (16, 3) = .8478660458197957, (16, 4) = -.3529520747186337, (16, 5) = -0.1703947052706393e-2, (16, 6) = 0.1930785046640255e-3, (16, 7) = .20913089435897195, (16, 8) = -0.6444836567685784e-1, (17, 1) = 2.1281739711634566, (17, 2) = 2.256347942326914, (17, 3) = .828714635927611, (17, 4) = -.3425707281447779, (17, 5) = -0.1683293592142335e-2, (17, 6) = 0.5610978640474452e-3, (17, 7) = .2054713542257018, (17, 8) = -0.6849045140856727e-1}, datatype = float[8], order = C_order); YP := Matrix(17, 8, {(1, 1) = 2.004485896552819, (1, 2) = .2004485896552819, (1, 3) = .0, (1, 4) = -8.292153797940426, (1, 5) = -0.27680096777816673e-2, (1, 6) = -0.27680096777816675e-3, (1, 7) = .0, (1, 8) = -0.8402771632859804e-1, (2, 1) = 2.016128871830098, (2, 2) = .23001826613444845, (2, 3) = -.2840537895143862, (2, 4) = -3.13441770281248, (2, 5) = -0.27709675931239285e-2, (2, 6) = 0.163535062624731e-3, (2, 7) = -0.4406318219371238e-2, (2, 8) = -0.8051065476343953e-1, (3, 1) = 2.0291433559831695, (3, 2) = .24214399837924783, (3, 3) = -.39229662780930885, (3, 4) = -1.1306573477773207, (3, 5) = -0.27499874427327066e-2, (3, 6) = 0.5975047911590665e-3, (3, 7) = -0.8725035354323372e-2, (3, 8) = -0.7679800207671836e-1, (4, 1) = 2.0429897671946424, (4, 2) = .24739960351286594, (4, 3) = -.4310062679340168, (4, 4) = -.36545074799939437, (4, 5) = -0.27040560701133078e-2, (4, 6) = 0.10258700567064467e-2, (4, 7) = -0.12962756637177775e-1, (4, 8) = -0.733178647266296e-1, (5, 1) = 2.057662535063293, (5, 2) = .25001935840388656, (5, 3) = -.44253104897557294, (5, 4) = -0.7399978327046661e-1, (5, 5) = -0.26308082262691194e-2, (5, 6) = 0.1456050503733142e-2, (5, 7) = -0.1719131326360054e-1, (5, 8) = -0.7020786512850703e-1, (6, 1) = 2.073221055080982, (6, 2) = .2516309471942111, (6, 3) = -.44308841686112815, (6, 4) = 0.37839269069686876e-1, (6, 5) = -0.25268820825469864e-2, (6, 6) = 0.18932694842043567e-2, (6, 7) = -0.21459576924590554e-1, (6, 8) = -0.6754754268148135e-1, (7, 1) = 2.08947619950995, (7, 2) = .25284499602462057, (7, 3) = -.4389737607362558, (7, 4) = 0.8348883070150659e-1, (7, 5) = -0.2390594424088466e-2, (7, 6) = 0.23349924979000586e-2, (7, 7) = -0.2574051940308905e-1, (7, 8) = -0.6543067224858429e-1, (8, 1) = 2.106195264574372, (8, 2) = .25388423761594026, (8, 3) = -.43264711158503066, (8, 4) = .10611979364119695, (8, 5) = -0.22218564772743038e-2, (8, 6) = 0.27782517004485635e-2, (8, 7) = -0.3000437348175994e-1, (8, 8) = -0.6391269504017137e-1, (9, 1) = 2.1232630331885978, (9, 2) = .254826602720586, (9, 3) = -.42500299401726216, (9, 4) = .12097209696727333, (9, 5) = -0.2020468558365479e-2, (9, 6) = 0.32238533166187716e-2, (9, 7) = -0.3425900172455319e-1, (9, 8) = -0.6300589673559556e-1, (10, 1) = 2.140417506246899, (10, 2) = .2556879819428735, (10, 3) = -.41646231318183635, (10, 4) = .13290449162359227, (10, 5) = -0.17888606301975137e-2, (10, 6) = 0.3669096101488647e-2, (10, 7) = -0.38479821645083984e-1, (10, 8) = -0.6270721241949895e-1, (11, 1) = 2.157633123577406, (11, 2) = .25647984542275526, (11, 3) = -.40716533065014626, (11, 4) = .1435291800412589, (11, 5) = -0.15271629102679156e-2, (11, 6) = 0.4117446626238257e-2, (11, 7) = -0.4270162917265048e-1, (11, 8) = -0.6298986667189467e-1, (12, 1) = 2.174863731247791, (12, 2) = .2572067797228706, (12, 3) = -.39720406598091457, (12, 4) = .15333236356321886, (12, 5) = -0.12357581444406495e-2, (12, 6) = 0.4571660647940941e-2, (12, 7) = -0.4695236462385006e-1, (12, 8) = -0.6382849416526458e-1, (13, 1) = 2.1921023602581298, (13, 2) = .25787336740181055, (13, 3) = -.38663131375997584, (13, 4) = .1624822790849878, (13, 5) = -0.9143069330842038e-3, (13, 6) = 0.5035339134920034e-2, (13, 7) = -0.5126769828228454e-1, (13, 8) = -0.652015962918004e-1, (14, 1) = 2.2093450776401773, (14, 2) = .2584836260003712, (14, 3) = -.3754911823635348, (14, 4) = .1710357675816148, (14, 5) = -0.56219261460254e-3, (14, 6) = 0.55120268622821e-2, (14, 7) = -0.55682461237423535e-1, (14, 8) = -0.6709278022281344e-1, (15, 1) = 2.2264135693538774, (15, 2) = .2590359622705775, (15, 3) = -.36394605335189745, (15, 4) = .17892695062925598, (15, 5) = -0.18261725768322983e-3, (15, 6) = 0.6000085146009539e-2, (15, 7) = -0.60183468717778625e-1, (15, 8) = -0.694634928107482e-1, (16, 1) = 2.24204728767058, (16, 2) = .25949993623892137, (16, 3) = -.3529520747186337, (16, 4) = .18564201748023373, (16, 5) = 0.1930785046640255e-3, (16, 6) = 0.6464144418152187e-2, (16, 7) = -0.6444836567685784e-1, (16, 8) = -0.72064344245832e-1, (17, 1) = 2.256347942326914, (17, 2) = .2598918670471692, (17, 3) = -.3425707281447779, (17, 4) = .19133352524628847, (17, 5) = 0.5610978640474452e-3, (17, 6) = 0.6905154927261472e-2, (17, 7) = -0.6849045140856727e-1, (17, 8) = -0.7480089956413064e-1}, datatype = float[8], order = C_order); errproc := proc (x_bvp) local outpoint, X, Y, yout, L, V, i; option `Copyright (c) 2000 by Waterloo Maple Inc. All rights reserved.`; Digits := 15; outpoint := evalf(x_bvp); X := Vector(17, {(1) = .0, (2) = 0.53534222470661974e-1, (3) = .10845271758437264, (4) = .1649401849589618, (5) = .22390274235049956, (6) = .2859182575857521, (7) = .3503559453787789, (8) = .4163410481695927, (9) = .48344105161020273, (10) = .5506440573118462, (11) = .617869081532902, (12) = .6849538235849465, (13) = .7518883090500127, (14) = .8186731976686599, (15) = .8846348578534717, (16) = .9449335910398731, (17) = 1.0}, datatype = float[8], order = C_order); Y := Matrix(17, 8, {(1, 1) = .0, (1, 2) = 0.974701409493594e-14, (1, 3) = 0.11070714321850284e-11, (1, 4) = .0, (1, 5) = .0, (1, 6) = -0.40147422745731446e-15, (1, 7) = 0.33400201225433743e-13, (1, 8) = .0, (2, 1) = 0.1921162340118244e-10, (2, 2) = -0.3461191969185685e-9, (2, 3) = 0.348162655186109e-8, (2, 4) = -0.6271069097014921e-7, (2, 5) = -0.44083904578914124e-14, (2, 6) = 0.7864782122574381e-13, (2, 7) = -0.7615257373076448e-12, (2, 8) = 0.14320272770963152e-10, (3, 1) = 0.4858164438956526e-11, (3, 2) = -0.8749774565350293e-10, (3, 3) = 0.8810144827003194e-9, (3, 4) = -0.15854202602290896e-7, (3, 5) = -0.11518852741264706e-14, (3, 6) = 0.19587086116865164e-13, (3, 7) = -0.16763878222471197e-12, (3, 8) = 0.36190720272202087e-11, (4, 1) = -0.9214298956066883e-12, (4, 2) = 0.16659679823195495e-10, (4, 3) = -0.16625504453455158e-9, (4, 4) = 0.30149808432875374e-8, (4, 5) = 0.14647843582380722e-15, (4, 6) = -0.4190484831341016e-14, (4, 7) = 0.7153516868827931e-13, (4, 8) = -0.6906759040620387e-12, (5, 1) = -0.12926109858483954e-11, (5, 2) = 0.23349590911856208e-10, (5, 3) = -0.2335616048413267e-9, (5, 4) = 0.4227488220978929e-8, (5, 5) = 0.20910939563572478e-15, (5, 6) = -0.5703467070228641e-14, (5, 7) = 0.8681617475433449e-13, (5, 8) = -0.9682187729096364e-12, (6, 1) = -0.5273132560878931e-12, (6, 2) = 0.9576232368968485e-11, (6, 3) = -0.9507536595042013e-10, (6, 4) = 0.17321089427289865e-8, (6, 5) = 0.1190343785923967e-16, (6, 6) = -0.25454281492655196e-14, (6, 7) = 0.5480690357027477e-13, (6, 8) = -0.3990225745944728e-12, (7, 1) = -0.2871959910659793e-13, (7, 2) = 0.6418597114810438e-12, (7, 3) = -0.5236367395785608e-11, (7, 4) = 0.1131905408390032e-9, (7, 5) = -0.12259542264124263e-15, (7, 6) = -0.4847513937360724e-15, (7, 7) = 0.3415047867667241e-13, (7, 8) = -0.2997016109011267e-13, (8, 1) = 0.10837747682884183e-12, (8, 2) = -0.18146875735491123e-11, (8, 3) = 0.19446206823867058e-10, (8, 4) = -0.3317150118168921e-9, (8, 5) = -0.1738412876161762e-15, (8, 6) = 0.10051965251199756e-15, (8, 7) = 0.28033454931697328e-13, (8, 8) = 0.7105838250478006e-13, (9, 1) = 0.8677792838525368e-13, (9, 2) = -0.14202050077924012e-11, (9, 3) = 0.15504572313254055e-10, (9, 4) = -0.26091953549042987e-9, (9, 5) = -0.18823298205671165e-15, (9, 6) = 0.4527521116185577e-16, (9, 7) = 0.287802770066534e-13, (9, 8) = 0.54266289589687415e-13, (10, 1) = 0.46144883978589113e-13, (10, 2) = -0.6194246905933911e-12, (10, 3) = 0.7450388019704153e-11, (10, 4) = -0.11592593034699017e-9, (10, 5) = -0.19499607277523123e-15, (10, 6) = -0.1042015196512001e-15, (10, 7) = 0.30340425563062427e-13, (10, 8) = 0.20632915855819092e-13, (11, 1) = 0.1767346870273472e-13, (11, 2) = -0.14600768634720558e-12, (11, 3) = 0.2673338759081347e-11, (11, 4) = -0.3006376915283939e-10, (11, 5) = -0.20488313176065172e-15, (11, 6) = -0.1732971394718215e-15, (11, 7) = 0.30732200737447824e-13, (11, 8) = 0.5233319649640873e-15, (12, 1) = 0.11245626735866965e-13, (12, 2) = 0.3673551700343391e-13, (12, 3) = 0.8807325440173342e-12, (12, 4) = 0.2049852877019028e-11, (12, 5) = -0.21712214498265684e-15, (12, 6) = -0.17084709426777449e-15, (12, 7) = 0.3081529334583978e-13, (12, 8) = -0.7250677471424232e-14, (13, 1) = 0.11117824829762174e-13, (13, 2) = 0.6907570225412402e-13, (13, 3) = 0.5153776492659588e-12, (13, 4) = 0.8458945212086467e-11, (13, 5) = -0.2273022343954062e-15, (13, 6) = -0.13325985687865733e-15, (13, 7) = 0.30468997801422883e-13, (13, 8) = -0.9198719230825988e-14, (14, 1) = 0.13659977308835914e-13, (14, 2) = 0.6452759507315054e-13, (14, 3) = 0.5988628875523386e-12, (14, 4) = 0.675716600998662e-11, (14, 5) = -0.23067545023998644e-15, (14, 6) = -0.8150844270725942e-16, (14, 7) = 0.29797329463917535e-13, (14, 8) = -0.9313637829429707e-14, (15, 1) = 0.1700465903890549e-13, (15, 2) = 0.5164345159149602e-13, (15, 3) = 0.7333052843121338e-12, (15, 4) = 0.4172643024222364e-11, (15, 5) = -0.23576336056510346e-15, (15, 6) = -0.26130367914242146e-16, (15, 7) = 0.29494592947041693e-13, (15, 8) = -0.9220365247131957e-14, (16, 1) = 0.17573997377089492e-13, (16, 2) = 0.4393208098687605e-13, (16, 3) = 0.7896060666820936e-12, (16, 4) = 0.30276169150891385e-11, (16, 5) = -0.2357145056507278e-15, (16, 6) = 0.26270437168450933e-16, (16, 7) = 0.2886167559607105e-13, (16, 8) = -0.937713993350323e-14, (17, 1) = 0.18357555292175227e-13, (17, 2) = 0.3808487657896779e-13, (17, 3) = 0.8550792670826255e-12, (17, 4) = 0.17097017815014903e-11, (17, 5) = -0.23341466639149357e-15, (17, 6) = 0.7698962683108776e-16, (17, 7) = 0.28272806743550176e-13, (17, 8) = -0.9472933173968198e-14}, datatype = float[8], order = C_order); if not type(outpoint, 'numeric') then if outpoint = "start" or outpoint = "left" then return X[1] elif outpoint = "right" then return X[17] elif outpoint = "order" then return 8 elif outpoint = "error" then return 0.627106909701494e-7 elif outpoint = "errorproc" then error "this is already the error procedure" elif outpoint = "rawdata" then return [8, 17, [Phi(Y), diff(Phi(Y), Y), Theta(Y), diff(Theta(Y), Y), U(Y), diff(U(Y), Y), W(Y), diff(W(Y), Y)], X, Y] else return ('procname')(x_bvp) end if end if; if outpoint < X[1] or X[17] < outpoint then error "solution is only defined in the range %1..%2", X[1], X[17] end if; V := array([1 = 4, 2 = 0]); if Digits <= trunc(evalhf(Digits)) then L := Vector(4, 'datatype' = 'float'[8]); yout := Vector(8, 'datatype' = 'float'[8]); evalhf(`dsolve/numeric/lagrange`(17, 8, X, Y, outpoint, var(yout), var(L), var(V))) else L := Vector(4, 'datatype' = 'sfloat'); yout := Vector(8, 'datatype' = 'sfloat'); `dsolve/numeric/lagrange`(17, 8, X, Y, outpoint, yout, L, V) end if; [Y = outpoint, seq('[Phi(Y), diff(Phi(Y), Y), Theta(Y), diff(Theta(Y), Y), U(Y), diff(U(Y), Y), W(Y), diff(W(Y), Y)]'[i] = yout[i], i = 1 .. 8)] end proc; if not type(outpoint, 'numeric') then if outpoint = "start" or outpoint = "left" then return X[1] elif outpoint = "method" then return "bvp" elif outpoint = "right" then return X[17] elif outpoint = "order" then return 8 elif outpoint = "error" then return 0.627106909701494e-7 elif outpoint = "errorproc" then return eval(errproc) elif outpoint = "rawdata" then return [8, 17, "depnames", X, Y, YP] else error "non-numeric value" end if end if; if outpoint < X[1] or X[17] < outpoint then error "solution is only defined in the range %1..%2", X[1], X[17] end if; if Digits <= trunc(evalhf(Digits)) and (_EnvInFsolve <> true or _EnvDSNumericSaveDigits <= trunc(evalhf(Digits))) then V := array( 1 .. 6, [( 1 ) = (7), ( 2 ) = (0), ( 3 ) = (false), ( 4 ) = (false), ( 5 ) = (false), ( 6 ) = (false)  ] ); L := Matrix(7, 2, {(1, 1) = .0, (1, 2) = .0, (2, 1) = .0, (2, 2) = .0, (3, 1) = .0, (3, 2) = .0, (4, 1) = .0, (4, 2) = .0, (5, 1) = .0, (5, 2) = .0, (6, 1) = .0, (6, 2) = .0, (7, 1) = .0, (7, 2) = .0}, datatype = float[8], order = C_order); yout := Vector(8, {(1) = .0, (2) = .0, (3) = .0, (4) = .0, (5) = .0, (6) = .0, (7) = .0, (8) = .0}, datatype = float[8]); evalhf(`dsolve/numeric/hermite`(17, 8, X, Y, YP, outpoint, var(yout), var(L), var(V))) else if _EnvInFsolve = true then Digits := _EnvDSNumericSaveDigits end if; V := array( 1 .. 6, [( 1 ) = (7), ( 2 ) = (0), ( 3 ) = (false), ( 4 ) = (false), ( 5 ) = (false), ( 6 ) = (false)  ] ); L := Matrix(7, 2, {(1, 1) = 0., (1, 2) = 0., (2, 1) = 0., (2, 2) = 0., (3, 1) = 0., (3, 2) = 0., (4, 1) = 0., (4, 2) = 0., (5, 1) = 0., (5, 2) = 0., (6, 1) = 0., (6, 2) = 0., (7, 1) = 0., (7, 2) = 0.}, order = C_order); yout := Vector(8, {(1) = 0., (2) = 0., (3) = 0., (4) = 0., (5) = 0., (6) = 0., (7) = 0., (8) = 0.}); `dsolve/numeric/hermite`(17, 8, X, Y, YP, outpoint, yout, L, V) end if; [outpoint, seq(yout[i], i = 1 .. 8)] end proc, (2) = Array(1..9, {(1) = 18446744078245721294, (2) = 18446744078245721470, (3) = 18446744078245721646, (4) = 18446744078245721822, (5) = 18446744078245721998, (6) = 18446744078245722174, (7) = 18446744078245722350, (8) = 18446744078245722526, (9) = 18446744078245722702}), (3) = [Y, Phi(Y), diff(Phi(Y), Y), Theta(Y), diff(Theta(Y), Y), U(Y), diff(U(Y), Y), W(Y), diff(W(Y), Y)], (4) = 0}); solnproc := data[1]; if not type(outpoint, 'numeric') then if outpoint = "solnprocedure" then return eval(solnproc) elif member(outpoint, ["start", "left", "right", "errorproc", "rawdata", "order", "error"]) then return solnproc(Y) elif outpoint = "sysvars" then return data[3] elif procname <> unknown then return ('procname')(Y) else `diff(Theta(Y),Y)` := pointto(data[2][5]); return ('`diff(Theta(Y),Y)`')(Y) end if end if; try res := solnproc(outpoint); res[5] catch: error  end try end proc, U(Y) = proc (Y) local res, data, solnproc, `U(Y)`, outpoint; option `Copyright (c) 2000 by Waterloo Maple Inc. All rights reserved.`; _EnvDSNumericSaveDigits := Digits; Digits := 15; if _EnvInFsolve = true then outpoint := evalf[_EnvDSNumericSaveDigits](Y) else outpoint := evalf(Y) end if; data := Array(1..4, {(1) = proc (outpoint) local X, Y, YP, yout, errproc, L, V, i; option `Copyright (c) 2000 by Waterloo Maple Inc. All rights reserved.`; X := Vector(17, {(1) = .0, (2) = 0.53534222470661974e-1, (3) = .10845271758437264, (4) = .1649401849589618, (5) = .22390274235049956, (6) = .2859182575857521, (7) = .3503559453787789, (8) = .4163410481695927, (9) = .48344105161020273, (10) = .5506440573118462, (11) = .617869081532902, (12) = .6849538235849465, (13) = .7518883090500127, (14) = .8186731976686599, (15) = .8846348578534717, (16) = .9449335910398731, (17) = 1.0}, datatype = float[8], order = C_order); Y := Matrix(17, 8, {(1, 1) = .0, (1, 2) = 2.004485896552819, (1, 3) = 1.2191611225050978, (1, 4) = .0, (1, 5) = .0, (1, 6) = -0.27680096777816673e-2, (1, 7) = .24044572323613525, (1, 8) = .0, (2, 1) = .10761328358252858, (2, 2) = 2.016128871830098, (2, 3) = 1.210344653314836, (2, 4) = -.2840537895143862, (2, 5) = -0.14836759469719646e-3, (2, 6) = -0.27709675931239285e-2, (2, 7) = .24032693479486067, (2, 8) = -0.4406318219371238e-2, (3, 1) = .21869041152969454, (3, 2) = 2.0291433559831695, (3, 3) = 1.1912769397313012, (3, 4) = -.39229662780930885, (3, 5) = -0.30007793434459474e-3, (3, 6) = -0.27499874427327066e-2, (3, 7) = .23996542295130105, (3, 8) = -0.8725035354323372e-2, (4, 1) = .3337012761392636, (4, 2) = 2.0429897671946424, (4, 3) = 1.1678236922261134, (4, 4) = -.4310062679340168, (4, 5) = -0.45423437955162703e-3, (4, 6) = -0.27040560701133078e-2, (4, 7) = .23935195277989998, (4, 8) = -0.12962756637177775e-1, (5, 1) = .45459299869247327, (5, 2) = 2.057662535063293, (5, 3) = 1.1419877360928334, (5, 4) = -.44253104897557294, (5, 5) = -0.6116376149322017e-3, (5, 6) = -0.26308082262691194e-2, (5, 7) = .2384620711060775, (5, 8) = -0.1719131326360054e-1, (6, 1) = .5826819228592746, (6, 2) = 2.073221055080982, (6, 3) = 1.1144914600827447, (6, 4) = -.44308841686112815, (6, 5) = -0.7717061316079763e-3, (6, 6) = -0.25268820825469864e-2, (6, 7) = .23726274115218043, (6, 8) = -0.21459576924590554e-1, (7, 1) = .7167987972096799, (7, 2) = 2.08947619950995, (7, 3) = 1.086056890143478, (7, 4) = -.4389737607362558, (7, 5) = -0.9302943600816812e-3, (7, 6) = -0.2390594424088466e-2, (7, 7) = .23574127633912154, (7, 8) = -0.2574051940308905e-1, (8, 1) = .8552243270567446, (8, 2) = 2.106195264574372, (8, 3) = 1.0572917693463244, (8, 4) = -.43264711158503066, (8, 5) = -0.10826316887520824e-2, (8, 6) = -0.22218564772743038e-2, (8, 7) = .23390155954230954, (8, 8) = -0.3000437348175994e-1, (9, 1) = .9971223068298118, (9, 2) = 2.1232630331885978, (9, 3) = 1.0285120629771227, (9, 4) = -.42500299401726216, (9, 5) = -0.12251288650475198e-2, (9, 6) = -0.2020468558365479e-2, (9, 7) = .23174518317692583, (9, 8) = -0.3425900172455319e-1, (10, 1) = 1.1403880565193913, (10, 2) = 2.140417506246899, (10, 3) = 1.0002330820836949, (10, 4) = -.41646231318183635, (10, 5) = -0.13532955942893068e-2, (10, 6) = -0.17888606301975137e-2, (10, 7) = .22930093716600436, (10, 8) = -0.38479821645083984e-1, (11, 1) = 1.2848560371873616, (11, 2) = 2.157633123577406, (11, 3) = .972544889446594, (11, 4) = -.40716533065014626, (11, 5) = -0.14649243004438183e-2, (11, 6) = -0.15271629102679156e-2, (11, 7) = .22657233126055396, (11, 8) = -0.4270162917265048e-1, (12, 1) = 1.4301779815647468, (12, 2) = 2.174863731247791, (12, 3) = .9455607571201168, (12, 4) = -.39720406598091457, (12, 5) = -0.15577695442980035e-2, (12, 6) = -0.12357581444406495e-2, (12, 7) = .2235654383584271, (12, 8) = -0.4695236462385006e-1, (13, 1) = 1.5763280469043144, (13, 2) = 2.1921023602581298, (13, 3) = .919324532356313, (13, 4) = -.38663131375997584, (13, 5) = -0.16298993869593623e-2, (13, 6) = -0.9143069330842038e-3, (13, 7) = .22027879640220124, (13, 8) = -0.5126769828228454e-1, (14, 1) = 1.7233029085519174, (14, 2) = 2.2093450776401773, (14, 3) = .8938722201834354, (14, 4) = -.3754911823635348, (14, 5) = -0.1679380471624622e-2, (14, 6) = -0.56219261460254e-3, (14, 7) = .21670817213271942, (14, 8) = -0.55682461237423535e-1, (15, 1) = 1.8695977105744697, (15, 2) = 2.2264135693538774, (15, 3) = .8694821050689756, (15, 4) = -.36394605335189745, (15, 5) = -0.17041218582975867e-2, (15, 6) = -0.18261725768322983e-3, (15, 7) = .21288767717685325, (15, 8) = -0.60183468717778625e-1, (16, 1) = 2.004318834492311, (16, 2) = 2.24204728767058, (16, 3) = .8478660458197957, (16, 4) = -.3529520747186337, (16, 5) = -0.1703947052706393e-2, (16, 6) = 0.1930785046640255e-3, (16, 7) = .20913089435897195, (16, 8) = -0.6444836567685784e-1, (17, 1) = 2.1281739711634566, (17, 2) = 2.256347942326914, (17, 3) = .828714635927611, (17, 4) = -.3425707281447779, (17, 5) = -0.1683293592142335e-2, (17, 6) = 0.5610978640474452e-3, (17, 7) = .2054713542257018, (17, 8) = -0.6849045140856727e-1}, datatype = float[8], order = C_order); YP := Matrix(17, 8, {(1, 1) = 2.004485896552819, (1, 2) = .2004485896552819, (1, 3) = .0, (1, 4) = -8.292153797940426, (1, 5) = -0.27680096777816673e-2, (1, 6) = -0.27680096777816675e-3, (1, 7) = .0, (1, 8) = -0.8402771632859804e-1, (2, 1) = 2.016128871830098, (2, 2) = .23001826613444845, (2, 3) = -.2840537895143862, (2, 4) = -3.13441770281248, (2, 5) = -0.27709675931239285e-2, (2, 6) = 0.163535062624731e-3, (2, 7) = -0.4406318219371238e-2, (2, 8) = -0.8051065476343953e-1, (3, 1) = 2.0291433559831695, (3, 2) = .24214399837924783, (3, 3) = -.39229662780930885, (3, 4) = -1.1306573477773207, (3, 5) = -0.27499874427327066e-2, (3, 6) = 0.5975047911590665e-3, (3, 7) = -0.8725035354323372e-2, (3, 8) = -0.7679800207671836e-1, (4, 1) = 2.0429897671946424, (4, 2) = .24739960351286594, (4, 3) = -.4310062679340168, (4, 4) = -.36545074799939437, (4, 5) = -0.27040560701133078e-2, (4, 6) = 0.10258700567064467e-2, (4, 7) = -0.12962756637177775e-1, (4, 8) = -0.733178647266296e-1, (5, 1) = 2.057662535063293, (5, 2) = .25001935840388656, (5, 3) = -.44253104897557294, (5, 4) = -0.7399978327046661e-1, (5, 5) = -0.26308082262691194e-2, (5, 6) = 0.1456050503733142e-2, (5, 7) = -0.1719131326360054e-1, (5, 8) = -0.7020786512850703e-1, (6, 1) = 2.073221055080982, (6, 2) = .2516309471942111, (6, 3) = -.44308841686112815, (6, 4) = 0.37839269069686876e-1, (6, 5) = -0.25268820825469864e-2, (6, 6) = 0.18932694842043567e-2, (6, 7) = -0.21459576924590554e-1, (6, 8) = -0.6754754268148135e-1, (7, 1) = 2.08947619950995, (7, 2) = .25284499602462057, (7, 3) = -.4389737607362558, (7, 4) = 0.8348883070150659e-1, (7, 5) = -0.2390594424088466e-2, (7, 6) = 0.23349924979000586e-2, (7, 7) = -0.2574051940308905e-1, (7, 8) = -0.6543067224858429e-1, (8, 1) = 2.106195264574372, (8, 2) = .25388423761594026, (8, 3) = -.43264711158503066, (8, 4) = .10611979364119695, (8, 5) = -0.22218564772743038e-2, (8, 6) = 0.27782517004485635e-2, (8, 7) = -0.3000437348175994e-1, (8, 8) = -0.6391269504017137e-1, (9, 1) = 2.1232630331885978, (9, 2) = .254826602720586, (9, 3) = -.42500299401726216, (9, 4) = .12097209696727333, (9, 5) = -0.2020468558365479e-2, (9, 6) = 0.32238533166187716e-2, (9, 7) = -0.3425900172455319e-1, (9, 8) = -0.6300589673559556e-1, (10, 1) = 2.140417506246899, (10, 2) = .2556879819428735, (10, 3) = -.41646231318183635, (10, 4) = .13290449162359227, (10, 5) = -0.17888606301975137e-2, (10, 6) = 0.3669096101488647e-2, (10, 7) = -0.38479821645083984e-1, (10, 8) = -0.6270721241949895e-1, (11, 1) = 2.157633123577406, (11, 2) = .25647984542275526, (11, 3) = -.40716533065014626, (11, 4) = .1435291800412589, (11, 5) = -0.15271629102679156e-2, (11, 6) = 0.4117446626238257e-2, (11, 7) = -0.4270162917265048e-1, (11, 8) = -0.6298986667189467e-1, (12, 1) = 2.174863731247791, (12, 2) = .2572067797228706, (12, 3) = -.39720406598091457, (12, 4) = .15333236356321886, (12, 5) = -0.12357581444406495e-2, (12, 6) = 0.4571660647940941e-2, (12, 7) = -0.4695236462385006e-1, (12, 8) = -0.6382849416526458e-1, (13, 1) = 2.1921023602581298, (13, 2) = .25787336740181055, (13, 3) = -.38663131375997584, (13, 4) = .1624822790849878, (13, 5) = -0.9143069330842038e-3, (13, 6) = 0.5035339134920034e-2, (13, 7) = -0.5126769828228454e-1, (13, 8) = -0.652015962918004e-1, (14, 1) = 2.2093450776401773, (14, 2) = .2584836260003712, (14, 3) = -.3754911823635348, (14, 4) = .1710357675816148, (14, 5) = -0.56219261460254e-3, (14, 6) = 0.55120268622821e-2, (14, 7) = -0.55682461237423535e-1, (14, 8) = -0.6709278022281344e-1, (15, 1) = 2.2264135693538774, (15, 2) = .2590359622705775, (15, 3) = -.36394605335189745, (15, 4) = .17892695062925598, (15, 5) = -0.18261725768322983e-3, (15, 6) = 0.6000085146009539e-2, (15, 7) = -0.60183468717778625e-1, (15, 8) = -0.694634928107482e-1, (16, 1) = 2.24204728767058, (16, 2) = .25949993623892137, (16, 3) = -.3529520747186337, (16, 4) = .18564201748023373, (16, 5) = 0.1930785046640255e-3, (16, 6) = 0.6464144418152187e-2, (16, 7) = -0.6444836567685784e-1, (16, 8) = -0.72064344245832e-1, (17, 1) = 2.256347942326914, (17, 2) = .2598918670471692, (17, 3) = -.3425707281447779, (17, 4) = .19133352524628847, (17, 5) = 0.5610978640474452e-3, (17, 6) = 0.6905154927261472e-2, (17, 7) = -0.6849045140856727e-1, (17, 8) = -0.7480089956413064e-1}, datatype = float[8], order = C_order); errproc := proc (x_bvp) local outpoint, X, Y, yout, L, V, i; option `Copyright (c) 2000 by Waterloo Maple Inc. All rights reserved.`; Digits := 15; outpoint := evalf(x_bvp); X := Vector(17, {(1) = .0, (2) = 0.53534222470661974e-1, (3) = .10845271758437264, (4) = .1649401849589618, (5) = .22390274235049956, (6) = .2859182575857521, (7) = .3503559453787789, (8) = .4163410481695927, (9) = .48344105161020273, (10) = .5506440573118462, (11) = .617869081532902, (12) = .6849538235849465, (13) = .7518883090500127, (14) = .8186731976686599, (15) = .8846348578534717, (16) = .9449335910398731, (17) = 1.0}, datatype = float[8], order = C_order); Y := Matrix(17, 8, {(1, 1) = .0, (1, 2) = 0.974701409493594e-14, (1, 3) = 0.11070714321850284e-11, (1, 4) = .0, (1, 5) = .0, (1, 6) = -0.40147422745731446e-15, (1, 7) = 0.33400201225433743e-13, (1, 8) = .0, (2, 1) = 0.1921162340118244e-10, (2, 2) = -0.3461191969185685e-9, (2, 3) = 0.348162655186109e-8, (2, 4) = -0.6271069097014921e-7, (2, 5) = -0.44083904578914124e-14, (2, 6) = 0.7864782122574381e-13, (2, 7) = -0.7615257373076448e-12, (2, 8) = 0.14320272770963152e-10, (3, 1) = 0.4858164438956526e-11, (3, 2) = -0.8749774565350293e-10, (3, 3) = 0.8810144827003194e-9, (3, 4) = -0.15854202602290896e-7, (3, 5) = -0.11518852741264706e-14, (3, 6) = 0.19587086116865164e-13, (3, 7) = -0.16763878222471197e-12, (3, 8) = 0.36190720272202087e-11, (4, 1) = -0.9214298956066883e-12, (4, 2) = 0.16659679823195495e-10, (4, 3) = -0.16625504453455158e-9, (4, 4) = 0.30149808432875374e-8, (4, 5) = 0.14647843582380722e-15, (4, 6) = -0.4190484831341016e-14, (4, 7) = 0.7153516868827931e-13, (4, 8) = -0.6906759040620387e-12, (5, 1) = -0.12926109858483954e-11, (5, 2) = 0.23349590911856208e-10, (5, 3) = -0.2335616048413267e-9, (5, 4) = 0.4227488220978929e-8, (5, 5) = 0.20910939563572478e-15, (5, 6) = -0.5703467070228641e-14, (5, 7) = 0.8681617475433449e-13, (5, 8) = -0.9682187729096364e-12, (6, 1) = -0.5273132560878931e-12, (6, 2) = 0.9576232368968485e-11, (6, 3) = -0.9507536595042013e-10, (6, 4) = 0.17321089427289865e-8, (6, 5) = 0.1190343785923967e-16, (6, 6) = -0.25454281492655196e-14, (6, 7) = 0.5480690357027477e-13, (6, 8) = -0.3990225745944728e-12, (7, 1) = -0.2871959910659793e-13, (7, 2) = 0.6418597114810438e-12, (7, 3) = -0.5236367395785608e-11, (7, 4) = 0.1131905408390032e-9, (7, 5) = -0.12259542264124263e-15, (7, 6) = -0.4847513937360724e-15, (7, 7) = 0.3415047867667241e-13, (7, 8) = -0.2997016109011267e-13, (8, 1) = 0.10837747682884183e-12, (8, 2) = -0.18146875735491123e-11, (8, 3) = 0.19446206823867058e-10, (8, 4) = -0.3317150118168921e-9, (8, 5) = -0.1738412876161762e-15, (8, 6) = 0.10051965251199756e-15, (8, 7) = 0.28033454931697328e-13, (8, 8) = 0.7105838250478006e-13, (9, 1) = 0.8677792838525368e-13, (9, 2) = -0.14202050077924012e-11, (9, 3) = 0.15504572313254055e-10, (9, 4) = -0.26091953549042987e-9, (9, 5) = -0.18823298205671165e-15, (9, 6) = 0.4527521116185577e-16, (9, 7) = 0.287802770066534e-13, (9, 8) = 0.54266289589687415e-13, (10, 1) = 0.46144883978589113e-13, (10, 2) = -0.6194246905933911e-12, (10, 3) = 0.7450388019704153e-11, (10, 4) = -0.11592593034699017e-9, (10, 5) = -0.19499607277523123e-15, (10, 6) = -0.1042015196512001e-15, (10, 7) = 0.30340425563062427e-13, (10, 8) = 0.20632915855819092e-13, (11, 1) = 0.1767346870273472e-13, (11, 2) = -0.14600768634720558e-12, (11, 3) = 0.2673338759081347e-11, (11, 4) = -0.3006376915283939e-10, (11, 5) = -0.20488313176065172e-15, (11, 6) = -0.1732971394718215e-15, (11, 7) = 0.30732200737447824e-13, (11, 8) = 0.5233319649640873e-15, (12, 1) = 0.11245626735866965e-13, (12, 2) = 0.3673551700343391e-13, (12, 3) = 0.8807325440173342e-12, (12, 4) = 0.2049852877019028e-11, (12, 5) = -0.21712214498265684e-15, (12, 6) = -0.17084709426777449e-15, (12, 7) = 0.3081529334583978e-13, (12, 8) = -0.7250677471424232e-14, (13, 1) = 0.11117824829762174e-13, (13, 2) = 0.6907570225412402e-13, (13, 3) = 0.5153776492659588e-12, (13, 4) = 0.8458945212086467e-11, (13, 5) = -0.2273022343954062e-15, (13, 6) = -0.13325985687865733e-15, (13, 7) = 0.30468997801422883e-13, (13, 8) = -0.9198719230825988e-14, (14, 1) = 0.13659977308835914e-13, (14, 2) = 0.6452759507315054e-13, (14, 3) = 0.5988628875523386e-12, (14, 4) = 0.675716600998662e-11, (14, 5) = -0.23067545023998644e-15, (14, 6) = -0.8150844270725942e-16, (14, 7) = 0.29797329463917535e-13, (14, 8) = -0.9313637829429707e-14, (15, 1) = 0.1700465903890549e-13, (15, 2) = 0.5164345159149602e-13, (15, 3) = 0.7333052843121338e-12, (15, 4) = 0.4172643024222364e-11, (15, 5) = -0.23576336056510346e-15, (15, 6) = -0.26130367914242146e-16, (15, 7) = 0.29494592947041693e-13, (15, 8) = -0.9220365247131957e-14, (16, 1) = 0.17573997377089492e-13, (16, 2) = 0.4393208098687605e-13, (16, 3) = 0.7896060666820936e-12, (16, 4) = 0.30276169150891385e-11, (16, 5) = -0.2357145056507278e-15, (16, 6) = 0.26270437168450933e-16, (16, 7) = 0.2886167559607105e-13, (16, 8) = -0.937713993350323e-14, (17, 1) = 0.18357555292175227e-13, (17, 2) = 0.3808487657896779e-13, (17, 3) = 0.8550792670826255e-12, (17, 4) = 0.17097017815014903e-11, (17, 5) = -0.23341466639149357e-15, (17, 6) = 0.7698962683108776e-16, (17, 7) = 0.28272806743550176e-13, (17, 8) = -0.9472933173968198e-14}, datatype = float[8], order = C_order); if not type(outpoint, 'numeric') then if outpoint = "start" or outpoint = "left" then return X[1] elif outpoint = "right" then return X[17] elif outpoint = "order" then return 8 elif outpoint = "error" then return 0.627106909701494e-7 elif outpoint = "errorproc" then error "this is already the error procedure" elif outpoint = "rawdata" then return [8, 17, [Phi(Y), diff(Phi(Y), Y), Theta(Y), diff(Theta(Y), Y), U(Y), diff(U(Y), Y), W(Y), diff(W(Y), Y)], X, Y] else return ('procname')(x_bvp) end if end if; if outpoint < X[1] or X[17] < outpoint then error "solution is only defined in the range %1..%2", X[1], X[17] end if; V := array([1 = 4, 2 = 0]); if Digits <= trunc(evalhf(Digits)) then L := Vector(4, 'datatype' = 'float'[8]); yout := Vector(8, 'datatype' = 'float'[8]); evalhf(`dsolve/numeric/lagrange`(17, 8, X, Y, outpoint, var(yout), var(L), var(V))) else L := Vector(4, 'datatype' = 'sfloat'); yout := Vector(8, 'datatype' = 'sfloat'); `dsolve/numeric/lagrange`(17, 8, X, Y, outpoint, yout, L, V) end if; [Y = outpoint, seq('[Phi(Y), diff(Phi(Y), Y), Theta(Y), diff(Theta(Y), Y), U(Y), diff(U(Y), Y), W(Y), diff(W(Y), Y)]'[i] = yout[i], i = 1 .. 8)] end proc; if not type(outpoint, 'numeric') then if outpoint = "start" or outpoint = "left" then return X[1] elif outpoint = "method" then return "bvp" elif outpoint = "right" then return X[17] elif outpoint = "order" then return 8 elif outpoint = "error" then return 0.627106909701494e-7 elif outpoint = "errorproc" then return eval(errproc) elif outpoint = "rawdata" then return [8, 17, "depnames", X, Y, YP] else error "non-numeric value" end if end if; if outpoint < X[1] or X[17] < outpoint then error "solution is only defined in the range %1..%2", X[1], X[17] end if; if Digits <= trunc(evalhf(Digits)) and (_EnvInFsolve <> true or _EnvDSNumericSaveDigits <= trunc(evalhf(Digits))) then V := array( 1 .. 6, [( 1 ) = (7), ( 2 ) = (0), ( 3 ) = (false), ( 4 ) = (false), ( 5 ) = (false), ( 6 ) = (false)  ] ); L := Matrix(7, 2, {(1, 1) = .0, (1, 2) = .0, (2, 1) = .0, (2, 2) = .0, (3, 1) = .0, (3, 2) = .0, (4, 1) = .0, (4, 2) = .0, (5, 1) = .0, (5, 2) = .0, (6, 1) = .0, (6, 2) = .0, (7, 1) = .0, (7, 2) = .0}, datatype = float[8], order = C_order); yout := Vector(8, {(1) = .0, (2) = .0, (3) = .0, (4) = .0, (5) = .0, (6) = .0, (7) = .0, (8) = .0}, datatype = float[8]); evalhf(`dsolve/numeric/hermite`(17, 8, X, Y, YP, outpoint, var(yout), var(L), var(V))) else if _EnvInFsolve = true then Digits := _EnvDSNumericSaveDigits end if; V := array( 1 .. 6, [( 1 ) = (7), ( 2 ) = (0), ( 3 ) = (false), ( 4 ) = (false), ( 5 ) = (false), ( 6 ) = (false)  ] ); L := Matrix(7, 2, {(1, 1) = 0., (1, 2) = 0., (2, 1) = 0., (2, 2) = 0., (3, 1) = 0., (3, 2) = 0., (4, 1) = 0., (4, 2) = 0., (5, 1) = 0., (5, 2) = 0., (6, 1) = 0., (6, 2) = 0., (7, 1) = 0., (7, 2) = 0.}, order = C_order); yout := Vector(8, {(1) = 0., (2) = 0., (3) = 0., (4) = 0., (5) = 0., (6) = 0., (7) = 0., (8) = 0.}); `dsolve/numeric/hermite`(17, 8, X, Y, YP, outpoint, yout, L, V) end if; [outpoint, seq(yout[i], i = 1 .. 8)] end proc, (2) = Array(1..9, {(1) = 18446744078245721294, (2) = 18446744078245721470, (3) = 18446744078245721646, (4) = 18446744078245721822, (5) = 18446744078245721998, (6) = 18446744078245722174, (7) = 18446744078245722350, (8) = 18446744078245722526, (9) = 18446744078245722702}), (3) = [Y, Phi(Y), diff(Phi(Y), Y), Theta(Y), diff(Theta(Y), Y), U(Y), diff(U(Y), Y), W(Y), diff(W(Y), Y)], (4) = 0}); solnproc := data[1]; if not type(outpoint, 'numeric') then if outpoint = "solnprocedure" then return eval(solnproc) elif member(outpoint, ["start", "left", "right", "errorproc", "rawdata", "order", "error"]) then return solnproc(Y) elif outpoint = "sysvars" then return data[3] elif procname <> unknown then return ('procname')(Y) else `U(Y)` := pointto(data[2][6]); return ('`U(Y)`')(Y) end if end if; try res := solnproc(outpoint); res[6] catch: error  end try end proc, diff(U(Y), Y) = proc (Y) local res, data, solnproc, `diff(U(Y),Y)`, outpoint; option `Copyright (c) 2000 by Waterloo Maple Inc. All rights reserved.`; _EnvDSNumericSaveDigits := Digits; Digits := 15; if _EnvInFsolve = true then outpoint := evalf[_EnvDSNumericSaveDigits](Y) else outpoint := evalf(Y) end if; data := Array(1..4, {(1) = proc (outpoint) local X, Y, YP, yout, errproc, L, V, i; option `Copyright (c) 2000 by Waterloo Maple Inc. All rights reserved.`; X := Vector(17, {(1) = .0, (2) = 0.53534222470661974e-1, (3) = .10845271758437264, (4) = .1649401849589618, (5) = .22390274235049956, (6) = .2859182575857521, (7) = .3503559453787789, (8) = .4163410481695927, (9) = .48344105161020273, (10) = .5506440573118462, (11) = .617869081532902, (12) = .6849538235849465, (13) = .7518883090500127, (14) = .8186731976686599, (15) = .8846348578534717, (16) = .9449335910398731, (17) = 1.0}, datatype = float[8], order = C_order); Y := Matrix(17, 8, {(1, 1) = .0, (1, 2) = 2.004485896552819, (1, 3) = 1.2191611225050978, (1, 4) = .0, (1, 5) = .0, (1, 6) = -0.27680096777816673e-2, (1, 7) = .24044572323613525, (1, 8) = .0, (2, 1) = .10761328358252858, (2, 2) = 2.016128871830098, (2, 3) = 1.210344653314836, (2, 4) = -.2840537895143862, (2, 5) = -0.14836759469719646e-3, (2, 6) = -0.27709675931239285e-2, (2, 7) = .24032693479486067, (2, 8) = -0.4406318219371238e-2, (3, 1) = .21869041152969454, (3, 2) = 2.0291433559831695, (3, 3) = 1.1912769397313012, (3, 4) = -.39229662780930885, (3, 5) = -0.30007793434459474e-3, (3, 6) = -0.27499874427327066e-2, (3, 7) = .23996542295130105, (3, 8) = -0.8725035354323372e-2, (4, 1) = .3337012761392636, (4, 2) = 2.0429897671946424, (4, 3) = 1.1678236922261134, (4, 4) = -.4310062679340168, (4, 5) = -0.45423437955162703e-3, (4, 6) = -0.27040560701133078e-2, (4, 7) = .23935195277989998, (4, 8) = -0.12962756637177775e-1, (5, 1) = .45459299869247327, (5, 2) = 2.057662535063293, (5, 3) = 1.1419877360928334, (5, 4) = -.44253104897557294, (5, 5) = -0.6116376149322017e-3, (5, 6) = -0.26308082262691194e-2, (5, 7) = .2384620711060775, (5, 8) = -0.1719131326360054e-1, (6, 1) = .5826819228592746, (6, 2) = 2.073221055080982, (6, 3) = 1.1144914600827447, (6, 4) = -.44308841686112815, (6, 5) = -0.7717061316079763e-3, (6, 6) = -0.25268820825469864e-2, (6, 7) = .23726274115218043, (6, 8) = -0.21459576924590554e-1, (7, 1) = .7167987972096799, (7, 2) = 2.08947619950995, (7, 3) = 1.086056890143478, (7, 4) = -.4389737607362558, (7, 5) = -0.9302943600816812e-3, (7, 6) = -0.2390594424088466e-2, (7, 7) = .23574127633912154, (7, 8) = -0.2574051940308905e-1, (8, 1) = .8552243270567446, (8, 2) = 2.106195264574372, (8, 3) = 1.0572917693463244, (8, 4) = -.43264711158503066, (8, 5) = -0.10826316887520824e-2, (8, 6) = -0.22218564772743038e-2, (8, 7) = .23390155954230954, (8, 8) = -0.3000437348175994e-1, (9, 1) = .9971223068298118, (9, 2) = 2.1232630331885978, (9, 3) = 1.0285120629771227, (9, 4) = -.42500299401726216, (9, 5) = -0.12251288650475198e-2, (9, 6) = -0.2020468558365479e-2, (9, 7) = .23174518317692583, (9, 8) = -0.3425900172455319e-1, (10, 1) = 1.1403880565193913, (10, 2) = 2.140417506246899, (10, 3) = 1.0002330820836949, (10, 4) = -.41646231318183635, (10, 5) = -0.13532955942893068e-2, (10, 6) = -0.17888606301975137e-2, (10, 7) = .22930093716600436, (10, 8) = -0.38479821645083984e-1, (11, 1) = 1.2848560371873616, (11, 2) = 2.157633123577406, (11, 3) = .972544889446594, (11, 4) = -.40716533065014626, (11, 5) = -0.14649243004438183e-2, (11, 6) = -0.15271629102679156e-2, (11, 7) = .22657233126055396, (11, 8) = -0.4270162917265048e-1, (12, 1) = 1.4301779815647468, (12, 2) = 2.174863731247791, (12, 3) = .9455607571201168, (12, 4) = -.39720406598091457, (12, 5) = -0.15577695442980035e-2, (12, 6) = -0.12357581444406495e-2, (12, 7) = .2235654383584271, (12, 8) = -0.4695236462385006e-1, (13, 1) = 1.5763280469043144, (13, 2) = 2.1921023602581298, (13, 3) = .919324532356313, (13, 4) = -.38663131375997584, (13, 5) = -0.16298993869593623e-2, (13, 6) = -0.9143069330842038e-3, (13, 7) = .22027879640220124, (13, 8) = -0.5126769828228454e-1, (14, 1) = 1.7233029085519174, (14, 2) = 2.2093450776401773, (14, 3) = .8938722201834354, (14, 4) = -.3754911823635348, (14, 5) = -0.1679380471624622e-2, (14, 6) = -0.56219261460254e-3, (14, 7) = .21670817213271942, (14, 8) = -0.55682461237423535e-1, (15, 1) = 1.8695977105744697, (15, 2) = 2.2264135693538774, (15, 3) = .8694821050689756, (15, 4) = -.36394605335189745, (15, 5) = -0.17041218582975867e-2, (15, 6) = -0.18261725768322983e-3, (15, 7) = .21288767717685325, (15, 8) = -0.60183468717778625e-1, (16, 1) = 2.004318834492311, (16, 2) = 2.24204728767058, (16, 3) = .8478660458197957, (16, 4) = -.3529520747186337, (16, 5) = -0.1703947052706393e-2, (16, 6) = 0.1930785046640255e-3, (16, 7) = .20913089435897195, (16, 8) = -0.6444836567685784e-1, (17, 1) = 2.1281739711634566, (17, 2) = 2.256347942326914, (17, 3) = .828714635927611, (17, 4) = -.3425707281447779, (17, 5) = -0.1683293592142335e-2, (17, 6) = 0.5610978640474452e-3, (17, 7) = .2054713542257018, (17, 8) = -0.6849045140856727e-1}, datatype = float[8], order = C_order); YP := Matrix(17, 8, {(1, 1) = 2.004485896552819, (1, 2) = .2004485896552819, (1, 3) = .0, (1, 4) = -8.292153797940426, (1, 5) = -0.27680096777816673e-2, (1, 6) = -0.27680096777816675e-3, (1, 7) = .0, (1, 8) = -0.8402771632859804e-1, (2, 1) = 2.016128871830098, (2, 2) = .23001826613444845, (2, 3) = -.2840537895143862, (2, 4) = -3.13441770281248, (2, 5) = -0.27709675931239285e-2, (2, 6) = 0.163535062624731e-3, (2, 7) = -0.4406318219371238e-2, (2, 8) = -0.8051065476343953e-1, (3, 1) = 2.0291433559831695, (3, 2) = .24214399837924783, (3, 3) = -.39229662780930885, (3, 4) = -1.1306573477773207, (3, 5) = -0.27499874427327066e-2, (3, 6) = 0.5975047911590665e-3, (3, 7) = -0.8725035354323372e-2, (3, 8) = -0.7679800207671836e-1, (4, 1) = 2.0429897671946424, (4, 2) = .24739960351286594, (4, 3) = -.4310062679340168, (4, 4) = -.36545074799939437, (4, 5) = -0.27040560701133078e-2, (4, 6) = 0.10258700567064467e-2, (4, 7) = -0.12962756637177775e-1, (4, 8) = -0.733178647266296e-1, (5, 1) = 2.057662535063293, (5, 2) = .25001935840388656, (5, 3) = -.44253104897557294, (5, 4) = -0.7399978327046661e-1, (5, 5) = -0.26308082262691194e-2, (5, 6) = 0.1456050503733142e-2, (5, 7) = -0.1719131326360054e-1, (5, 8) = -0.7020786512850703e-1, (6, 1) = 2.073221055080982, (6, 2) = .2516309471942111, (6, 3) = -.44308841686112815, (6, 4) = 0.37839269069686876e-1, (6, 5) = -0.25268820825469864e-2, (6, 6) = 0.18932694842043567e-2, (6, 7) = -0.21459576924590554e-1, (6, 8) = -0.6754754268148135e-1, (7, 1) = 2.08947619950995, (7, 2) = .25284499602462057, (7, 3) = -.4389737607362558, (7, 4) = 0.8348883070150659e-1, (7, 5) = -0.2390594424088466e-2, (7, 6) = 0.23349924979000586e-2, (7, 7) = -0.2574051940308905e-1, (7, 8) = -0.6543067224858429e-1, (8, 1) = 2.106195264574372, (8, 2) = .25388423761594026, (8, 3) = -.43264711158503066, (8, 4) = .10611979364119695, (8, 5) = -0.22218564772743038e-2, (8, 6) = 0.27782517004485635e-2, (8, 7) = -0.3000437348175994e-1, (8, 8) = -0.6391269504017137e-1, (9, 1) = 2.1232630331885978, (9, 2) = .254826602720586, (9, 3) = -.42500299401726216, (9, 4) = .12097209696727333, (9, 5) = -0.2020468558365479e-2, (9, 6) = 0.32238533166187716e-2, (9, 7) = -0.3425900172455319e-1, (9, 8) = -0.6300589673559556e-1, (10, 1) = 2.140417506246899, (10, 2) = .2556879819428735, (10, 3) = -.41646231318183635, (10, 4) = .13290449162359227, (10, 5) = -0.17888606301975137e-2, (10, 6) = 0.3669096101488647e-2, (10, 7) = -0.38479821645083984e-1, (10, 8) = -0.6270721241949895e-1, (11, 1) = 2.157633123577406, (11, 2) = .25647984542275526, (11, 3) = -.40716533065014626, (11, 4) = .1435291800412589, (11, 5) = -0.15271629102679156e-2, (11, 6) = 0.4117446626238257e-2, (11, 7) = -0.4270162917265048e-1, (11, 8) = -0.6298986667189467e-1, (12, 1) = 2.174863731247791, (12, 2) = .2572067797228706, (12, 3) = -.39720406598091457, (12, 4) = .15333236356321886, (12, 5) = -0.12357581444406495e-2, (12, 6) = 0.4571660647940941e-2, (12, 7) = -0.4695236462385006e-1, (12, 8) = -0.6382849416526458e-1, (13, 1) = 2.1921023602581298, (13, 2) = .25787336740181055, (13, 3) = -.38663131375997584, (13, 4) = .1624822790849878, (13, 5) = -0.9143069330842038e-3, (13, 6) = 0.5035339134920034e-2, (13, 7) = -0.5126769828228454e-1, (13, 8) = -0.652015962918004e-1, (14, 1) = 2.2093450776401773, (14, 2) = .2584836260003712, (14, 3) = -.3754911823635348, (14, 4) = .1710357675816148, (14, 5) = -0.56219261460254e-3, (14, 6) = 0.55120268622821e-2, (14, 7) = -0.55682461237423535e-1, (14, 8) = -0.6709278022281344e-1, (15, 1) = 2.2264135693538774, (15, 2) = .2590359622705775, (15, 3) = -.36394605335189745, (15, 4) = .17892695062925598, (15, 5) = -0.18261725768322983e-3, (15, 6) = 0.6000085146009539e-2, (15, 7) = -0.60183468717778625e-1, (15, 8) = -0.694634928107482e-1, (16, 1) = 2.24204728767058, (16, 2) = .25949993623892137, (16, 3) = -.3529520747186337, (16, 4) = .18564201748023373, (16, 5) = 0.1930785046640255e-3, (16, 6) = 0.6464144418152187e-2, (16, 7) = -0.6444836567685784e-1, (16, 8) = -0.72064344245832e-1, (17, 1) = 2.256347942326914, (17, 2) = .2598918670471692, (17, 3) = -.3425707281447779, (17, 4) = .19133352524628847, (17, 5) = 0.5610978640474452e-3, (17, 6) = 0.6905154927261472e-2, (17, 7) = -0.6849045140856727e-1, (17, 8) = -0.7480089956413064e-1}, datatype = float[8], order = C_order); errproc := proc (x_bvp) local outpoint, X, Y, yout, L, V, i; option `Copyright (c) 2000 by Waterloo Maple Inc. All rights reserved.`; Digits := 15; outpoint := evalf(x_bvp); X := Vector(17, {(1) = .0, (2) = 0.53534222470661974e-1, (3) = .10845271758437264, (4) = .1649401849589618, (5) = .22390274235049956, (6) = .2859182575857521, (7) = .3503559453787789, (8) = .4163410481695927, (9) = .48344105161020273, (10) = .5506440573118462, (11) = .617869081532902, (12) = .6849538235849465, (13) = .7518883090500127, (14) = .8186731976686599, (15) = .8846348578534717, (16) = .9449335910398731, (17) = 1.0}, datatype = float[8], order = C_order); Y := Matrix(17, 8, {(1, 1) = .0, (1, 2) = 0.974701409493594e-14, (1, 3) = 0.11070714321850284e-11, (1, 4) = .0, (1, 5) = .0, (1, 6) = -0.40147422745731446e-15, (1, 7) = 0.33400201225433743e-13, (1, 8) = .0, (2, 1) = 0.1921162340118244e-10, (2, 2) = -0.3461191969185685e-9, (2, 3) = 0.348162655186109e-8, (2, 4) = -0.6271069097014921e-7, (2, 5) = -0.44083904578914124e-14, (2, 6) = 0.7864782122574381e-13, (2, 7) = -0.7615257373076448e-12, (2, 8) = 0.14320272770963152e-10, (3, 1) = 0.4858164438956526e-11, (3, 2) = -0.8749774565350293e-10, (3, 3) = 0.8810144827003194e-9, (3, 4) = -0.15854202602290896e-7, (3, 5) = -0.11518852741264706e-14, (3, 6) = 0.19587086116865164e-13, (3, 7) = -0.16763878222471197e-12, (3, 8) = 0.36190720272202087e-11, (4, 1) = -0.9214298956066883e-12, (4, 2) = 0.16659679823195495e-10, (4, 3) = -0.16625504453455158e-9, (4, 4) = 0.30149808432875374e-8, (4, 5) = 0.14647843582380722e-15, (4, 6) = -0.4190484831341016e-14, (4, 7) = 0.7153516868827931e-13, (4, 8) = -0.6906759040620387e-12, (5, 1) = -0.12926109858483954e-11, (5, 2) = 0.23349590911856208e-10, (5, 3) = -0.2335616048413267e-9, (5, 4) = 0.4227488220978929e-8, (5, 5) = 0.20910939563572478e-15, (5, 6) = -0.5703467070228641e-14, (5, 7) = 0.8681617475433449e-13, (5, 8) = -0.9682187729096364e-12, (6, 1) = -0.5273132560878931e-12, (6, 2) = 0.9576232368968485e-11, (6, 3) = -0.9507536595042013e-10, (6, 4) = 0.17321089427289865e-8, (6, 5) = 0.1190343785923967e-16, (6, 6) = -0.25454281492655196e-14, (6, 7) = 0.5480690357027477e-13, (6, 8) = -0.3990225745944728e-12, (7, 1) = -0.2871959910659793e-13, (7, 2) = 0.6418597114810438e-12, (7, 3) = -0.5236367395785608e-11, (7, 4) = 0.1131905408390032e-9, (7, 5) = -0.12259542264124263e-15, (7, 6) = -0.4847513937360724e-15, (7, 7) = 0.3415047867667241e-13, (7, 8) = -0.2997016109011267e-13, (8, 1) = 0.10837747682884183e-12, (8, 2) = -0.18146875735491123e-11, (8, 3) = 0.19446206823867058e-10, (8, 4) = -0.3317150118168921e-9, (8, 5) = -0.1738412876161762e-15, (8, 6) = 0.10051965251199756e-15, (8, 7) = 0.28033454931697328e-13, (8, 8) = 0.7105838250478006e-13, (9, 1) = 0.8677792838525368e-13, (9, 2) = -0.14202050077924012e-11, (9, 3) = 0.15504572313254055e-10, (9, 4) = -0.26091953549042987e-9, (9, 5) = -0.18823298205671165e-15, (9, 6) = 0.4527521116185577e-16, (9, 7) = 0.287802770066534e-13, (9, 8) = 0.54266289589687415e-13, (10, 1) = 0.46144883978589113e-13, (10, 2) = -0.6194246905933911e-12, (10, 3) = 0.7450388019704153e-11, (10, 4) = -0.11592593034699017e-9, (10, 5) = -0.19499607277523123e-15, (10, 6) = -0.1042015196512001e-15, (10, 7) = 0.30340425563062427e-13, (10, 8) = 0.20632915855819092e-13, (11, 1) = 0.1767346870273472e-13, (11, 2) = -0.14600768634720558e-12, (11, 3) = 0.2673338759081347e-11, (11, 4) = -0.3006376915283939e-10, (11, 5) = -0.20488313176065172e-15, (11, 6) = -0.1732971394718215e-15, (11, 7) = 0.30732200737447824e-13, (11, 8) = 0.5233319649640873e-15, (12, 1) = 0.11245626735866965e-13, (12, 2) = 0.3673551700343391e-13, (12, 3) = 0.8807325440173342e-12, (12, 4) = 0.2049852877019028e-11, (12, 5) = -0.21712214498265684e-15, (12, 6) = -0.17084709426777449e-15, (12, 7) = 0.3081529334583978e-13, (12, 8) = -0.7250677471424232e-14, (13, 1) = 0.11117824829762174e-13, (13, 2) = 0.6907570225412402e-13, (13, 3) = 0.5153776492659588e-12, (13, 4) = 0.8458945212086467e-11, (13, 5) = -0.2273022343954062e-15, (13, 6) = -0.13325985687865733e-15, (13, 7) = 0.30468997801422883e-13, (13, 8) = -0.9198719230825988e-14, (14, 1) = 0.13659977308835914e-13, (14, 2) = 0.6452759507315054e-13, (14, 3) = 0.5988628875523386e-12, (14, 4) = 0.675716600998662e-11, (14, 5) = -0.23067545023998644e-15, (14, 6) = -0.8150844270725942e-16, (14, 7) = 0.29797329463917535e-13, (14, 8) = -0.9313637829429707e-14, (15, 1) = 0.1700465903890549e-13, (15, 2) = 0.5164345159149602e-13, (15, 3) = 0.7333052843121338e-12, (15, 4) = 0.4172643024222364e-11, (15, 5) = -0.23576336056510346e-15, (15, 6) = -0.26130367914242146e-16, (15, 7) = 0.29494592947041693e-13, (15, 8) = -0.9220365247131957e-14, (16, 1) = 0.17573997377089492e-13, (16, 2) = 0.4393208098687605e-13, (16, 3) = 0.7896060666820936e-12, (16, 4) = 0.30276169150891385e-11, (16, 5) = -0.2357145056507278e-15, (16, 6) = 0.26270437168450933e-16, (16, 7) = 0.2886167559607105e-13, (16, 8) = -0.937713993350323e-14, (17, 1) = 0.18357555292175227e-13, (17, 2) = 0.3808487657896779e-13, (17, 3) = 0.8550792670826255e-12, (17, 4) = 0.17097017815014903e-11, (17, 5) = -0.23341466639149357e-15, (17, 6) = 0.7698962683108776e-16, (17, 7) = 0.28272806743550176e-13, (17, 8) = -0.9472933173968198e-14}, datatype = float[8], order = C_order); if not type(outpoint, 'numeric') then if outpoint = "start" or outpoint = "left" then return X[1] elif outpoint = "right" then return X[17] elif outpoint = "order" then return 8 elif outpoint = "error" then return 0.627106909701494e-7 elif outpoint = "errorproc" then error "this is already the error procedure" elif outpoint = "rawdata" then return [8, 17, [Phi(Y), diff(Phi(Y), Y), Theta(Y), diff(Theta(Y), Y), U(Y), diff(U(Y), Y), W(Y), diff(W(Y), Y)], X, Y] else return ('procname')(x_bvp) end if end if; if outpoint < X[1] or X[17] < outpoint then error "solution is only defined in the range %1..%2", X[1], X[17] end if; V := array([1 = 4, 2 = 0]); if Digits <= trunc(evalhf(Digits)) then L := Vector(4, 'datatype' = 'float'[8]); yout := Vector(8, 'datatype' = 'float'[8]); evalhf(`dsolve/numeric/lagrange`(17, 8, X, Y, outpoint, var(yout), var(L), var(V))) else L := Vector(4, 'datatype' = 'sfloat'); yout := Vector(8, 'datatype' = 'sfloat'); `dsolve/numeric/lagrange`(17, 8, X, Y, outpoint, yout, L, V) end if; [Y = outpoint, seq('[Phi(Y), diff(Phi(Y), Y), Theta(Y), diff(Theta(Y), Y), U(Y), diff(U(Y), Y), W(Y), diff(W(Y), Y)]'[i] = yout[i], i = 1 .. 8)] end proc; if not type(outpoint, 'numeric') then if outpoint = "start" or outpoint = "left" then return X[1] elif outpoint = "method" then return "bvp" elif outpoint = "right" then return X[17] elif outpoint = "order" then return 8 elif outpoint = "error" then return 0.627106909701494e-7 elif outpoint = "errorproc" then return eval(errproc) elif outpoint = "rawdata" then return [8, 17, "depnames", X, Y, YP] else error "non-numeric value" end if end if; if outpoint < X[1] or X[17] < outpoint then error "solution is only defined in the range %1..%2", X[1], X[17] end if; if Digits <= trunc(evalhf(Digits)) and (_EnvInFsolve <> true or _EnvDSNumericSaveDigits <= trunc(evalhf(Digits))) then V := array( 1 .. 6, [( 1 ) = (7), ( 2 ) = (0), ( 3 ) = (false), ( 4 ) = (false), ( 5 ) = (false), ( 6 ) = (false)  ] ); L := Matrix(7, 2, {(1, 1) = .0, (1, 2) = .0, (2, 1) = .0, (2, 2) = .0, (3, 1) = .0, (3, 2) = .0, (4, 1) = .0, (4, 2) = .0, (5, 1) = .0, (5, 2) = .0, (6, 1) = .0, (6, 2) = .0, (7, 1) = .0, (7, 2) = .0}, datatype = float[8], order = C_order); yout := Vector(8, {(1) = .0, (2) = .0, (3) = .0, (4) = .0, (5) = .0, (6) = .0, (7) = .0, (8) = .0}, datatype = float[8]); evalhf(`dsolve/numeric/hermite`(17, 8, X, Y, YP, outpoint, var(yout), var(L), var(V))) else if _EnvInFsolve = true then Digits := _EnvDSNumericSaveDigits end if; V := array( 1 .. 6, [( 1 ) = (7), ( 2 ) = (0), ( 3 ) = (false), ( 4 ) = (false), ( 5 ) = (false), ( 6 ) = (false)  ] ); L := Matrix(7, 2, {(1, 1) = 0., (1, 2) = 0., (2, 1) = 0., (2, 2) = 0., (3, 1) = 0., (3, 2) = 0., (4, 1) = 0., (4, 2) = 0., (5, 1) = 0., (5, 2) = 0., (6, 1) = 0., (6, 2) = 0., (7, 1) = 0., (7, 2) = 0.}, order = C_order); yout := Vector(8, {(1) = 0., (2) = 0., (3) = 0., (4) = 0., (5) = 0., (6) = 0., (7) = 0., (8) = 0.}); `dsolve/numeric/hermite`(17, 8, X, Y, YP, outpoint, yout, L, V) end if; [outpoint, seq(yout[i], i = 1 .. 8)] end proc, (2) = Array(1..9, {(1) = 18446744078245721294, (2) = 18446744078245721470, (3) = 18446744078245721646, (4) = 18446744078245721822, (5) = 18446744078245721998, (6) = 18446744078245722174, (7) = 18446744078245722350, (8) = 18446744078245722526, (9) = 18446744078245722702}), (3) = [Y, Phi(Y), diff(Phi(Y), Y), Theta(Y), diff(Theta(Y), Y), U(Y), diff(U(Y), Y), W(Y), diff(W(Y), Y)], (4) = 0}); solnproc := data[1]; if not type(outpoint, 'numeric') then if outpoint = "solnprocedure" then return eval(solnproc) elif member(outpoint, ["start", "left", "right", "errorproc", "rawdata", "order", "error"]) then return solnproc(Y) elif outpoint = "sysvars" then return data[3] elif procname <> unknown then return ('procname')(Y) else `diff(U(Y),Y)` := pointto(data[2][7]); return ('`diff(U(Y),Y)`')(Y) end if end if; try res := solnproc(outpoint); res[7] catch: error  end try end proc, W(Y) = proc (Y) local res, data, solnproc, `W(Y)`, outpoint; option `Copyright (c) 2000 by Waterloo Maple Inc. All rights reserved.`; _EnvDSNumericSaveDigits := Digits; Digits := 15; if _EnvInFsolve = true then outpoint := evalf[_EnvDSNumericSaveDigits](Y) else outpoint := evalf(Y) end if; data := Array(1..4, {(1) = proc (outpoint) local X, Y, YP, yout, errproc, L, V, i; option `Copyright (c) 2000 by Waterloo Maple Inc. All rights reserved.`; X := Vector(17, {(1) = .0, (2) = 0.53534222470661974e-1, (3) = .10845271758437264, (4) = .1649401849589618, (5) = .22390274235049956, (6) = .2859182575857521, (7) = .3503559453787789, (8) = .4163410481695927, (9) = .48344105161020273, (10) = .5506440573118462, (11) = .617869081532902, (12) = .6849538235849465, (13) = .7518883090500127, (14) = .8186731976686599, (15) = .8846348578534717, (16) = .9449335910398731, (17) = 1.0}, datatype = float[8], order = C_order); Y := Matrix(17, 8, {(1, 1) = .0, (1, 2) = 2.004485896552819, (1, 3) = 1.2191611225050978, (1, 4) = .0, (1, 5) = .0, (1, 6) = -0.27680096777816673e-2, (1, 7) = .24044572323613525, (1, 8) = .0, (2, 1) = .10761328358252858, (2, 2) = 2.016128871830098, (2, 3) = 1.210344653314836, (2, 4) = -.2840537895143862, (2, 5) = -0.14836759469719646e-3, (2, 6) = -0.27709675931239285e-2, (2, 7) = .24032693479486067, (2, 8) = -0.4406318219371238e-2, (3, 1) = .21869041152969454, (3, 2) = 2.0291433559831695, (3, 3) = 1.1912769397313012, (3, 4) = -.39229662780930885, (3, 5) = -0.30007793434459474e-3, (3, 6) = -0.27499874427327066e-2, (3, 7) = .23996542295130105, (3, 8) = -0.8725035354323372e-2, (4, 1) = .3337012761392636, (4, 2) = 2.0429897671946424, (4, 3) = 1.1678236922261134, (4, 4) = -.4310062679340168, (4, 5) = -0.45423437955162703e-3, (4, 6) = -0.27040560701133078e-2, (4, 7) = .23935195277989998, (4, 8) = -0.12962756637177775e-1, (5, 1) = .45459299869247327, (5, 2) = 2.057662535063293, (5, 3) = 1.1419877360928334, (5, 4) = -.44253104897557294, (5, 5) = -0.6116376149322017e-3, (5, 6) = -0.26308082262691194e-2, (5, 7) = .2384620711060775, (5, 8) = -0.1719131326360054e-1, (6, 1) = .5826819228592746, (6, 2) = 2.073221055080982, (6, 3) = 1.1144914600827447, (6, 4) = -.44308841686112815, (6, 5) = -0.7717061316079763e-3, (6, 6) = -0.25268820825469864e-2, (6, 7) = .23726274115218043, (6, 8) = -0.21459576924590554e-1, (7, 1) = .7167987972096799, (7, 2) = 2.08947619950995, (7, 3) = 1.086056890143478, (7, 4) = -.4389737607362558, (7, 5) = -0.9302943600816812e-3, (7, 6) = -0.2390594424088466e-2, (7, 7) = .23574127633912154, (7, 8) = -0.2574051940308905e-1, (8, 1) = .8552243270567446, (8, 2) = 2.106195264574372, (8, 3) = 1.0572917693463244, (8, 4) = -.43264711158503066, (8, 5) = -0.10826316887520824e-2, (8, 6) = -0.22218564772743038e-2, (8, 7) = .23390155954230954, (8, 8) = -0.3000437348175994e-1, (9, 1) = .9971223068298118, (9, 2) = 2.1232630331885978, (9, 3) = 1.0285120629771227, (9, 4) = -.42500299401726216, (9, 5) = -0.12251288650475198e-2, (9, 6) = -0.2020468558365479e-2, (9, 7) = .23174518317692583, (9, 8) = -0.3425900172455319e-1, (10, 1) = 1.1403880565193913, (10, 2) = 2.140417506246899, (10, 3) = 1.0002330820836949, (10, 4) = -.41646231318183635, (10, 5) = -0.13532955942893068e-2, (10, 6) = -0.17888606301975137e-2, (10, 7) = .22930093716600436, (10, 8) = -0.38479821645083984e-1, (11, 1) = 1.2848560371873616, (11, 2) = 2.157633123577406, (11, 3) = .972544889446594, (11, 4) = -.40716533065014626, (11, 5) = -0.14649243004438183e-2, (11, 6) = -0.15271629102679156e-2, (11, 7) = .22657233126055396, (11, 8) = -0.4270162917265048e-1, (12, 1) = 1.4301779815647468, (12, 2) = 2.174863731247791, (12, 3) = .9455607571201168, (12, 4) = -.39720406598091457, (12, 5) = -0.15577695442980035e-2, (12, 6) = -0.12357581444406495e-2, (12, 7) = .2235654383584271, (12, 8) = -0.4695236462385006e-1, (13, 1) = 1.5763280469043144, (13, 2) = 2.1921023602581298, (13, 3) = .919324532356313, (13, 4) = -.38663131375997584, (13, 5) = -0.16298993869593623e-2, (13, 6) = -0.9143069330842038e-3, (13, 7) = .22027879640220124, (13, 8) = -0.5126769828228454e-1, (14, 1) = 1.7233029085519174, (14, 2) = 2.2093450776401773, (14, 3) = .8938722201834354, (14, 4) = -.3754911823635348, (14, 5) = -0.1679380471624622e-2, (14, 6) = -0.56219261460254e-3, (14, 7) = .21670817213271942, (14, 8) = -0.55682461237423535e-1, (15, 1) = 1.8695977105744697, (15, 2) = 2.2264135693538774, (15, 3) = .8694821050689756, (15, 4) = -.36394605335189745, (15, 5) = -0.17041218582975867e-2, (15, 6) = -0.18261725768322983e-3, (15, 7) = .21288767717685325, (15, 8) = -0.60183468717778625e-1, (16, 1) = 2.004318834492311, (16, 2) = 2.24204728767058, (16, 3) = .8478660458197957, (16, 4) = -.3529520747186337, (16, 5) = -0.1703947052706393e-2, (16, 6) = 0.1930785046640255e-3, (16, 7) = .20913089435897195, (16, 8) = -0.6444836567685784e-1, (17, 1) = 2.1281739711634566, (17, 2) = 2.256347942326914, (17, 3) = .828714635927611, (17, 4) = -.3425707281447779, (17, 5) = -0.1683293592142335e-2, (17, 6) = 0.5610978640474452e-3, (17, 7) = .2054713542257018, (17, 8) = -0.6849045140856727e-1}, datatype = float[8], order = C_order); YP := Matrix(17, 8, {(1, 1) = 2.004485896552819, (1, 2) = .2004485896552819, (1, 3) = .0, (1, 4) = -8.292153797940426, (1, 5) = -0.27680096777816673e-2, (1, 6) = -0.27680096777816675e-3, (1, 7) = .0, (1, 8) = -0.8402771632859804e-1, (2, 1) = 2.016128871830098, (2, 2) = .23001826613444845, (2, 3) = -.2840537895143862, (2, 4) = -3.13441770281248, (2, 5) = -0.27709675931239285e-2, (2, 6) = 0.163535062624731e-3, (2, 7) = -0.4406318219371238e-2, (2, 8) = -0.8051065476343953e-1, (3, 1) = 2.0291433559831695, (3, 2) = .24214399837924783, (3, 3) = -.39229662780930885, (3, 4) = -1.1306573477773207, (3, 5) = -0.27499874427327066e-2, (3, 6) = 0.5975047911590665e-3, (3, 7) = -0.8725035354323372e-2, (3, 8) = -0.7679800207671836e-1, (4, 1) = 2.0429897671946424, (4, 2) = .24739960351286594, (4, 3) = -.4310062679340168, (4, 4) = -.36545074799939437, (4, 5) = -0.27040560701133078e-2, (4, 6) = 0.10258700567064467e-2, (4, 7) = -0.12962756637177775e-1, (4, 8) = -0.733178647266296e-1, (5, 1) = 2.057662535063293, (5, 2) = .25001935840388656, (5, 3) = -.44253104897557294, (5, 4) = -0.7399978327046661e-1, (5, 5) = -0.26308082262691194e-2, (5, 6) = 0.1456050503733142e-2, (5, 7) = -0.1719131326360054e-1, (5, 8) = -0.7020786512850703e-1, (6, 1) = 2.073221055080982, (6, 2) = .2516309471942111, (6, 3) = -.44308841686112815, (6, 4) = 0.37839269069686876e-1, (6, 5) = -0.25268820825469864e-2, (6, 6) = 0.18932694842043567e-2, (6, 7) = -0.21459576924590554e-1, (6, 8) = -0.6754754268148135e-1, (7, 1) = 2.08947619950995, (7, 2) = .25284499602462057, (7, 3) = -.4389737607362558, (7, 4) = 0.8348883070150659e-1, (7, 5) = -0.2390594424088466e-2, (7, 6) = 0.23349924979000586e-2, (7, 7) = -0.2574051940308905e-1, (7, 8) = -0.6543067224858429e-1, (8, 1) = 2.106195264574372, (8, 2) = .25388423761594026, (8, 3) = -.43264711158503066, (8, 4) = .10611979364119695, (8, 5) = -0.22218564772743038e-2, (8, 6) = 0.27782517004485635e-2, (8, 7) = -0.3000437348175994e-1, (8, 8) = -0.6391269504017137e-1, (9, 1) = 2.1232630331885978, (9, 2) = .254826602720586, (9, 3) = -.42500299401726216, (9, 4) = .12097209696727333, (9, 5) = -0.2020468558365479e-2, (9, 6) = 0.32238533166187716e-2, (9, 7) = -0.3425900172455319e-1, (9, 8) = -0.6300589673559556e-1, (10, 1) = 2.140417506246899, (10, 2) = .2556879819428735, (10, 3) = -.41646231318183635, (10, 4) = .13290449162359227, (10, 5) = -0.17888606301975137e-2, (10, 6) = 0.3669096101488647e-2, (10, 7) = -0.38479821645083984e-1, (10, 8) = -0.6270721241949895e-1, (11, 1) = 2.157633123577406, (11, 2) = .25647984542275526, (11, 3) = -.40716533065014626, (11, 4) = .1435291800412589, (11, 5) = -0.15271629102679156e-2, (11, 6) = 0.4117446626238257e-2, (11, 7) = -0.4270162917265048e-1, (11, 8) = -0.6298986667189467e-1, (12, 1) = 2.174863731247791, (12, 2) = .2572067797228706, (12, 3) = -.39720406598091457, (12, 4) = .15333236356321886, (12, 5) = -0.12357581444406495e-2, (12, 6) = 0.4571660647940941e-2, (12, 7) = -0.4695236462385006e-1, (12, 8) = -0.6382849416526458e-1, (13, 1) = 2.1921023602581298, (13, 2) = .25787336740181055, (13, 3) = -.38663131375997584, (13, 4) = .1624822790849878, (13, 5) = -0.9143069330842038e-3, (13, 6) = 0.5035339134920034e-2, (13, 7) = -0.5126769828228454e-1, (13, 8) = -0.652015962918004e-1, (14, 1) = 2.2093450776401773, (14, 2) = .2584836260003712, (14, 3) = -.3754911823635348, (14, 4) = .1710357675816148, (14, 5) = -0.56219261460254e-3, (14, 6) = 0.55120268622821e-2, (14, 7) = -0.55682461237423535e-1, (14, 8) = -0.6709278022281344e-1, (15, 1) = 2.2264135693538774, (15, 2) = .2590359622705775, (15, 3) = -.36394605335189745, (15, 4) = .17892695062925598, (15, 5) = -0.18261725768322983e-3, (15, 6) = 0.6000085146009539e-2, (15, 7) = -0.60183468717778625e-1, (15, 8) = -0.694634928107482e-1, (16, 1) = 2.24204728767058, (16, 2) = .25949993623892137, (16, 3) = -.3529520747186337, (16, 4) = .18564201748023373, (16, 5) = 0.1930785046640255e-3, (16, 6) = 0.6464144418152187e-2, (16, 7) = -0.6444836567685784e-1, (16, 8) = -0.72064344245832e-1, (17, 1) = 2.256347942326914, (17, 2) = .2598918670471692, (17, 3) = -.3425707281447779, (17, 4) = .19133352524628847, (17, 5) = 0.5610978640474452e-3, (17, 6) = 0.6905154927261472e-2, (17, 7) = -0.6849045140856727e-1, (17, 8) = -0.7480089956413064e-1}, datatype = float[8], order = C_order); errproc := proc (x_bvp) local outpoint, X, Y, yout, L, V, i; option `Copyright (c) 2000 by Waterloo Maple Inc. All rights reserved.`; Digits := 15; outpoint := evalf(x_bvp); X := Vector(17, {(1) = .0, (2) = 0.53534222470661974e-1, (3) = .10845271758437264, (4) = .1649401849589618, (5) = .22390274235049956, (6) = .2859182575857521, (7) = .3503559453787789, (8) = .4163410481695927, (9) = .48344105161020273, (10) = .5506440573118462, (11) = .617869081532902, (12) = .6849538235849465, (13) = .7518883090500127, (14) = .8186731976686599, (15) = .8846348578534717, (16) = .9449335910398731, (17) = 1.0}, datatype = float[8], order = C_order); Y := Matrix(17, 8, {(1, 1) = .0, (1, 2) = 0.974701409493594e-14, (1, 3) = 0.11070714321850284e-11, (1, 4) = .0, (1, 5) = .0, (1, 6) = -0.40147422745731446e-15, (1, 7) = 0.33400201225433743e-13, (1, 8) = .0, (2, 1) = 0.1921162340118244e-10, (2, 2) = -0.3461191969185685e-9, (2, 3) = 0.348162655186109e-8, (2, 4) = -0.6271069097014921e-7, (2, 5) = -0.44083904578914124e-14, (2, 6) = 0.7864782122574381e-13, (2, 7) = -0.7615257373076448e-12, (2, 8) = 0.14320272770963152e-10, (3, 1) = 0.4858164438956526e-11, (3, 2) = -0.8749774565350293e-10, (3, 3) = 0.8810144827003194e-9, (3, 4) = -0.15854202602290896e-7, (3, 5) = -0.11518852741264706e-14, (3, 6) = 0.19587086116865164e-13, (3, 7) = -0.16763878222471197e-12, (3, 8) = 0.36190720272202087e-11, (4, 1) = -0.9214298956066883e-12, (4, 2) = 0.16659679823195495e-10, (4, 3) = -0.16625504453455158e-9, (4, 4) = 0.30149808432875374e-8, (4, 5) = 0.14647843582380722e-15, (4, 6) = -0.4190484831341016e-14, (4, 7) = 0.7153516868827931e-13, (4, 8) = -0.6906759040620387e-12, (5, 1) = -0.12926109858483954e-11, (5, 2) = 0.23349590911856208e-10, (5, 3) = -0.2335616048413267e-9, (5, 4) = 0.4227488220978929e-8, (5, 5) = 0.20910939563572478e-15, (5, 6) = -0.5703467070228641e-14, (5, 7) = 0.8681617475433449e-13, (5, 8) = -0.9682187729096364e-12, (6, 1) = -0.5273132560878931e-12, (6, 2) = 0.9576232368968485e-11, (6, 3) = -0.9507536595042013e-10, (6, 4) = 0.17321089427289865e-8, (6, 5) = 0.1190343785923967e-16, (6, 6) = -0.25454281492655196e-14, (6, 7) = 0.5480690357027477e-13, (6, 8) = -0.3990225745944728e-12, (7, 1) = -0.2871959910659793e-13, (7, 2) = 0.6418597114810438e-12, (7, 3) = -0.5236367395785608e-11, (7, 4) = 0.1131905408390032e-9, (7, 5) = -0.12259542264124263e-15, (7, 6) = -0.4847513937360724e-15, (7, 7) = 0.3415047867667241e-13, (7, 8) = -0.2997016109011267e-13, (8, 1) = 0.10837747682884183e-12, (8, 2) = -0.18146875735491123e-11, (8, 3) = 0.19446206823867058e-10, (8, 4) = -0.3317150118168921e-9, (8, 5) = -0.1738412876161762e-15, (8, 6) = 0.10051965251199756e-15, (8, 7) = 0.28033454931697328e-13, (8, 8) = 0.7105838250478006e-13, (9, 1) = 0.8677792838525368e-13, (9, 2) = -0.14202050077924012e-11, (9, 3) = 0.15504572313254055e-10, (9, 4) = -0.26091953549042987e-9, (9, 5) = -0.18823298205671165e-15, (9, 6) = 0.4527521116185577e-16, (9, 7) = 0.287802770066534e-13, (9, 8) = 0.54266289589687415e-13, (10, 1) = 0.46144883978589113e-13, (10, 2) = -0.6194246905933911e-12, (10, 3) = 0.7450388019704153e-11, (10, 4) = -0.11592593034699017e-9, (10, 5) = -0.19499607277523123e-15, (10, 6) = -0.1042015196512001e-15, (10, 7) = 0.30340425563062427e-13, (10, 8) = 0.20632915855819092e-13, (11, 1) = 0.1767346870273472e-13, (11, 2) = -0.14600768634720558e-12, (11, 3) = 0.2673338759081347e-11, (11, 4) = -0.3006376915283939e-10, (11, 5) = -0.20488313176065172e-15, (11, 6) = -0.1732971394718215e-15, (11, 7) = 0.30732200737447824e-13, (11, 8) = 0.5233319649640873e-15, (12, 1) = 0.11245626735866965e-13, (12, 2) = 0.3673551700343391e-13, (12, 3) = 0.8807325440173342e-12, (12, 4) = 0.2049852877019028e-11, (12, 5) = -0.21712214498265684e-15, (12, 6) = -0.17084709426777449e-15, (12, 7) = 0.3081529334583978e-13, (12, 8) = -0.7250677471424232e-14, (13, 1) = 0.11117824829762174e-13, (13, 2) = 0.6907570225412402e-13, (13, 3) = 0.5153776492659588e-12, (13, 4) = 0.8458945212086467e-11, (13, 5) = -0.2273022343954062e-15, (13, 6) = -0.13325985687865733e-15, (13, 7) = 0.30468997801422883e-13, (13, 8) = -0.9198719230825988e-14, (14, 1) = 0.13659977308835914e-13, (14, 2) = 0.6452759507315054e-13, (14, 3) = 0.5988628875523386e-12, (14, 4) = 0.675716600998662e-11, (14, 5) = -0.23067545023998644e-15, (14, 6) = -0.8150844270725942e-16, (14, 7) = 0.29797329463917535e-13, (14, 8) = -0.9313637829429707e-14, (15, 1) = 0.1700465903890549e-13, (15, 2) = 0.5164345159149602e-13, (15, 3) = 0.7333052843121338e-12, (15, 4) = 0.4172643024222364e-11, (15, 5) = -0.23576336056510346e-15, (15, 6) = -0.26130367914242146e-16, (15, 7) = 0.29494592947041693e-13, (15, 8) = -0.9220365247131957e-14, (16, 1) = 0.17573997377089492e-13, (16, 2) = 0.4393208098687605e-13, (16, 3) = 0.7896060666820936e-12, (16, 4) = 0.30276169150891385e-11, (16, 5) = -0.2357145056507278e-15, (16, 6) = 0.26270437168450933e-16, (16, 7) = 0.2886167559607105e-13, (16, 8) = -0.937713993350323e-14, (17, 1) = 0.18357555292175227e-13, (17, 2) = 0.3808487657896779e-13, (17, 3) = 0.8550792670826255e-12, (17, 4) = 0.17097017815014903e-11, (17, 5) = -0.23341466639149357e-15, (17, 6) = 0.7698962683108776e-16, (17, 7) = 0.28272806743550176e-13, (17, 8) = -0.9472933173968198e-14}, datatype = float[8], order = C_order); if not type(outpoint, 'numeric') then if outpoint = "start" or outpoint = "left" then return X[1] elif outpoint = "right" then return X[17] elif outpoint = "order" then return 8 elif outpoint = "error" then return 0.627106909701494e-7 elif outpoint = "errorproc" then error "this is already the error procedure" elif outpoint = "rawdata" then return [8, 17, [Phi(Y), diff(Phi(Y), Y), Theta(Y), diff(Theta(Y), Y), U(Y), diff(U(Y), Y), W(Y), diff(W(Y), Y)], X, Y] else return ('procname')(x_bvp) end if end if; if outpoint < X[1] or X[17] < outpoint then error "solution is only defined in the range %1..%2", X[1], X[17] end if; V := array([1 = 4, 2 = 0]); if Digits <= trunc(evalhf(Digits)) then L := Vector(4, 'datatype' = 'float'[8]); yout := Vector(8, 'datatype' = 'float'[8]); evalhf(`dsolve/numeric/lagrange`(17, 8, X, Y, outpoint, var(yout), var(L), var(V))) else L := Vector(4, 'datatype' = 'sfloat'); yout := Vector(8, 'datatype' = 'sfloat'); `dsolve/numeric/lagrange`(17, 8, X, Y, outpoint, yout, L, V) end if; [Y = outpoint, seq('[Phi(Y), diff(Phi(Y), Y), Theta(Y), diff(Theta(Y), Y), U(Y), diff(U(Y), Y), W(Y), diff(W(Y), Y)]'[i] = yout[i], i = 1 .. 8)] end proc; if not type(outpoint, 'numeric') then if outpoint = "start" or outpoint = "left" then return X[1] elif outpoint = "method" then return "bvp" elif outpoint = "right" then return X[17] elif outpoint = "order" then return 8 elif outpoint = "error" then return 0.627106909701494e-7 elif outpoint = "errorproc" then return eval(errproc) elif outpoint = "rawdata" then return [8, 17, "depnames", X, Y, YP] else error "non-numeric value" end if end if; if outpoint < X[1] or X[17] < outpoint then error "solution is only defined in the range %1..%2", X[1], X[17] end if; if Digits <= trunc(evalhf(Digits)) and (_EnvInFsolve <> true or _EnvDSNumericSaveDigits <= trunc(evalhf(Digits))) then V := array( 1 .. 6, [( 1 ) = (7), ( 2 ) = (0), ( 3 ) = (false), ( 4 ) = (false), ( 5 ) = (false), ( 6 ) = (false)  ] ); L := Matrix(7, 2, {(1, 1) = .0, (1, 2) = .0, (2, 1) = .0, (2, 2) = .0, (3, 1) = .0, (3, 2) = .0, (4, 1) = .0, (4, 2) = .0, (5, 1) = .0, (5, 2) = .0, (6, 1) = .0, (6, 2) = .0, (7, 1) = .0, (7, 2) = .0}, datatype = float[8], order = C_order); yout := Vector(8, {(1) = .0, (2) = .0, (3) = .0, (4) = .0, (5) = .0, (6) = .0, (7) = .0, (8) = .0}, datatype = float[8]); evalhf(`dsolve/numeric/hermite`(17, 8, X, Y, YP, outpoint, var(yout), var(L), var(V))) else if _EnvInFsolve = true then Digits := _EnvDSNumericSaveDigits end if; V := array( 1 .. 6, [( 1 ) = (7), ( 2 ) = (0), ( 3 ) = (false), ( 4 ) = (false), ( 5 ) = (false), ( 6 ) = (false)  ] ); L := Matrix(7, 2, {(1, 1) = 0., (1, 2) = 0., (2, 1) = 0., (2, 2) = 0., (3, 1) = 0., (3, 2) = 0., (4, 1) = 0., (4, 2) = 0., (5, 1) = 0., (5, 2) = 0., (6, 1) = 0., (6, 2) = 0., (7, 1) = 0., (7, 2) = 0.}, order = C_order); yout := Vector(8, {(1) = 0., (2) = 0., (3) = 0., (4) = 0., (5) = 0., (6) = 0., (7) = 0., (8) = 0.}); `dsolve/numeric/hermite`(17, 8, X, Y, YP, outpoint, yout, L, V) end if; [outpoint, seq(yout[i], i = 1 .. 8)] end proc, (2) = Array(1..9, {(1) = 18446744078245721294, (2) = 18446744078245721470, (3) = 18446744078245721646, (4) = 18446744078245721822, (5) = 18446744078245721998, (6) = 18446744078245722174, (7) = 18446744078245722350, (8) = 18446744078245722526, (9) = 18446744078245722702}), (3) = [Y, Phi(Y), diff(Phi(Y), Y), Theta(Y), diff(Theta(Y), Y), U(Y), diff(U(Y), Y), W(Y), diff(W(Y), Y)], (4) = 0}); solnproc := data[1]; if not type(outpoint, 'numeric') then if outpoint = "solnprocedure" then return eval(solnproc) elif member(outpoint, ["start", "left", "right", "errorproc", "rawdata", "order", "error"]) then return solnproc(Y) elif outpoint = "sysvars" then return data[3] elif procname <> unknown then return ('procname')(Y) else `W(Y)` := pointto(data[2][8]); return ('`W(Y)`')(Y) end if end if; try res := solnproc(outpoint); res[8] catch: error  end try end proc, diff(W(Y), Y) = proc (Y) local res, data, solnproc, `diff(W(Y),Y)`, outpoint; option `Copyright (c) 2000 by Waterloo Maple Inc. All rights reserved.`; _EnvDSNumericSaveDigits := Digits; Digits := 15; if _EnvInFsolve = true then outpoint := evalf[_EnvDSNumericSaveDigits](Y) else outpoint := evalf(Y) end if; data := Array(1..4, {(1) = proc (outpoint) local X, Y, YP, yout, errproc, L, V, i; option `Copyright (c) 2000 by Waterloo Maple Inc. All rights reserved.`; X := Vector(17, {(1) = .0, (2) = 0.53534222470661974e-1, (3) = .10845271758437264, (4) = .1649401849589618, (5) = .22390274235049956, (6) = .2859182575857521, (7) = .3503559453787789, (8) = .4163410481695927, (9) = .48344105161020273, (10) = .5506440573118462, (11) = .617869081532902, (12) = .6849538235849465, (13) = .7518883090500127, (14) = .8186731976686599, (15) = .8846348578534717, (16) = .9449335910398731, (17) = 1.0}, datatype = float[8], order = C_order); Y := Matrix(17, 8, {(1, 1) = .0, (1, 2) = 2.004485896552819, (1, 3) = 1.2191611225050978, (1, 4) = .0, (1, 5) = .0, (1, 6) = -0.27680096777816673e-2, (1, 7) = .24044572323613525, (1, 8) = .0, (2, 1) = .10761328358252858, (2, 2) = 2.016128871830098, (2, 3) = 1.210344653314836, (2, 4) = -.2840537895143862, (2, 5) = -0.14836759469719646e-3, (2, 6) = -0.27709675931239285e-2, (2, 7) = .24032693479486067, (2, 8) = -0.4406318219371238e-2, (3, 1) = .21869041152969454, (3, 2) = 2.0291433559831695, (3, 3) = 1.1912769397313012, (3, 4) = -.39229662780930885, (3, 5) = -0.30007793434459474e-3, (3, 6) = -0.27499874427327066e-2, (3, 7) = .23996542295130105, (3, 8) = -0.8725035354323372e-2, (4, 1) = .3337012761392636, (4, 2) = 2.0429897671946424, (4, 3) = 1.1678236922261134, (4, 4) = -.4310062679340168, (4, 5) = -0.45423437955162703e-3, (4, 6) = -0.27040560701133078e-2, (4, 7) = .23935195277989998, (4, 8) = -0.12962756637177775e-1, (5, 1) = .45459299869247327, (5, 2) = 2.057662535063293, (5, 3) = 1.1419877360928334, (5, 4) = -.44253104897557294, (5, 5) = -0.6116376149322017e-3, (5, 6) = -0.26308082262691194e-2, (5, 7) = .2384620711060775, (5, 8) = -0.1719131326360054e-1, (6, 1) = .5826819228592746, (6, 2) = 2.073221055080982, (6, 3) = 1.1144914600827447, (6, 4) = -.44308841686112815, (6, 5) = -0.7717061316079763e-3, (6, 6) = -0.25268820825469864e-2, (6, 7) = .23726274115218043, (6, 8) = -0.21459576924590554e-1, (7, 1) = .7167987972096799, (7, 2) = 2.08947619950995, (7, 3) = 1.086056890143478, (7, 4) = -.4389737607362558, (7, 5) = -0.9302943600816812e-3, (7, 6) = -0.2390594424088466e-2, (7, 7) = .23574127633912154, (7, 8) = -0.2574051940308905e-1, (8, 1) = .8552243270567446, (8, 2) = 2.106195264574372, (8, 3) = 1.0572917693463244, (8, 4) = -.43264711158503066, (8, 5) = -0.10826316887520824e-2, (8, 6) = -0.22218564772743038e-2, (8, 7) = .23390155954230954, (8, 8) = -0.3000437348175994e-1, (9, 1) = .9971223068298118, (9, 2) = 2.1232630331885978, (9, 3) = 1.0285120629771227, (9, 4) = -.42500299401726216, (9, 5) = -0.12251288650475198e-2, (9, 6) = -0.2020468558365479e-2, (9, 7) = .23174518317692583, (9, 8) = -0.3425900172455319e-1, (10, 1) = 1.1403880565193913, (10, 2) = 2.140417506246899, (10, 3) = 1.0002330820836949, (10, 4) = -.41646231318183635, (10, 5) = -0.13532955942893068e-2, (10, 6) = -0.17888606301975137e-2, (10, 7) = .22930093716600436, (10, 8) = -0.38479821645083984e-1, (11, 1) = 1.2848560371873616, (11, 2) = 2.157633123577406, (11, 3) = .972544889446594, (11, 4) = -.40716533065014626, (11, 5) = -0.14649243004438183e-2, (11, 6) = -0.15271629102679156e-2, (11, 7) = .22657233126055396, (11, 8) = -0.4270162917265048e-1, (12, 1) = 1.4301779815647468, (12, 2) = 2.174863731247791, (12, 3) = .9455607571201168, (12, 4) = -.39720406598091457, (12, 5) = -0.15577695442980035e-2, (12, 6) = -0.12357581444406495e-2, (12, 7) = .2235654383584271, (12, 8) = -0.4695236462385006e-1, (13, 1) = 1.5763280469043144, (13, 2) = 2.1921023602581298, (13, 3) = .919324532356313, (13, 4) = -.38663131375997584, (13, 5) = -0.16298993869593623e-2, (13, 6) = -0.9143069330842038e-3, (13, 7) = .22027879640220124, (13, 8) = -0.5126769828228454e-1, (14, 1) = 1.7233029085519174, (14, 2) = 2.2093450776401773, (14, 3) = .8938722201834354, (14, 4) = -.3754911823635348, (14, 5) = -0.1679380471624622e-2, (14, 6) = -0.56219261460254e-3, (14, 7) = .21670817213271942, (14, 8) = -0.55682461237423535e-1, (15, 1) = 1.8695977105744697, (15, 2) = 2.2264135693538774, (15, 3) = .8694821050689756, (15, 4) = -.36394605335189745, (15, 5) = -0.17041218582975867e-2, (15, 6) = -0.18261725768322983e-3, (15, 7) = .21288767717685325, (15, 8) = -0.60183468717778625e-1, (16, 1) = 2.004318834492311, (16, 2) = 2.24204728767058, (16, 3) = .8478660458197957, (16, 4) = -.3529520747186337, (16, 5) = -0.1703947052706393e-2, (16, 6) = 0.1930785046640255e-3, (16, 7) = .20913089435897195, (16, 8) = -0.6444836567685784e-1, (17, 1) = 2.1281739711634566, (17, 2) = 2.256347942326914, (17, 3) = .828714635927611, (17, 4) = -.3425707281447779, (17, 5) = -0.1683293592142335e-2, (17, 6) = 0.5610978640474452e-3, (17, 7) = .2054713542257018, (17, 8) = -0.6849045140856727e-1}, datatype = float[8], order = C_order); YP := Matrix(17, 8, {(1, 1) = 2.004485896552819, (1, 2) = .2004485896552819, (1, 3) = .0, (1, 4) = -8.292153797940426, (1, 5) = -0.27680096777816673e-2, (1, 6) = -0.27680096777816675e-3, (1, 7) = .0, (1, 8) = -0.8402771632859804e-1, (2, 1) = 2.016128871830098, (2, 2) = .23001826613444845, (2, 3) = -.2840537895143862, (2, 4) = -3.13441770281248, (2, 5) = -0.27709675931239285e-2, (2, 6) = 0.163535062624731e-3, (2, 7) = -0.4406318219371238e-2, (2, 8) = -0.8051065476343953e-1, (3, 1) = 2.0291433559831695, (3, 2) = .24214399837924783, (3, 3) = -.39229662780930885, (3, 4) = -1.1306573477773207, (3, 5) = -0.27499874427327066e-2, (3, 6) = 0.5975047911590665e-3, (3, 7) = -0.8725035354323372e-2, (3, 8) = -0.7679800207671836e-1, (4, 1) = 2.0429897671946424, (4, 2) = .24739960351286594, (4, 3) = -.4310062679340168, (4, 4) = -.36545074799939437, (4, 5) = -0.27040560701133078e-2, (4, 6) = 0.10258700567064467e-2, (4, 7) = -0.12962756637177775e-1, (4, 8) = -0.733178647266296e-1, (5, 1) = 2.057662535063293, (5, 2) = .25001935840388656, (5, 3) = -.44253104897557294, (5, 4) = -0.7399978327046661e-1, (5, 5) = -0.26308082262691194e-2, (5, 6) = 0.1456050503733142e-2, (5, 7) = -0.1719131326360054e-1, (5, 8) = -0.7020786512850703e-1, (6, 1) = 2.073221055080982, (6, 2) = .2516309471942111, (6, 3) = -.44308841686112815, (6, 4) = 0.37839269069686876e-1, (6, 5) = -0.25268820825469864e-2, (6, 6) = 0.18932694842043567e-2, (6, 7) = -0.21459576924590554e-1, (6, 8) = -0.6754754268148135e-1, (7, 1) = 2.08947619950995, (7, 2) = .25284499602462057, (7, 3) = -.4389737607362558, (7, 4) = 0.8348883070150659e-1, (7, 5) = -0.2390594424088466e-2, (7, 6) = 0.23349924979000586e-2, (7, 7) = -0.2574051940308905e-1, (7, 8) = -0.6543067224858429e-1, (8, 1) = 2.106195264574372, (8, 2) = .25388423761594026, (8, 3) = -.43264711158503066, (8, 4) = .10611979364119695, (8, 5) = -0.22218564772743038e-2, (8, 6) = 0.27782517004485635e-2, (8, 7) = -0.3000437348175994e-1, (8, 8) = -0.6391269504017137e-1, (9, 1) = 2.1232630331885978, (9, 2) = .254826602720586, (9, 3) = -.42500299401726216, (9, 4) = .12097209696727333, (9, 5) = -0.2020468558365479e-2, (9, 6) = 0.32238533166187716e-2, (9, 7) = -0.3425900172455319e-1, (9, 8) = -0.6300589673559556e-1, (10, 1) = 2.140417506246899, (10, 2) = .2556879819428735, (10, 3) = -.41646231318183635, (10, 4) = .13290449162359227, (10, 5) = -0.17888606301975137e-2, (10, 6) = 0.3669096101488647e-2, (10, 7) = -0.38479821645083984e-1, (10, 8) = -0.6270721241949895e-1, (11, 1) = 2.157633123577406, (11, 2) = .25647984542275526, (11, 3) = -.40716533065014626, (11, 4) = .1435291800412589, (11, 5) = -0.15271629102679156e-2, (11, 6) = 0.4117446626238257e-2, (11, 7) = -0.4270162917265048e-1, (11, 8) = -0.6298986667189467e-1, (12, 1) = 2.174863731247791, (12, 2) = .2572067797228706, (12, 3) = -.39720406598091457, (12, 4) = .15333236356321886, (12, 5) = -0.12357581444406495e-2, (12, 6) = 0.4571660647940941e-2, (12, 7) = -0.4695236462385006e-1, (12, 8) = -0.6382849416526458e-1, (13, 1) = 2.1921023602581298, (13, 2) = .25787336740181055, (13, 3) = -.38663131375997584, (13, 4) = .1624822790849878, (13, 5) = -0.9143069330842038e-3, (13, 6) = 0.5035339134920034e-2, (13, 7) = -0.5126769828228454e-1, (13, 8) = -0.652015962918004e-1, (14, 1) = 2.2093450776401773, (14, 2) = .2584836260003712, (14, 3) = -.3754911823635348, (14, 4) = .1710357675816148, (14, 5) = -0.56219261460254e-3, (14, 6) = 0.55120268622821e-2, (14, 7) = -0.55682461237423535e-1, (14, 8) = -0.6709278022281344e-1, (15, 1) = 2.2264135693538774, (15, 2) = .2590359622705775, (15, 3) = -.36394605335189745, (15, 4) = .17892695062925598, (15, 5) = -0.18261725768322983e-3, (15, 6) = 0.6000085146009539e-2, (15, 7) = -0.60183468717778625e-1, (15, 8) = -0.694634928107482e-1, (16, 1) = 2.24204728767058, (16, 2) = .25949993623892137, (16, 3) = -.3529520747186337, (16, 4) = .18564201748023373, (16, 5) = 0.1930785046640255e-3, (16, 6) = 0.6464144418152187e-2, (16, 7) = -0.6444836567685784e-1, (16, 8) = -0.72064344245832e-1, (17, 1) = 2.256347942326914, (17, 2) = .2598918670471692, (17, 3) = -.3425707281447779, (17, 4) = .19133352524628847, (17, 5) = 0.5610978640474452e-3, (17, 6) = 0.6905154927261472e-2, (17, 7) = -0.6849045140856727e-1, (17, 8) = -0.7480089956413064e-1}, datatype = float[8], order = C_order); errproc := proc (x_bvp) local outpoint, X, Y, yout, L, V, i; option `Copyright (c) 2000 by Waterloo Maple Inc. All rights reserved.`; Digits := 15; outpoint := evalf(x_bvp); X := Vector(17, {(1) = .0, (2) = 0.53534222470661974e-1, (3) = .10845271758437264, (4) = .1649401849589618, (5) = .22390274235049956, (6) = .2859182575857521, (7) = .3503559453787789, (8) = .4163410481695927, (9) = .48344105161020273, (10) = .5506440573118462, (11) = .617869081532902, (12) = .6849538235849465, (13) = .7518883090500127, (14) = .8186731976686599, (15) = .8846348578534717, (16) = .9449335910398731, (17) = 1.0}, datatype = float[8], order = C_order); Y := Matrix(17, 8, {(1, 1) = .0, (1, 2) = 0.974701409493594e-14, (1, 3) = 0.11070714321850284e-11, (1, 4) = .0, (1, 5) = .0, (1, 6) = -0.40147422745731446e-15, (1, 7) = 0.33400201225433743e-13, (1, 8) = .0, (2, 1) = 0.1921162340118244e-10, (2, 2) = -0.3461191969185685e-9, (2, 3) = 0.348162655186109e-8, (2, 4) = -0.6271069097014921e-7, (2, 5) = -0.44083904578914124e-14, (2, 6) = 0.7864782122574381e-13, (2, 7) = -0.7615257373076448e-12, (2, 8) = 0.14320272770963152e-10, (3, 1) = 0.4858164438956526e-11, (3, 2) = -0.8749774565350293e-10, (3, 3) = 0.8810144827003194e-9, (3, 4) = -0.15854202602290896e-7, (3, 5) = -0.11518852741264706e-14, (3, 6) = 0.19587086116865164e-13, (3, 7) = -0.16763878222471197e-12, (3, 8) = 0.36190720272202087e-11, (4, 1) = -0.9214298956066883e-12, (4, 2) = 0.16659679823195495e-10, (4, 3) = -0.16625504453455158e-9, (4, 4) = 0.30149808432875374e-8, (4, 5) = 0.14647843582380722e-15, (4, 6) = -0.4190484831341016e-14, (4, 7) = 0.7153516868827931e-13, (4, 8) = -0.6906759040620387e-12, (5, 1) = -0.12926109858483954e-11, (5, 2) = 0.23349590911856208e-10, (5, 3) = -0.2335616048413267e-9, (5, 4) = 0.4227488220978929e-8, (5, 5) = 0.20910939563572478e-15, (5, 6) = -0.5703467070228641e-14, (5, 7) = 0.8681617475433449e-13, (5, 8) = -0.9682187729096364e-12, (6, 1) = -0.5273132560878931e-12, (6, 2) = 0.9576232368968485e-11, (6, 3) = -0.9507536595042013e-10, (6, 4) = 0.17321089427289865e-8, (6, 5) = 0.1190343785923967e-16, (6, 6) = -0.25454281492655196e-14, (6, 7) = 0.5480690357027477e-13, (6, 8) = -0.3990225745944728e-12, (7, 1) = -0.2871959910659793e-13, (7, 2) = 0.6418597114810438e-12, (7, 3) = -0.5236367395785608e-11, (7, 4) = 0.1131905408390032e-9, (7, 5) = -0.12259542264124263e-15, (7, 6) = -0.4847513937360724e-15, (7, 7) = 0.3415047867667241e-13, (7, 8) = -0.2997016109011267e-13, (8, 1) = 0.10837747682884183e-12, (8, 2) = -0.18146875735491123e-11, (8, 3) = 0.19446206823867058e-10, (8, 4) = -0.3317150118168921e-9, (8, 5) = -0.1738412876161762e-15, (8, 6) = 0.10051965251199756e-15, (8, 7) = 0.28033454931697328e-13, (8, 8) = 0.7105838250478006e-13, (9, 1) = 0.8677792838525368e-13, (9, 2) = -0.14202050077924012e-11, (9, 3) = 0.15504572313254055e-10, (9, 4) = -0.26091953549042987e-9, (9, 5) = -0.18823298205671165e-15, (9, 6) = 0.4527521116185577e-16, (9, 7) = 0.287802770066534e-13, (9, 8) = 0.54266289589687415e-13, (10, 1) = 0.46144883978589113e-13, (10, 2) = -0.6194246905933911e-12, (10, 3) = 0.7450388019704153e-11, (10, 4) = -0.11592593034699017e-9, (10, 5) = -0.19499607277523123e-15, (10, 6) = -0.1042015196512001e-15, (10, 7) = 0.30340425563062427e-13, (10, 8) = 0.20632915855819092e-13, (11, 1) = 0.1767346870273472e-13, (11, 2) = -0.14600768634720558e-12, (11, 3) = 0.2673338759081347e-11, (11, 4) = -0.3006376915283939e-10, (11, 5) = -0.20488313176065172e-15, (11, 6) = -0.1732971394718215e-15, (11, 7) = 0.30732200737447824e-13, (11, 8) = 0.5233319649640873e-15, (12, 1) = 0.11245626735866965e-13, (12, 2) = 0.3673551700343391e-13, (12, 3) = 0.8807325440173342e-12, (12, 4) = 0.2049852877019028e-11, (12, 5) = -0.21712214498265684e-15, (12, 6) = -0.17084709426777449e-15, (12, 7) = 0.3081529334583978e-13, (12, 8) = -0.7250677471424232e-14, (13, 1) = 0.11117824829762174e-13, (13, 2) = 0.6907570225412402e-13, (13, 3) = 0.5153776492659588e-12, (13, 4) = 0.8458945212086467e-11, (13, 5) = -0.2273022343954062e-15, (13, 6) = -0.13325985687865733e-15, (13, 7) = 0.30468997801422883e-13, (13, 8) = -0.9198719230825988e-14, (14, 1) = 0.13659977308835914e-13, (14, 2) = 0.6452759507315054e-13, (14, 3) = 0.5988628875523386e-12, (14, 4) = 0.675716600998662e-11, (14, 5) = -0.23067545023998644e-15, (14, 6) = -0.8150844270725942e-16, (14, 7) = 0.29797329463917535e-13, (14, 8) = -0.9313637829429707e-14, (15, 1) = 0.1700465903890549e-13, (15, 2) = 0.5164345159149602e-13, (15, 3) = 0.7333052843121338e-12, (15, 4) = 0.4172643024222364e-11, (15, 5) = -0.23576336056510346e-15, (15, 6) = -0.26130367914242146e-16, (15, 7) = 0.29494592947041693e-13, (15, 8) = -0.9220365247131957e-14, (16, 1) = 0.17573997377089492e-13, (16, 2) = 0.4393208098687605e-13, (16, 3) = 0.7896060666820936e-12, (16, 4) = 0.30276169150891385e-11, (16, 5) = -0.2357145056507278e-15, (16, 6) = 0.26270437168450933e-16, (16, 7) = 0.2886167559607105e-13, (16, 8) = -0.937713993350323e-14, (17, 1) = 0.18357555292175227e-13, (17, 2) = 0.3808487657896779e-13, (17, 3) = 0.8550792670826255e-12, (17, 4) = 0.17097017815014903e-11, (17, 5) = -0.23341466639149357e-15, (17, 6) = 0.7698962683108776e-16, (17, 7) = 0.28272806743550176e-13, (17, 8) = -0.9472933173968198e-14}, datatype = float[8], order = C_order); if not type(outpoint, 'numeric') then if outpoint = "start" or outpoint = "left" then return X[1] elif outpoint = "right" then return X[17] elif outpoint = "order" then return 8 elif outpoint = "error" then return 0.627106909701494e-7 elif outpoint = "errorproc" then error "this is already the error procedure" elif outpoint = "rawdata" then return [8, 17, [Phi(Y), diff(Phi(Y), Y), Theta(Y), diff(Theta(Y), Y), U(Y), diff(U(Y), Y), W(Y), diff(W(Y), Y)], X, Y] else return ('procname')(x_bvp) end if end if; if outpoint < X[1] or X[17] < outpoint then error "solution is only defined in the range %1..%2", X[1], X[17] end if; V := array([1 = 4, 2 = 0]); if Digits <= trunc(evalhf(Digits)) then L := Vector(4, 'datatype' = 'float'[8]); yout := Vector(8, 'datatype' = 'float'[8]); evalhf(`dsolve/numeric/lagrange`(17, 8, X, Y, outpoint, var(yout), var(L), var(V))) else L := Vector(4, 'datatype' = 'sfloat'); yout := Vector(8, 'datatype' = 'sfloat'); `dsolve/numeric/lagrange`(17, 8, X, Y, outpoint, yout, L, V) end if; [Y = outpoint, seq('[Phi(Y), diff(Phi(Y), Y), Theta(Y), diff(Theta(Y), Y), U(Y), diff(U(Y), Y), W(Y), diff(W(Y), Y)]'[i] = yout[i], i = 1 .. 8)] end proc; if not type(outpoint, 'numeric') then if outpoint = "start" or outpoint = "left" then return X[1] elif outpoint = "method" then return "bvp" elif outpoint = "right" then return X[17] elif outpoint = "order" then return 8 elif outpoint = "error" then return 0.627106909701494e-7 elif outpoint = "errorproc" then return eval(errproc) elif outpoint = "rawdata" then return [8, 17, "depnames", X, Y, YP] else error "non-numeric value" end if end if; if outpoint < X[1] or X[17] < outpoint then error "solution is only defined in the range %1..%2", X[1], X[17] end if; if Digits <= trunc(evalhf(Digits)) and (_EnvInFsolve <> true or _EnvDSNumericSaveDigits <= trunc(evalhf(Digits))) then V := array( 1 .. 6, [( 1 ) = (7), ( 2 ) = (0), ( 3 ) = (false), ( 4 ) = (false), ( 5 ) = (false), ( 6 ) = (false)  ] ); L := Matrix(7, 2, {(1, 1) = .0, (1, 2) = .0, (2, 1) = .0, (2, 2) = .0, (3, 1) = .0, (3, 2) = .0, (4, 1) = .0, (4, 2) = .0, (5, 1) = .0, (5, 2) = .0, (6, 1) = .0, (6, 2) = .0, (7, 1) = .0, (7, 2) = .0}, datatype = float[8], order = C_order); yout := Vector(8, {(1) = .0, (2) = .0, (3) = .0, (4) = .0, (5) = .0, (6) = .0, (7) = .0, (8) = .0}, datatype = float[8]); evalhf(`dsolve/numeric/hermite`(17, 8, X, Y, YP, outpoint, var(yout), var(L), var(V))) else if _EnvInFsolve = true then Digits := _EnvDSNumericSaveDigits end if; V := array( 1 .. 6, [( 1 ) = (7), ( 2 ) = (0), ( 3 ) = (false), ( 4 ) = (false), ( 5 ) = (false), ( 6 ) = (false)  ] ); L := Matrix(7, 2, {(1, 1) = 0., (1, 2) = 0., (2, 1) = 0., (2, 2) = 0., (3, 1) = 0., (3, 2) = 0., (4, 1) = 0., (4, 2) = 0., (5, 1) = 0., (5, 2) = 0., (6, 1) = 0., (6, 2) = 0., (7, 1) = 0., (7, 2) = 0.}, order = C_order); yout := Vector(8, {(1) = 0., (2) = 0., (3) = 0., (4) = 0., (5) = 0., (6) = 0., (7) = 0., (8) = 0.}); `dsolve/numeric/hermite`(17, 8, X, Y, YP, outpoint, yout, L, V) end if; [outpoint, seq(yout[i], i = 1 .. 8)] end proc, (2) = Array(1..9, {(1) = 18446744078245721294, (2) = 18446744078245721470, (3) = 18446744078245721646, (4) = 18446744078245721822, (5) = 18446744078245721998, (6) = 18446744078245722174, (7) = 18446744078245722350, (8) = 18446744078245722526, (9) = 18446744078245722702}), (3) = [Y, Phi(Y), diff(Phi(Y), Y), Theta(Y), diff(Theta(Y), Y), U(Y), diff(U(Y), Y), W(Y), diff(W(Y), Y)], (4) = 0}); solnproc := data[1]; if not type(outpoint, 'numeric') then if outpoint = "solnprocedure" then return eval(solnproc) elif member(outpoint, ["start", "left", "right", "errorproc", "rawdata", "order", "error"]) then return solnproc(Y) elif outpoint = "sysvars" then return data[3] elif procname <> unknown then return ('procname')(Y) else `diff(W(Y),Y)` := pointto(data[2][9]); return ('`diff(W(Y),Y)`')(Y) end if end if; try res := solnproc(outpoint); res[9] catch: error  end try end proc]

 

[Y = proc (Y) local _res, _dat, _solnproc; option `Copyright (c) 1993 by the University of Waterloo. All rights reserved.`; _dat := Array(1..4, {(1) = proc (outpoint) local X, Y, YP, yout, errproc, L, V, i; option `Copyright (c) 2000 by Waterloo Maple Inc. All rights reserved.`; X := Vector(15, {(1) = .0, (2) = 0.6625765054815187e-1, (3) = .13365088476916737, (4) = .2025067106211468, (5) = .2733920872360328, (6) = .34600102942393746, (7) = .4195023200785157, (8) = .49352965253504266, (9) = .5675002893529849, (10) = .6413468189931577, (11) = .7149962970034011, (12) = .7884576498363884, (13) = .8617314835414673, (14) = .9326665595843895, (15) = 1.0}, datatype = float[8], order = C_order); Y := Matrix(15, 8, {(1, 1) = .0, (1, 2) = 2.004222542705587, (1, 3) = 1.145432379428637, (1, 4) = .0, (1, 5) = .0, (1, 6) = -0.17272258635178156e-2, (1, 7) = .16033996489908106, (1, 8) = .0, (2, 1) = .13325635357398097, (2, 2) = 2.0183914909828737, (2, 3) = 1.1369992502297424, (2, 4) = -.21278690169229195, (2, 5) = -0.11458643249256519e-3, (2, 6) = -0.17280869725558336e-2, (2, 7) = .1602339895569687, (2, 8) = -0.3170772559482512e-2, (3, 1) = .26979645427135607, (3, 2) = 2.0337369396414173, (3, 3) = 1.1200848643416874, (3, 4) = -.2761261928396708, (3, 5) = -0.23048469181067245e-3, (3, 6) = -0.17079222831892548e-2, (3, 7) = .1599164444039848, (3, 8) = -0.6225720122935373e-2, (4, 1) = .4103817512795908, (4, 2) = 2.0497686823950283, (4, 3) = 1.100352733813822, (4, 4) = -.29295094735282157, (4, 5) = -0.34677383026418345e-3, (4, 6) = -0.16663784701133992e-2, (4, 7) = .15938471713477276, (4, 8) = -0.9196975528033927e-2, (5, 1) = .5562707040565628, (5, 2) = 2.0664466899302916, (5, 3) = 1.0794616112381539, (5, 4) = -.29518697813207795, (5, 5) = -0.46275025219470745e-3, (5, 6) = -0.1602292185897183e-2, (5, 7) = .15862787787068006, (5, 8) = -0.1214152226099821e-1, (6, 1) = .7069370874730607, (6, 2) = 2.0836488390448777, (6, 3) = 1.0581065035087929, (6, 4) = -.2925913723305364, (6, 5) = -0.5760457424038015e-3, (6, 6) = -0.15147419744465083e-2, (6, 7) = .15763908026596424, (6, 8) = -0.15086941079683126e-1, (7, 1) = .8607310442043654, (7, 2) = 2.1011632691780116, (7, 3) = 1.0367561589087477, (7, 4) = -.2881686121078946, (7, 5) = -0.6834391645413549e-3, (7, 6) = -0.14037166999682773e-2, (7, 7) = .1564214340990443, (7, 8) = -0.18046074845463285e-1, (8, 1) = 1.0169303834723493, (8, 2) = 2.1188970563300034, (8, 3) = 1.015617626656823, (8, 4) = -.2828124265335946, (8, 5) = -0.7825072211253193e-3, (8, 6) = -0.1268934226667303e-2, (8, 7) = .15497454130945054, (8, 8) = -0.21053263396319057e-1, (9, 1) = 1.1743247032961084, (9, 2) = 2.136706661122521, (9, 3) = .9949158985554131, (9, 4) = -.27681798590792756, (9, 5) = -0.8706658845931464e-3, (9, 6) = -0.11106866781843941e-2, (9, 7) = .1533039071611537, (9, 8) = -0.2413344843104163e-1, (10, 1) = 1.3327721992055255, (10, 2) = 2.1545717796216968, (10, 3) = .9747122094730619, (10, 4) = -.27027204159704155, (10, 5) = -0.9461053916685816e-3, (10, 6) = -0.9282975735544524e-3, (10, 7) = .15140457660777887, (10, 8) = -0.2733075897722341e-1, (11, 1) = 1.4921139234932561, (11, 2) = 2.172470816302719, (11, 3) = .9550635669505675, (11, 4) = -.2632127372244341, (11, 5) = -0.10069959873918552e-2, (11, 6) = -0.72085217450302e-3, (11, 7) = .14926923202154121, (11, 8) = -0.30687822362244866e-1, (12, 1) = 1.6523647284417782, (12, 2) = 2.190402050771976, (12, 3) = .9360020272065205, (12, 4) = -.25565659165893645, (12, 5) = -0.10515292816880772e-2, (12, 6) = -0.48692843690077513e-3, (12, 7) = .14688546135122257, (12, 8) = -0.34250365887014016e-1, (13, 1) = 1.8135214323805091, (13, 2) = 2.2083618631403255, (13, 3) = .9175606074617719, (13, 4) = -.2476165947723712, (13, 5) = -0.10777867634017826e-2, (13, 6) = -0.22478960357842387e-3, (13, 7) = .14423781553628534, (13, 8) = -0.38064144270076865e-1, (14, 1) = 1.97079042670578, (14, 2) = 2.2258162305695506, (14, 3) = .9002859274947701, (14, 4) = -.23936324659847988, (14, 5) = -0.10838613761017018e-2, (14, 6) = 0.5856345847748416e-4, (14, 7) = .1413982103030263, (14, 8) = -0.42050005396116155e-1, (15, 1) = 2.1212217611971487, (15, 2) = 2.2424435223942965, (15, 3) = .8844443437386932, (15, 4) = -.2311113125226132, (15, 5) = -0.10700473072859764e-2, (15, 6) = 0.3566824357619921e-3, (15, 7) = .138430834598997, (15, 8) = -0.46143611532999e-1}, datatype = float[8], order = C_order); YP := Matrix(15, 8, {(1, 1) = 2.004222542705587, (1, 2) = .2004222542705587, (1, 3) = .0, (1, 4) = -5.522421115333383, (1, 5) = -0.17272258635178156e-2, (1, 6) = -0.17272258635178157e-3, (1, 7) = .0, (1, 8) = -0.4909968741037465e-1, (2, 1) = 2.0183914909828737, (2, 2) = .22311783926751658, (2, 3) = -.21278690169229195, (2, 4) = -1.651368218408916, (2, 5) = -0.17280869725558336e-2, (2, 6) = 0.14426855869266786e-3, (2, 7) = -0.3170772559482512e-2, (2, 8) = -0.4657283068692703e-1, (3, 1) = 2.0337369396414173, (3, 2) = .2309863132481088, (3, 3) = -.2761261928396708, (3, 4) = -.4616779740893514, (3, 5) = -0.17079222831892548e-2, (3, 6) = 0.4517797839746118e-3, (3, 7) = -0.6225720122935373e-2, (3, 8) = -0.44160214578740725e-1, (4, 1) = 2.0497686823950283, (4, 2) = .234271962974785, (4, 3) = -.29295094735282157, (4, 4) = -0.9857416482619707e-1, (4, 5) = -0.16663784701133992e-2, (4, 6) = 0.7530597057920528e-3, (4, 7) = -0.9196975528033927e-2, (4, 8) = -0.4224762472414676e-1, (5, 1) = 2.0664466899302916, (5, 2) = .23616336680623695, (5, 3) = -.29518697813207795, (5, 4) = 0.13846983807826112e-1, (5, 5) = -0.1602292185897183e-2, (5, 6) = 0.10539230075101026e-2, (5, 7) = -0.1214152226099821e-1, (5, 8) = -0.4094452273490261e-1, (6, 1) = 2.0836488390448777, (6, 2) = .23762402113754144, (6, 3) = -.2925913723305364, (6, 4) = 0.513565611408734e-1, (6, 5) = -0.15147419744465083e-2, (6, 6) = 0.1357219910523662e-2, (6, 7) = -0.15086941079683126e-1, (6, 8) = -0.4030064329216681e-1, (7, 1) = 2.1011632691780116, (7, 2) = .23893318812859063, (7, 3) = -.2881686121078946, (7, 4) = 0.6721981409553378e-1, (7, 5) = -0.14037166999682773e-2, (7, 6) = 0.16642358145495008e-2, (7, 7) = -0.18046074845463285e-1, (7, 8) = -0.4033025603709702e-1, (8, 1) = 2.1188970563300034, (8, 2) = .24017094828635982, (8, 3) = -.2828124265335946, (8, 4) = 0.7698364295394677e-1, (8, 5) = -0.1268934226667303e-2, (8, 6) = 0.19784329169651753e-2, (8, 7) = -0.21053263396319057e-1, (8, 8) = -0.41024221780986345e-1, (9, 1) = 2.136706661122521, (9, 2) = .24135246470304486, (9, 3) = -.27681798590792756, (9, 4) = 0.8493769019887594e-1, (9, 5) = -0.11106866781843941e-2, (9, 6) = 0.2302276175285724e-2, (9, 7) = -0.2413344843104163e-1, (9, 8) = -0.42363570656368546e-1, (10, 1) = 2.1545717796216968, (10, 2) = .24248438212187384, (10, 3) = -.27027204159704155, (10, 4) = 0.9229030797129108e-1, (10, 5) = -0.9282975735544524e-3, (10, 6) = 0.2640246140366896e-2, (10, 7) = -0.2733075897722341e-1, (10, 8) = -0.4433524139523014e-1, (11, 1) = 2.172470816302719, (11, 2) = .24356835535271532, (11, 3) = -.2632127372244341, (11, 4) = 0.9938168719727634e-1, (11, 5) = -0.72085217450302e-3, (11, 6) = 0.2996697018774185e-2, (11, 7) = -0.30687822362244866e-1, (11, 8) = -0.4693381130252536e-1, (12, 1) = 2.190402050771976, (12, 2) = .24460586424309128, (12, 3) = -.25565659165893645, (12, 4) = .10631598066602238, (12, 5) = -0.48692843690077513e-3, (12, 6) = 0.33763437450113243e-2, (12, 7) = -0.34250365887014016e-1, (12, 8) = -0.501648740142954e-1, (13, 1) = 2.2083618631403255, (13, 2) = .2455978457912697, (13, 3) = -.2476165947723712, (13, 4) = .11311424528111304, (13, 5) = -0.22478960357842387e-3, (13, 6) = 0.3783935466649844e-2, (13, 7) = -0.38064144270076865e-1, (13, 8) = -0.54042853787999126e-1, (14, 1) = 2.2258162305695506, (14, 2) = .24651794771680305, (14, 3) = -.23936324659847988, (14, 4) = .11956179285494953, (14, 5) = 0.5856345847748416e-4, (14, 6) = 0.4210856885459364e-2, (14, 7) = -0.42050005396116155e-1, (14, 8) = -0.5844681469018231e-1, (15, 1) = 2.2424435223942965, (15, 2) = .24735548349169098, (15, 3) = -.2311113125226132, (15, 4) = .12551161033764496, (15, 5) = 0.3566824357619921e-3, (15, 6) = 0.46500293968761e-2, (15, 7) = -0.46143611532999e-1, (15, 8) = -0.6324899524697004e-1}, datatype = float[8], order = C_order); errproc := proc (x_bvp) local outpoint, X, Y, yout, L, V, i; option `Copyright (c) 2000 by Waterloo Maple Inc. All rights reserved.`; Digits := 15; outpoint := evalf(x_bvp); X := Vector(15, {(1) = .0, (2) = 0.6625765054815187e-1, (3) = .13365088476916737, (4) = .2025067106211468, (5) = .2733920872360328, (6) = .34600102942393746, (7) = .4195023200785157, (8) = .49352965253504266, (9) = .5675002893529849, (10) = .6413468189931577, (11) = .7149962970034011, (12) = .7884576498363884, (13) = .8617314835414673, (14) = .9326665595843895, (15) = 1.0}, datatype = float[8], order = C_order); Y := Matrix(15, 8, {(1, 1) = .0, (1, 2) = 0.20775270254981955e-13, (1, 3) = 0.18568686756488307e-11, (1, 4) = .0, (1, 5) = .0, (1, 6) = -0.4384292402665714e-15, (1, 7) = 0.3902267783579664e-13, (1, 8) = .0, (2, 1) = 0.6517680044165114e-10, (2, 2) = -0.11742756764696916e-8, (2, 3) = 0.11810010692125702e-7, (2, 4) = -0.21275374397828485e-6, (2, 5) = -0.149614413610872e-13, (2, 6) = 0.26864989330451524e-12, (2, 7) = -0.2666901711571216e-11, (2, 8) = 0.4875204203229508e-10, (3, 1) = 0.3956606607167133e-11, (3, 2) = -0.7120726515274473e-10, (3, 3) = 0.7180978739287518e-9, (3, 4) = -0.12905411888317134e-7, (3, 5) = -0.9596208424334212e-15, (3, 6) = 0.1587924788589625e-13, (3, 7) = -0.12518790923470226e-12, (3, 8) = 0.29551935601438702e-11, (4, 1) = -0.5308108002383149e-11, (4, 2) = 0.9574148146648531e-10, (4, 3) = -0.9606791189331714e-9, (4, 4) = 0.17341810949093313e-7, (4, 5) = 0.11361939261212533e-14, (4, 6) = -0.2236874940791144e-13, (4, 7) = 0.2593583483872206e-12, (4, 8) = -0.3976912561605506e-11, (5, 1) = -0.20926911789541902e-11, (5, 2) = 0.37848184081049324e-10, (5, 3) = -0.37851944099242813e-9, (5, 4) = 0.685239566964045e-8, (5, 5) = 0.3717435876381078e-15, (5, 6) = -0.9085936802532867e-14, (5, 7) = 0.1257670996809488e-12, (5, 8) = -0.1574103923835392e-11, (6, 1) = -0.6508770293007141e-13, (6, 2) = 0.13507855046265599e-11, (6, 3) = -0.11519530110958511e-10, (6, 4) = 0.23965420125846203e-9, (6, 5) = -0.1193074106166734e-15, (6, 6) = -0.6972807700494523e-15, (6, 7) = 0.41379009546405993e-13, (6, 8) = -0.5956866085397204e-13, (7, 1) = 0.3027466034205182e-12, (7, 2) = -0.5232300438029528e-11, (7, 3) = 0.547126727009958e-10, (7, 4) = -0.9539886217856083e-9, (7, 5) = -0.230300779651594e-15, (7, 6) = 0.8412604183563822e-15, (7, 7) = 0.25967226371026243e-13, (7, 8) = 0.21324965785791073e-12, (8, 1) = 0.1840175293187507e-12, (8, 2) = -0.3051617741071765e-11, (8, 3) = 0.3276052904510415e-10, (8, 4) = -0.5587091276973845e-9, (8, 5) = -0.22691144836758637e-15, (8, 6) = 0.3795277690691722e-15, (8, 7) = 0.30671574592441827e-13, (8, 8) = 0.12204086008782794e-12, (9, 1) = 0.6743286550194704e-13, (9, 2) = -0.9428986147490804e-12, (9, 3) = 0.11562470177915075e-10, (9, 4) = -0.17704266018199307e-9, (9, 5) = -0.2216200252711518e-15, (9, 6) = -0.58363992586117e-16, (9, 7) = 0.3498462136752494e-13, (9, 8) = 0.3398019765934819e-13, (10, 1) = 0.2412280751369823e-13, (10, 2) = -0.7333590390262865e-13, (10, 3) = 0.2839597914365758e-11, (10, 4) = -0.2014080413218097e-10, (10, 5) = -0.2292246062003996e-15, (10, 6) = -0.20777913652004072e-15, (10, 7) = 0.36374571484162684e-13, (10, 8) = -0.2552527100573851e-14, (11, 1) = 0.15106014624804083e-13, (11, 2) = 0.13131502692550342e-12, (11, 3) = 0.7654559078779287e-12, (11, 4) = 0.16941781799909178e-10, (11, 5) = -0.2424456240579254e-15, (11, 6) = -0.19841709849366833e-15, (11, 7) = 0.36376570497542226e-13, (11, 8) = -0.11680232816874435e-13, (12, 1) = 0.17790287686667867e-13, (12, 2) = 0.12729734337023414e-12, (12, 3) = 0.7998575564237202e-12, (12, 4) = 0.16076556309493655e-10, (12, 5) = -0.2522597889119558e-15, (12, 6) = -0.13715256094764069e-15, (12, 7) = 0.3573290789754735e-13, (12, 8) = -0.12057539782971678e-13, (13, 1) = 0.22112145519170306e-13, (13, 2) = 0.8816595896712872e-13, (13, 3) = 0.11645057830149508e-11, (13, 4) = 0.9266510415302792e-11, (13, 5) = -0.25631980299396486e-15, (13, 6) = -0.6229544332293126e-16, (13, 7) = 0.34937722996377065e-13, (13, 8) = -0.1122989693500642e-13, (14, 1) = 0.26409177900879644e-13, (14, 2) = 0.7250198387530906e-13, (14, 3) = 0.13791456236646867e-11, (14, 4) = 0.5152299584456395e-11, (14, 5) = -0.25999040792086374e-15, (14, 6) = 0.11829843684572805e-16, (14, 7) = 0.3436794679118263e-13, (14, 8) = -0.1095548314373621e-13, (15, 1) = 0.2880276279677512e-13, (15, 2) = 0.5975235290905091e-13, (15, 3) = 0.14884503433171194e-11, (15, 4) = 0.2975847927712198e-11, (15, 5) = -0.25476640134982803e-15, (15, 6) = 0.8505528679023333e-16, (15, 7) = 0.33418742963112255e-13, (15, 8) = -0.11143082975400075e-13}, datatype = float[8], order = C_order); if not type(outpoint, 'numeric') then if outpoint = "start" or outpoint = "left" then return X[1] elif outpoint = "right" then return X[15] elif outpoint = "order" then return 8 elif outpoint = "error" then return 0.212753743978285e-6 elif outpoint = "errorproc" then error "this is already the error procedure" elif outpoint = "rawdata" then return [8, 15, [Phi(Y), diff(Phi(Y), Y), Theta(Y), diff(Theta(Y), Y), U(Y), diff(U(Y), Y), W(Y), diff(W(Y), Y)], X, Y] else return ('procname')(x_bvp) end if end if; if outpoint < X[1] or X[15] < outpoint then error "solution is only defined in the range %1..%2", X[1], X[15] end if; V := array([1 = 4, 2 = 0]); if Digits <= trunc(evalhf(Digits)) then L := Vector(4, 'datatype' = 'float'[8]); yout := Vector(8, 'datatype' = 'float'[8]); evalhf(`dsolve/numeric/lagrange`(15, 8, X, Y, outpoint, var(yout), var(L), var(V))) else L := Vector(4, 'datatype' = 'sfloat'); yout := Vector(8, 'datatype' = 'sfloat'); `dsolve/numeric/lagrange`(15, 8, X, Y, outpoint, yout, L, V) end if; [Y = outpoint, seq('[Phi(Y), diff(Phi(Y), Y), Theta(Y), diff(Theta(Y), Y), U(Y), diff(U(Y), Y), W(Y), diff(W(Y), Y)]'[i] = yout[i], i = 1 .. 8)] end proc; if not type(outpoint, 'numeric') then if outpoint = "start" or outpoint = "left" then return X[1] elif outpoint = "method" then return "bvp" elif outpoint = "right" then return X[15] elif outpoint = "order" then return 8 elif outpoint = "error" then return 0.212753743978285e-6 elif outpoint = "errorproc" then return eval(errproc) elif outpoint = "rawdata" then return [8, 15, "depnames", X, Y, YP] else error "non-numeric value" end if end if; if outpoint < X[1] or X[15] < outpoint then error "solution is only defined in the range %1..%2", X[1], X[15] end if; if Digits <= trunc(evalhf(Digits)) and (_EnvInFsolve <> true or _EnvDSNumericSaveDigits <= trunc(evalhf(Digits))) then V := array( 1 .. 6, [( 1 ) = (7), ( 2 ) = (0), ( 3 ) = (false), ( 4 ) = (false), ( 5 ) = (false), ( 6 ) = (false)  ] ); L := Matrix(7, 2, {(1, 1) = .0, (1, 2) = .0, (2, 1) = .0, (2, 2) = .0, (3, 1) = .0, (3, 2) = .0, (4, 1) = .0, (4, 2) = .0, (5, 1) = .0, (5, 2) = .0, (6, 1) = .0, (6, 2) = .0, (7, 1) = .0, (7, 2) = .0}, datatype = float[8], order = C_order); yout := Vector(8, {(1) = .0, (2) = .0, (3) = .0, (4) = .0, (5) = .0, (6) = .0, (7) = .0, (8) = .0}, datatype = float[8]); evalhf(`dsolve/numeric/hermite`(15, 8, X, Y, YP, outpoint, var(yout), var(L), var(V))) else if _EnvInFsolve = true then Digits := _EnvDSNumericSaveDigits end if; V := array( 1 .. 6, [( 1 ) = (7), ( 2 ) = (0), ( 3 ) = (false), ( 4 ) = (false), ( 5 ) = (false), ( 6 ) = (false)  ] ); L := Matrix(7, 2, {(1, 1) = 0., (1, 2) = 0., (2, 1) = 0., (2, 2) = 0., (3, 1) = 0., (3, 2) = 0., (4, 1) = 0., (4, 2) = 0., (5, 1) = 0., (5, 2) = 0., (6, 1) = 0., (6, 2) = 0., (7, 1) = 0., (7, 2) = 0.}, order = C_order); yout := Vector(8, {(1) = 0., (2) = 0., (3) = 0., (4) = 0., (5) = 0., (6) = 0., (7) = 0., (8) = 0.}); `dsolve/numeric/hermite`(15, 8, X, Y, YP, outpoint, yout, L, V) end if; [outpoint, seq(yout[i], i = 1 .. 8)] end proc, (2) = Array(1..9, {(1) = 18446744078241673078, (2) = 18446744078241665110, (3) = 18446744078241665286, (4) = 18446744078241665462, (5) = 18446744078241665638, (6) = 18446744078241665814, (7) = 18446744078241665990, (8) = 18446744078241666166, (9) = 18446744078241666342}), (3) = [Y, Phi(Y), diff(Phi(Y), Y), Theta(Y), diff(Theta(Y), Y), U(Y), diff(U(Y), Y), W(Y), diff(W(Y), Y)], (4) = 0}); _solnproc := _dat[1]; if member(Y, ["last", 'last']) then _res := _solnproc("last"); if type(_res, 'list') then return _res[1] end if elif type(Y, `=`) and member(lhs(Y), ["initial", 'initial']) then if type(rhs(Y), 'list') then _res := _solnproc("initial" = [0, op(rhs(Y))]) else _res := _solnproc("initial" = [1, rhs(Y)]) end if; if type(_res, 'list') then return _res[1] end if elif Y = "sysvars" then return _dat[3] end if; Y end proc, Phi(Y) = proc (Y) local res, data, solnproc, `Phi(Y)`, outpoint; option `Copyright (c) 2000 by Waterloo Maple Inc. All rights reserved.`; _EnvDSNumericSaveDigits := Digits; Digits := 15; if _EnvInFsolve = true then outpoint := evalf[_EnvDSNumericSaveDigits](Y) else outpoint := evalf(Y) end if; data := Array(1..4, {(1) = proc (outpoint) local X, Y, YP, yout, errproc, L, V, i; option `Copyright (c) 2000 by Waterloo Maple Inc. All rights reserved.`; X := Vector(15, {(1) = .0, (2) = 0.6625765054815187e-1, (3) = .13365088476916737, (4) = .2025067106211468, (5) = .2733920872360328, (6) = .34600102942393746, (7) = .4195023200785157, (8) = .49352965253504266, (9) = .5675002893529849, (10) = .6413468189931577, (11) = .7149962970034011, (12) = .7884576498363884, (13) = .8617314835414673, (14) = .9326665595843895, (15) = 1.0}, datatype = float[8], order = C_order); Y := Matrix(15, 8, {(1, 1) = .0, (1, 2) = 2.004222542705587, (1, 3) = 1.145432379428637, (1, 4) = .0, (1, 5) = .0, (1, 6) = -0.17272258635178156e-2, (1, 7) = .16033996489908106, (1, 8) = .0, (2, 1) = .13325635357398097, (2, 2) = 2.0183914909828737, (2, 3) = 1.1369992502297424, (2, 4) = -.21278690169229195, (2, 5) = -0.11458643249256519e-3, (2, 6) = -0.17280869725558336e-2, (2, 7) = .1602339895569687, (2, 8) = -0.3170772559482512e-2, (3, 1) = .26979645427135607, (3, 2) = 2.0337369396414173, (3, 3) = 1.1200848643416874, (3, 4) = -.2761261928396708, (3, 5) = -0.23048469181067245e-3, (3, 6) = -0.17079222831892548e-2, (3, 7) = .1599164444039848, (3, 8) = -0.6225720122935373e-2, (4, 1) = .4103817512795908, (4, 2) = 2.0497686823950283, (4, 3) = 1.100352733813822, (4, 4) = -.29295094735282157, (4, 5) = -0.34677383026418345e-3, (4, 6) = -0.16663784701133992e-2, (4, 7) = .15938471713477276, (4, 8) = -0.9196975528033927e-2, (5, 1) = .5562707040565628, (5, 2) = 2.0664466899302916, (5, 3) = 1.0794616112381539, (5, 4) = -.29518697813207795, (5, 5) = -0.46275025219470745e-3, (5, 6) = -0.1602292185897183e-2, (5, 7) = .15862787787068006, (5, 8) = -0.1214152226099821e-1, (6, 1) = .7069370874730607, (6, 2) = 2.0836488390448777, (6, 3) = 1.0581065035087929, (6, 4) = -.2925913723305364, (6, 5) = -0.5760457424038015e-3, (6, 6) = -0.15147419744465083e-2, (6, 7) = .15763908026596424, (6, 8) = -0.15086941079683126e-1, (7, 1) = .8607310442043654, (7, 2) = 2.1011632691780116, (7, 3) = 1.0367561589087477, (7, 4) = -.2881686121078946, (7, 5) = -0.6834391645413549e-3, (7, 6) = -0.14037166999682773e-2, (7, 7) = .1564214340990443, (7, 8) = -0.18046074845463285e-1, (8, 1) = 1.0169303834723493, (8, 2) = 2.1188970563300034, (8, 3) = 1.015617626656823, (8, 4) = -.2828124265335946, (8, 5) = -0.7825072211253193e-3, (8, 6) = -0.1268934226667303e-2, (8, 7) = .15497454130945054, (8, 8) = -0.21053263396319057e-1, (9, 1) = 1.1743247032961084, (9, 2) = 2.136706661122521, (9, 3) = .9949158985554131, (9, 4) = -.27681798590792756, (9, 5) = -0.8706658845931464e-3, (9, 6) = -0.11106866781843941e-2, (9, 7) = .1533039071611537, (9, 8) = -0.2413344843104163e-1, (10, 1) = 1.3327721992055255, (10, 2) = 2.1545717796216968, (10, 3) = .9747122094730619, (10, 4) = -.27027204159704155, (10, 5) = -0.9461053916685816e-3, (10, 6) = -0.9282975735544524e-3, (10, 7) = .15140457660777887, (10, 8) = -0.2733075897722341e-1, (11, 1) = 1.4921139234932561, (11, 2) = 2.172470816302719, (11, 3) = .9550635669505675, (11, 4) = -.2632127372244341, (11, 5) = -0.10069959873918552e-2, (11, 6) = -0.72085217450302e-3, (11, 7) = .14926923202154121, (11, 8) = -0.30687822362244866e-1, (12, 1) = 1.6523647284417782, (12, 2) = 2.190402050771976, (12, 3) = .9360020272065205, (12, 4) = -.25565659165893645, (12, 5) = -0.10515292816880772e-2, (12, 6) = -0.48692843690077513e-3, (12, 7) = .14688546135122257, (12, 8) = -0.34250365887014016e-1, (13, 1) = 1.8135214323805091, (13, 2) = 2.2083618631403255, (13, 3) = .9175606074617719, (13, 4) = -.2476165947723712, (13, 5) = -0.10777867634017826e-2, (13, 6) = -0.22478960357842387e-3, (13, 7) = .14423781553628534, (13, 8) = -0.38064144270076865e-1, (14, 1) = 1.97079042670578, (14, 2) = 2.2258162305695506, (14, 3) = .9002859274947701, (14, 4) = -.23936324659847988, (14, 5) = -0.10838613761017018e-2, (14, 6) = 0.5856345847748416e-4, (14, 7) = .1413982103030263, (14, 8) = -0.42050005396116155e-1, (15, 1) = 2.1212217611971487, (15, 2) = 2.2424435223942965, (15, 3) = .8844443437386932, (15, 4) = -.2311113125226132, (15, 5) = -0.10700473072859764e-2, (15, 6) = 0.3566824357619921e-3, (15, 7) = .138430834598997, (15, 8) = -0.46143611532999e-1}, datatype = float[8], order = C_order); YP := Matrix(15, 8, {(1, 1) = 2.004222542705587, (1, 2) = .2004222542705587, (1, 3) = .0, (1, 4) = -5.522421115333383, (1, 5) = -0.17272258635178156e-2, (1, 6) = -0.17272258635178157e-3, (1, 7) = .0, (1, 8) = -0.4909968741037465e-1, (2, 1) = 2.0183914909828737, (2, 2) = .22311783926751658, (2, 3) = -.21278690169229195, (2, 4) = -1.651368218408916, (2, 5) = -0.17280869725558336e-2, (2, 6) = 0.14426855869266786e-3, (2, 7) = -0.3170772559482512e-2, (2, 8) = -0.4657283068692703e-1, (3, 1) = 2.0337369396414173, (3, 2) = .2309863132481088, (3, 3) = -.2761261928396708, (3, 4) = -.4616779740893514, (3, 5) = -0.17079222831892548e-2, (3, 6) = 0.4517797839746118e-3, (3, 7) = -0.6225720122935373e-2, (3, 8) = -0.44160214578740725e-1, (4, 1) = 2.0497686823950283, (4, 2) = .234271962974785, (4, 3) = -.29295094735282157, (4, 4) = -0.9857416482619707e-1, (4, 5) = -0.16663784701133992e-2, (4, 6) = 0.7530597057920528e-3, (4, 7) = -0.9196975528033927e-2, (4, 8) = -0.4224762472414676e-1, (5, 1) = 2.0664466899302916, (5, 2) = .23616336680623695, (5, 3) = -.29518697813207795, (5, 4) = 0.13846983807826112e-1, (5, 5) = -0.1602292185897183e-2, (5, 6) = 0.10539230075101026e-2, (5, 7) = -0.1214152226099821e-1, (5, 8) = -0.4094452273490261e-1, (6, 1) = 2.0836488390448777, (6, 2) = .23762402113754144, (6, 3) = -.2925913723305364, (6, 4) = 0.513565611408734e-1, (6, 5) = -0.15147419744465083e-2, (6, 6) = 0.1357219910523662e-2, (6, 7) = -0.15086941079683126e-1, (6, 8) = -0.4030064329216681e-1, (7, 1) = 2.1011632691780116, (7, 2) = .23893318812859063, (7, 3) = -.2881686121078946, (7, 4) = 0.6721981409553378e-1, (7, 5) = -0.14037166999682773e-2, (7, 6) = 0.16642358145495008e-2, (7, 7) = -0.18046074845463285e-1, (7, 8) = -0.4033025603709702e-1, (8, 1) = 2.1188970563300034, (8, 2) = .24017094828635982, (8, 3) = -.2828124265335946, (8, 4) = 0.7698364295394677e-1, (8, 5) = -0.1268934226667303e-2, (8, 6) = 0.19784329169651753e-2, (8, 7) = -0.21053263396319057e-1, (8, 8) = -0.41024221780986345e-1, (9, 1) = 2.136706661122521, (9, 2) = .24135246470304486, (9, 3) = -.27681798590792756, (9, 4) = 0.8493769019887594e-1, (9, 5) = -0.11106866781843941e-2, (9, 6) = 0.2302276175285724e-2, (9, 7) = -0.2413344843104163e-1, (9, 8) = -0.42363570656368546e-1, (10, 1) = 2.1545717796216968, (10, 2) = .24248438212187384, (10, 3) = -.27027204159704155, (10, 4) = 0.9229030797129108e-1, (10, 5) = -0.9282975735544524e-3, (10, 6) = 0.2640246140366896e-2, (10, 7) = -0.2733075897722341e-1, (10, 8) = -0.4433524139523014e-1, (11, 1) = 2.172470816302719, (11, 2) = .24356835535271532, (11, 3) = -.2632127372244341, (11, 4) = 0.9938168719727634e-1, (11, 5) = -0.72085217450302e-3, (11, 6) = 0.2996697018774185e-2, (11, 7) = -0.30687822362244866e-1, (11, 8) = -0.4693381130252536e-1, (12, 1) = 2.190402050771976, (12, 2) = .24460586424309128, (12, 3) = -.25565659165893645, (12, 4) = .10631598066602238, (12, 5) = -0.48692843690077513e-3, (12, 6) = 0.33763437450113243e-2, (12, 7) = -0.34250365887014016e-1, (12, 8) = -0.501648740142954e-1, (13, 1) = 2.2083618631403255, (13, 2) = .2455978457912697, (13, 3) = -.2476165947723712, (13, 4) = .11311424528111304, (13, 5) = -0.22478960357842387e-3, (13, 6) = 0.3783935466649844e-2, (13, 7) = -0.38064144270076865e-1, (13, 8) = -0.54042853787999126e-1, (14, 1) = 2.2258162305695506, (14, 2) = .24651794771680305, (14, 3) = -.23936324659847988, (14, 4) = .11956179285494953, (14, 5) = 0.5856345847748416e-4, (14, 6) = 0.4210856885459364e-2, (14, 7) = -0.42050005396116155e-1, (14, 8) = -0.5844681469018231e-1, (15, 1) = 2.2424435223942965, (15, 2) = .24735548349169098, (15, 3) = -.2311113125226132, (15, 4) = .12551161033764496, (15, 5) = 0.3566824357619921e-3, (15, 6) = 0.46500293968761e-2, (15, 7) = -0.46143611532999e-1, (15, 8) = -0.6324899524697004e-1}, datatype = float[8], order = C_order); errproc := proc (x_bvp) local outpoint, X, Y, yout, L, V, i; option `Copyright (c) 2000 by Waterloo Maple Inc. All rights reserved.`; Digits := 15; outpoint := evalf(x_bvp); X := Vector(15, {(1) = .0, (2) = 0.6625765054815187e-1, (3) = .13365088476916737, (4) = .2025067106211468, (5) = .2733920872360328, (6) = .34600102942393746, (7) = .4195023200785157, (8) = .49352965253504266, (9) = .5675002893529849, (10) = .6413468189931577, (11) = .7149962970034011, (12) = .7884576498363884, (13) = .8617314835414673, (14) = .9326665595843895, (15) = 1.0}, datatype = float[8], order = C_order); Y := Matrix(15, 8, {(1, 1) = .0, (1, 2) = 0.20775270254981955e-13, (1, 3) = 0.18568686756488307e-11, (1, 4) = .0, (1, 5) = .0, (1, 6) = -0.4384292402665714e-15, (1, 7) = 0.3902267783579664e-13, (1, 8) = .0, (2, 1) = 0.6517680044165114e-10, (2, 2) = -0.11742756764696916e-8, (2, 3) = 0.11810010692125702e-7, (2, 4) = -0.21275374397828485e-6, (2, 5) = -0.149614413610872e-13, (2, 6) = 0.26864989330451524e-12, (2, 7) = -0.2666901711571216e-11, (2, 8) = 0.4875204203229508e-10, (3, 1) = 0.3956606607167133e-11, (3, 2) = -0.7120726515274473e-10, (3, 3) = 0.7180978739287518e-9, (3, 4) = -0.12905411888317134e-7, (3, 5) = -0.9596208424334212e-15, (3, 6) = 0.1587924788589625e-13, (3, 7) = -0.12518790923470226e-12, (3, 8) = 0.29551935601438702e-11, (4, 1) = -0.5308108002383149e-11, (4, 2) = 0.9574148146648531e-10, (4, 3) = -0.9606791189331714e-9, (4, 4) = 0.17341810949093313e-7, (4, 5) = 0.11361939261212533e-14, (4, 6) = -0.2236874940791144e-13, (4, 7) = 0.2593583483872206e-12, (4, 8) = -0.3976912561605506e-11, (5, 1) = -0.20926911789541902e-11, (5, 2) = 0.37848184081049324e-10, (5, 3) = -0.37851944099242813e-9, (5, 4) = 0.685239566964045e-8, (5, 5) = 0.3717435876381078e-15, (5, 6) = -0.9085936802532867e-14, (5, 7) = 0.1257670996809488e-12, (5, 8) = -0.1574103923835392e-11, (6, 1) = -0.6508770293007141e-13, (6, 2) = 0.13507855046265599e-11, (6, 3) = -0.11519530110958511e-10, (6, 4) = 0.23965420125846203e-9, (6, 5) = -0.1193074106166734e-15, (6, 6) = -0.6972807700494523e-15, (6, 7) = 0.41379009546405993e-13, (6, 8) = -0.5956866085397204e-13, (7, 1) = 0.3027466034205182e-12, (7, 2) = -0.5232300438029528e-11, (7, 3) = 0.547126727009958e-10, (7, 4) = -0.9539886217856083e-9, (7, 5) = -0.230300779651594e-15, (7, 6) = 0.8412604183563822e-15, (7, 7) = 0.25967226371026243e-13, (7, 8) = 0.21324965785791073e-12, (8, 1) = 0.1840175293187507e-12, (8, 2) = -0.3051617741071765e-11, (8, 3) = 0.3276052904510415e-10, (8, 4) = -0.5587091276973845e-9, (8, 5) = -0.22691144836758637e-15, (8, 6) = 0.3795277690691722e-15, (8, 7) = 0.30671574592441827e-13, (8, 8) = 0.12204086008782794e-12, (9, 1) = 0.6743286550194704e-13, (9, 2) = -0.9428986147490804e-12, (9, 3) = 0.11562470177915075e-10, (9, 4) = -0.17704266018199307e-9, (9, 5) = -0.2216200252711518e-15, (9, 6) = -0.58363992586117e-16, (9, 7) = 0.3498462136752494e-13, (9, 8) = 0.3398019765934819e-13, (10, 1) = 0.2412280751369823e-13, (10, 2) = -0.7333590390262865e-13, (10, 3) = 0.2839597914365758e-11, (10, 4) = -0.2014080413218097e-10, (10, 5) = -0.2292246062003996e-15, (10, 6) = -0.20777913652004072e-15, (10, 7) = 0.36374571484162684e-13, (10, 8) = -0.2552527100573851e-14, (11, 1) = 0.15106014624804083e-13, (11, 2) = 0.13131502692550342e-12, (11, 3) = 0.7654559078779287e-12, (11, 4) = 0.16941781799909178e-10, (11, 5) = -0.2424456240579254e-15, (11, 6) = -0.19841709849366833e-15, (11, 7) = 0.36376570497542226e-13, (11, 8) = -0.11680232816874435e-13, (12, 1) = 0.17790287686667867e-13, (12, 2) = 0.12729734337023414e-12, (12, 3) = 0.7998575564237202e-12, (12, 4) = 0.16076556309493655e-10, (12, 5) = -0.2522597889119558e-15, (12, 6) = -0.13715256094764069e-15, (12, 7) = 0.3573290789754735e-13, (12, 8) = -0.12057539782971678e-13, (13, 1) = 0.22112145519170306e-13, (13, 2) = 0.8816595896712872e-13, (13, 3) = 0.11645057830149508e-11, (13, 4) = 0.9266510415302792e-11, (13, 5) = -0.25631980299396486e-15, (13, 6) = -0.6229544332293126e-16, (13, 7) = 0.34937722996377065e-13, (13, 8) = -0.1122989693500642e-13, (14, 1) = 0.26409177900879644e-13, (14, 2) = 0.7250198387530906e-13, (14, 3) = 0.13791456236646867e-11, (14, 4) = 0.5152299584456395e-11, (14, 5) = -0.25999040792086374e-15, (14, 6) = 0.11829843684572805e-16, (14, 7) = 0.3436794679118263e-13, (14, 8) = -0.1095548314373621e-13, (15, 1) = 0.2880276279677512e-13, (15, 2) = 0.5975235290905091e-13, (15, 3) = 0.14884503433171194e-11, (15, 4) = 0.2975847927712198e-11, (15, 5) = -0.25476640134982803e-15, (15, 6) = 0.8505528679023333e-16, (15, 7) = 0.33418742963112255e-13, (15, 8) = -0.11143082975400075e-13}, datatype = float[8], order = C_order); if not type(outpoint, 'numeric') then if outpoint = "start" or outpoint = "left" then return X[1] elif outpoint = "right" then return X[15] elif outpoint = "order" then return 8 elif outpoint = "error" then return 0.212753743978285e-6 elif outpoint = "errorproc" then error "this is already the error procedure" elif outpoint = "rawdata" then return [8, 15, [Phi(Y), diff(Phi(Y), Y), Theta(Y), diff(Theta(Y), Y), U(Y), diff(U(Y), Y), W(Y), diff(W(Y), Y)], X, Y] else return ('procname')(x_bvp) end if end if; if outpoint < X[1] or X[15] < outpoint then error "solution is only defined in the range %1..%2", X[1], X[15] end if; V := array([1 = 4, 2 = 0]); if Digits <= trunc(evalhf(Digits)) then L := Vector(4, 'datatype' = 'float'[8]); yout := Vector(8, 'datatype' = 'float'[8]); evalhf(`dsolve/numeric/lagrange`(15, 8, X, Y, outpoint, var(yout), var(L), var(V))) else L := Vector(4, 'datatype' = 'sfloat'); yout := Vector(8, 'datatype' = 'sfloat'); `dsolve/numeric/lagrange`(15, 8, X, Y, outpoint, yout, L, V) end if; [Y = outpoint, seq('[Phi(Y), diff(Phi(Y), Y), Theta(Y), diff(Theta(Y), Y), U(Y), diff(U(Y), Y), W(Y), diff(W(Y), Y)]'[i] = yout[i], i = 1 .. 8)] end proc; if not type(outpoint, 'numeric') then if outpoint = "start" or outpoint = "left" then return X[1] elif outpoint = "method" then return "bvp" elif outpoint = "right" then return X[15] elif outpoint = "order" then return 8 elif outpoint = "error" then return 0.212753743978285e-6 elif outpoint = "errorproc" then return eval(errproc) elif outpoint = "rawdata" then return [8, 15, "depnames", X, Y, YP] else error "non-numeric value" end if end if; if outpoint < X[1] or X[15] < outpoint then error "solution is only defined in the range %1..%2", X[1], X[15] end if; if Digits <= trunc(evalhf(Digits)) and (_EnvInFsolve <> true or _EnvDSNumericSaveDigits <= trunc(evalhf(Digits))) then V := array( 1 .. 6, [( 1 ) = (7), ( 2 ) = (0), ( 3 ) = (false), ( 4 ) = (false), ( 5 ) = (false), ( 6 ) = (false)  ] ); L := Matrix(7, 2, {(1, 1) = .0, (1, 2) = .0, (2, 1) = .0, (2, 2) = .0, (3, 1) = .0, (3, 2) = .0, (4, 1) = .0, (4, 2) = .0, (5, 1) = .0, (5, 2) = .0, (6, 1) = .0, (6, 2) = .0, (7, 1) = .0, (7, 2) = .0}, datatype = float[8], order = C_order); yout := Vector(8, {(1) = .0, (2) = .0, (3) = .0, (4) = .0, (5) = .0, (6) = .0, (7) = .0, (8) = .0}, datatype = float[8]); evalhf(`dsolve/numeric/hermite`(15, 8, X, Y, YP, outpoint, var(yout), var(L), var(V))) else if _EnvInFsolve = true then Digits := _EnvDSNumericSaveDigits end if; V := array( 1 .. 6, [( 1 ) = (7), ( 2 ) = (0), ( 3 ) = (false), ( 4 ) = (false), ( 5 ) = (false), ( 6 ) = (false)  ] ); L := Matrix(7, 2, {(1, 1) = 0., (1, 2) = 0., (2, 1) = 0., (2, 2) = 0., (3, 1) = 0., (3, 2) = 0., (4, 1) = 0., (4, 2) = 0., (5, 1) = 0., (5, 2) = 0., (6, 1) = 0., (6, 2) = 0., (7, 1) = 0., (7, 2) = 0.}, order = C_order); yout := Vector(8, {(1) = 0., (2) = 0., (3) = 0., (4) = 0., (5) = 0., (6) = 0., (7) = 0., (8) = 0.}); `dsolve/numeric/hermite`(15, 8, X, Y, YP, outpoint, yout, L, V) end if; [outpoint, seq(yout[i], i = 1 .. 8)] end proc, (2) = Array(1..9, {(1) = 18446744078241673078, (2) = 18446744078241665110, (3) = 18446744078241665286, (4) = 18446744078241665462, (5) = 18446744078241665638, (6) = 18446744078241665814, (7) = 18446744078241665990, (8) = 18446744078241666166, (9) = 18446744078241666342}), (3) = [Y, Phi(Y), diff(Phi(Y), Y), Theta(Y), diff(Theta(Y), Y), U(Y), diff(U(Y), Y), W(Y), diff(W(Y), Y)], (4) = 0}); solnproc := data[1]; if not type(outpoint, 'numeric') then if outpoint = "solnprocedure" then return eval(solnproc) elif member(outpoint, ["start", "left", "right", "errorproc", "rawdata", "order", "error"]) then return solnproc(Y) elif outpoint = "sysvars" then return data[3] elif procname <> unknown then return ('procname')(Y) else `Phi(Y)` := pointto(data[2][2]); return ('`Phi(Y)`')(Y) end if end if; try res := solnproc(outpoint); res[2] catch: error  end try end proc, diff(Phi(Y), Y) = proc (Y) local res, data, solnproc, `diff(Phi(Y),Y)`, outpoint; option `Copyright (c) 2000 by Waterloo Maple Inc. All rights reserved.`; _EnvDSNumericSaveDigits := Digits; Digits := 15; if _EnvInFsolve = true then outpoint := evalf[_EnvDSNumericSaveDigits](Y) else outpoint := evalf(Y) end if; data := Array(1..4, {(1) = proc (outpoint) local X, Y, YP, yout, errproc, L, V, i; option `Copyright (c) 2000 by Waterloo Maple Inc. All rights reserved.`; X := Vector(15, {(1) = .0, (2) = 0.6625765054815187e-1, (3) = .13365088476916737, (4) = .2025067106211468, (5) = .2733920872360328, (6) = .34600102942393746, (7) = .4195023200785157, (8) = .49352965253504266, (9) = .5675002893529849, (10) = .6413468189931577, (11) = .7149962970034011, (12) = .7884576498363884, (13) = .8617314835414673, (14) = .9326665595843895, (15) = 1.0}, datatype = float[8], order = C_order); Y := Matrix(15, 8, {(1, 1) = .0, (1, 2) = 2.004222542705587, (1, 3) = 1.145432379428637, (1, 4) = .0, (1, 5) = .0, (1, 6) = -0.17272258635178156e-2, (1, 7) = .16033996489908106, (1, 8) = .0, (2, 1) = .13325635357398097, (2, 2) = 2.0183914909828737, (2, 3) = 1.1369992502297424, (2, 4) = -.21278690169229195, (2, 5) = -0.11458643249256519e-3, (2, 6) = -0.17280869725558336e-2, (2, 7) = .1602339895569687, (2, 8) = -0.3170772559482512e-2, (3, 1) = .26979645427135607, (3, 2) = 2.0337369396414173, (3, 3) = 1.1200848643416874, (3, 4) = -.2761261928396708, (3, 5) = -0.23048469181067245e-3, (3, 6) = -0.17079222831892548e-2, (3, 7) = .1599164444039848, (3, 8) = -0.6225720122935373e-2, (4, 1) = .4103817512795908, (4, 2) = 2.0497686823950283, (4, 3) = 1.100352733813822, (4, 4) = -.29295094735282157, (4, 5) = -0.34677383026418345e-3, (4, 6) = -0.16663784701133992e-2, (4, 7) = .15938471713477276, (4, 8) = -0.9196975528033927e-2, (5, 1) = .5562707040565628, (5, 2) = 2.0664466899302916, (5, 3) = 1.0794616112381539, (5, 4) = -.29518697813207795, (5, 5) = -0.46275025219470745e-3, (5, 6) = -0.1602292185897183e-2, (5, 7) = .15862787787068006, (5, 8) = -0.1214152226099821e-1, (6, 1) = .7069370874730607, (6, 2) = 2.0836488390448777, (6, 3) = 1.0581065035087929, (6, 4) = -.2925913723305364, (6, 5) = -0.5760457424038015e-3, (6, 6) = -0.15147419744465083e-2, (6, 7) = .15763908026596424, (6, 8) = -0.15086941079683126e-1, (7, 1) = .8607310442043654, (7, 2) = 2.1011632691780116, (7, 3) = 1.0367561589087477, (7, 4) = -.2881686121078946, (7, 5) = -0.6834391645413549e-3, (7, 6) = -0.14037166999682773e-2, (7, 7) = .1564214340990443, (7, 8) = -0.18046074845463285e-1, (8, 1) = 1.0169303834723493, (8, 2) = 2.1188970563300034, (8, 3) = 1.015617626656823, (8, 4) = -.2828124265335946, (8, 5) = -0.7825072211253193e-3, (8, 6) = -0.1268934226667303e-2, (8, 7) = .15497454130945054, (8, 8) = -0.21053263396319057e-1, (9, 1) = 1.1743247032961084, (9, 2) = 2.136706661122521, (9, 3) = .9949158985554131, (9, 4) = -.27681798590792756, (9, 5) = -0.8706658845931464e-3, (9, 6) = -0.11106866781843941e-2, (9, 7) = .1533039071611537, (9, 8) = -0.2413344843104163e-1, (10, 1) = 1.3327721992055255, (10, 2) = 2.1545717796216968, (10, 3) = .9747122094730619, (10, 4) = -.27027204159704155, (10, 5) = -0.9461053916685816e-3, (10, 6) = -0.9282975735544524e-3, (10, 7) = .15140457660777887, (10, 8) = -0.2733075897722341e-1, (11, 1) = 1.4921139234932561, (11, 2) = 2.172470816302719, (11, 3) = .9550635669505675, (11, 4) = -.2632127372244341, (11, 5) = -0.10069959873918552e-2, (11, 6) = -0.72085217450302e-3, (11, 7) = .14926923202154121, (11, 8) = -0.30687822362244866e-1, (12, 1) = 1.6523647284417782, (12, 2) = 2.190402050771976, (12, 3) = .9360020272065205, (12, 4) = -.25565659165893645, (12, 5) = -0.10515292816880772e-2, (12, 6) = -0.48692843690077513e-3, (12, 7) = .14688546135122257, (12, 8) = -0.34250365887014016e-1, (13, 1) = 1.8135214323805091, (13, 2) = 2.2083618631403255, (13, 3) = .9175606074617719, (13, 4) = -.2476165947723712, (13, 5) = -0.10777867634017826e-2, (13, 6) = -0.22478960357842387e-3, (13, 7) = .14423781553628534, (13, 8) = -0.38064144270076865e-1, (14, 1) = 1.97079042670578, (14, 2) = 2.2258162305695506, (14, 3) = .9002859274947701, (14, 4) = -.23936324659847988, (14, 5) = -0.10838613761017018e-2, (14, 6) = 0.5856345847748416e-4, (14, 7) = .1413982103030263, (14, 8) = -0.42050005396116155e-1, (15, 1) = 2.1212217611971487, (15, 2) = 2.2424435223942965, (15, 3) = .8844443437386932, (15, 4) = -.2311113125226132, (15, 5) = -0.10700473072859764e-2, (15, 6) = 0.3566824357619921e-3, (15, 7) = .138430834598997, (15, 8) = -0.46143611532999e-1}, datatype = float[8], order = C_order); YP := Matrix(15, 8, {(1, 1) = 2.004222542705587, (1, 2) = .2004222542705587, (1, 3) = .0, (1, 4) = -5.522421115333383, (1, 5) = -0.17272258635178156e-2, (1, 6) = -0.17272258635178157e-3, (1, 7) = .0, (1, 8) = -0.4909968741037465e-1, (2, 1) = 2.0183914909828737, (2, 2) = .22311783926751658, (2, 3) = -.21278690169229195, (2, 4) = -1.651368218408916, (2, 5) = -0.17280869725558336e-2, (2, 6) = 0.14426855869266786e-3, (2, 7) = -0.3170772559482512e-2, (2, 8) = -0.4657283068692703e-1, (3, 1) = 2.0337369396414173, (3, 2) = .2309863132481088, (3, 3) = -.2761261928396708, (3, 4) = -.4616779740893514, (3, 5) = -0.17079222831892548e-2, (3, 6) = 0.4517797839746118e-3, (3, 7) = -0.6225720122935373e-2, (3, 8) = -0.44160214578740725e-1, (4, 1) = 2.0497686823950283, (4, 2) = .234271962974785, (4, 3) = -.29295094735282157, (4, 4) = -0.9857416482619707e-1, (4, 5) = -0.16663784701133992e-2, (4, 6) = 0.7530597057920528e-3, (4, 7) = -0.9196975528033927e-2, (4, 8) = -0.4224762472414676e-1, (5, 1) = 2.0664466899302916, (5, 2) = .23616336680623695, (5, 3) = -.29518697813207795, (5, 4) = 0.13846983807826112e-1, (5, 5) = -0.1602292185897183e-2, (5, 6) = 0.10539230075101026e-2, (5, 7) = -0.1214152226099821e-1, (5, 8) = -0.4094452273490261e-1, (6, 1) = 2.0836488390448777, (6, 2) = .23762402113754144, (6, 3) = -.2925913723305364, (6, 4) = 0.513565611408734e-1, (6, 5) = -0.15147419744465083e-2, (6, 6) = 0.1357219910523662e-2, (6, 7) = -0.15086941079683126e-1, (6, 8) = -0.4030064329216681e-1, (7, 1) = 2.1011632691780116, (7, 2) = .23893318812859063, (7, 3) = -.2881686121078946, (7, 4) = 0.6721981409553378e-1, (7, 5) = -0.14037166999682773e-2, (7, 6) = 0.16642358145495008e-2, (7, 7) = -0.18046074845463285e-1, (7, 8) = -0.4033025603709702e-1, (8, 1) = 2.1188970563300034, (8, 2) = .24017094828635982, (8, 3) = -.2828124265335946, (8, 4) = 0.7698364295394677e-1, (8, 5) = -0.1268934226667303e-2, (8, 6) = 0.19784329169651753e-2, (8, 7) = -0.21053263396319057e-1, (8, 8) = -0.41024221780986345e-1, (9, 1) = 2.136706661122521, (9, 2) = .24135246470304486, (9, 3) = -.27681798590792756, (9, 4) = 0.8493769019887594e-1, (9, 5) = -0.11106866781843941e-2, (9, 6) = 0.2302276175285724e-2, (9, 7) = -0.2413344843104163e-1, (9, 8) = -0.42363570656368546e-1, (10, 1) = 2.1545717796216968, (10, 2) = .24248438212187384, (10, 3) = -.27027204159704155, (10, 4) = 0.9229030797129108e-1, (10, 5) = -0.9282975735544524e-3, (10, 6) = 0.2640246140366896e-2, (10, 7) = -0.2733075897722341e-1, (10, 8) = -0.4433524139523014e-1, (11, 1) = 2.172470816302719, (11, 2) = .24356835535271532, (11, 3) = -.2632127372244341, (11, 4) = 0.9938168719727634e-1, (11, 5) = -0.72085217450302e-3, (11, 6) = 0.2996697018774185e-2, (11, 7) = -0.30687822362244866e-1, (11, 8) = -0.4693381130252536e-1, (12, 1) = 2.190402050771976, (12, 2) = .24460586424309128, (12, 3) = -.25565659165893645, (12, 4) = .10631598066602238, (12, 5) = -0.48692843690077513e-3, (12, 6) = 0.33763437450113243e-2, (12, 7) = -0.34250365887014016e-1, (12, 8) = -0.501648740142954e-1, (13, 1) = 2.2083618631403255, (13, 2) = .2455978457912697, (13, 3) = -.2476165947723712, (13, 4) = .11311424528111304, (13, 5) = -0.22478960357842387e-3, (13, 6) = 0.3783935466649844e-2, (13, 7) = -0.38064144270076865e-1, (13, 8) = -0.54042853787999126e-1, (14, 1) = 2.2258162305695506, (14, 2) = .24651794771680305, (14, 3) = -.23936324659847988, (14, 4) = .11956179285494953, (14, 5) = 0.5856345847748416e-4, (14, 6) = 0.4210856885459364e-2, (14, 7) = -0.42050005396116155e-1, (14, 8) = -0.5844681469018231e-1, (15, 1) = 2.2424435223942965, (15, 2) = .24735548349169098, (15, 3) = -.2311113125226132, (15, 4) = .12551161033764496, (15, 5) = 0.3566824357619921e-3, (15, 6) = 0.46500293968761e-2, (15, 7) = -0.46143611532999e-1, (15, 8) = -0.6324899524697004e-1}, datatype = float[8], order = C_order); errproc := proc (x_bvp) local outpoint, X, Y, yout, L, V, i; option `Copyright (c) 2000 by Waterloo Maple Inc. All rights reserved.`; Digits := 15; outpoint := evalf(x_bvp); X := Vector(15, {(1) = .0, (2) = 0.6625765054815187e-1, (3) = .13365088476916737, (4) = .2025067106211468, (5) = .2733920872360328, (6) = .34600102942393746, (7) = .4195023200785157, (8) = .49352965253504266, (9) = .5675002893529849, (10) = .6413468189931577, (11) = .7149962970034011, (12) = .7884576498363884, (13) = .8617314835414673, (14) = .9326665595843895, (15) = 1.0}, datatype = float[8], order = C_order); Y := Matrix(15, 8, {(1, 1) = .0, (1, 2) = 0.20775270254981955e-13, (1, 3) = 0.18568686756488307e-11, (1, 4) = .0, (1, 5) = .0, (1, 6) = -0.4384292402665714e-15, (1, 7) = 0.3902267783579664e-13, (1, 8) = .0, (2, 1) = 0.6517680044165114e-10, (2, 2) = -0.11742756764696916e-8, (2, 3) = 0.11810010692125702e-7, (2, 4) = -0.21275374397828485e-6, (2, 5) = -0.149614413610872e-13, (2, 6) = 0.26864989330451524e-12, (2, 7) = -0.2666901711571216e-11, (2, 8) = 0.4875204203229508e-10, (3, 1) = 0.3956606607167133e-11, (3, 2) = -0.7120726515274473e-10, (3, 3) = 0.7180978739287518e-9, (3, 4) = -0.12905411888317134e-7, (3, 5) = -0.9596208424334212e-15, (3, 6) = 0.1587924788589625e-13, (3, 7) = -0.12518790923470226e-12, (3, 8) = 0.29551935601438702e-11, (4, 1) = -0.5308108002383149e-11, (4, 2) = 0.9574148146648531e-10, (4, 3) = -0.9606791189331714e-9, (4, 4) = 0.17341810949093313e-7, (4, 5) = 0.11361939261212533e-14, (4, 6) = -0.2236874940791144e-13, (4, 7) = 0.2593583483872206e-12, (4, 8) = -0.3976912561605506e-11, (5, 1) = -0.20926911789541902e-11, (5, 2) = 0.37848184081049324e-10, (5, 3) = -0.37851944099242813e-9, (5, 4) = 0.685239566964045e-8, (5, 5) = 0.3717435876381078e-15, (5, 6) = -0.9085936802532867e-14, (5, 7) = 0.1257670996809488e-12, (5, 8) = -0.1574103923835392e-11, (6, 1) = -0.6508770293007141e-13, (6, 2) = 0.13507855046265599e-11, (6, 3) = -0.11519530110958511e-10, (6, 4) = 0.23965420125846203e-9, (6, 5) = -0.1193074106166734e-15, (6, 6) = -0.6972807700494523e-15, (6, 7) = 0.41379009546405993e-13, (6, 8) = -0.5956866085397204e-13, (7, 1) = 0.3027466034205182e-12, (7, 2) = -0.5232300438029528e-11, (7, 3) = 0.547126727009958e-10, (7, 4) = -0.9539886217856083e-9, (7, 5) = -0.230300779651594e-15, (7, 6) = 0.8412604183563822e-15, (7, 7) = 0.25967226371026243e-13, (7, 8) = 0.21324965785791073e-12, (8, 1) = 0.1840175293187507e-12, (8, 2) = -0.3051617741071765e-11, (8, 3) = 0.3276052904510415e-10, (8, 4) = -0.5587091276973845e-9, (8, 5) = -0.22691144836758637e-15, (8, 6) = 0.3795277690691722e-15, (8, 7) = 0.30671574592441827e-13, (8, 8) = 0.12204086008782794e-12, (9, 1) = 0.6743286550194704e-13, (9, 2) = -0.9428986147490804e-12, (9, 3) = 0.11562470177915075e-10, (9, 4) = -0.17704266018199307e-9, (9, 5) = -0.2216200252711518e-15, (9, 6) = -0.58363992586117e-16, (9, 7) = 0.3498462136752494e-13, (9, 8) = 0.3398019765934819e-13, (10, 1) = 0.2412280751369823e-13, (10, 2) = -0.7333590390262865e-13, (10, 3) = 0.2839597914365758e-11, (10, 4) = -0.2014080413218097e-10, (10, 5) = -0.2292246062003996e-15, (10, 6) = -0.20777913652004072e-15, (10, 7) = 0.36374571484162684e-13, (10, 8) = -0.2552527100573851e-14, (11, 1) = 0.15106014624804083e-13, (11, 2) = 0.13131502692550342e-12, (11, 3) = 0.7654559078779287e-12, (11, 4) = 0.16941781799909178e-10, (11, 5) = -0.2424456240579254e-15, (11, 6) = -0.19841709849366833e-15, (11, 7) = 0.36376570497542226e-13, (11, 8) = -0.11680232816874435e-13, (12, 1) = 0.17790287686667867e-13, (12, 2) = 0.12729734337023414e-12, (12, 3) = 0.7998575564237202e-12, (12, 4) = 0.16076556309493655e-10, (12, 5) = -0.2522597889119558e-15, (12, 6) = -0.13715256094764069e-15, (12, 7) = 0.3573290789754735e-13, (12, 8) = -0.12057539782971678e-13, (13, 1) = 0.22112145519170306e-13, (13, 2) = 0.8816595896712872e-13, (13, 3) = 0.11645057830149508e-11, (13, 4) = 0.9266510415302792e-11, (13, 5) = -0.25631980299396486e-15, (13, 6) = -0.6229544332293126e-16, (13, 7) = 0.34937722996377065e-13, (13, 8) = -0.1122989693500642e-13, (14, 1) = 0.26409177900879644e-13, (14, 2) = 0.7250198387530906e-13, (14, 3) = 0.13791456236646867e-11, (14, 4) = 0.5152299584456395e-11, (14, 5) = -0.25999040792086374e-15, (14, 6) = 0.11829843684572805e-16, (14, 7) = 0.3436794679118263e-13, (14, 8) = -0.1095548314373621e-13, (15, 1) = 0.2880276279677512e-13, (15, 2) = 0.5975235290905091e-13, (15, 3) = 0.14884503433171194e-11, (15, 4) = 0.2975847927712198e-11, (15, 5) = -0.25476640134982803e-15, (15, 6) = 0.8505528679023333e-16, (15, 7) = 0.33418742963112255e-13, (15, 8) = -0.11143082975400075e-13}, datatype = float[8], order = C_order); if not type(outpoint, 'numeric') then if outpoint = "start" or outpoint = "left" then return X[1] elif outpoint = "right" then return X[15] elif outpoint = "order" then return 8 elif outpoint = "error" then return 0.212753743978285e-6 elif outpoint = "errorproc" then error "this is already the error procedure" elif outpoint = "rawdata" then return [8, 15, [Phi(Y), diff(Phi(Y), Y), Theta(Y), diff(Theta(Y), Y), U(Y), diff(U(Y), Y), W(Y), diff(W(Y), Y)], X, Y] else return ('procname')(x_bvp) end if end if; if outpoint < X[1] or X[15] < outpoint then error "solution is only defined in the range %1..%2", X[1], X[15] end if; V := array([1 = 4, 2 = 0]); if Digits <= trunc(evalhf(Digits)) then L := Vector(4, 'datatype' = 'float'[8]); yout := Vector(8, 'datatype' = 'float'[8]); evalhf(`dsolve/numeric/lagrange`(15, 8, X, Y, outpoint, var(yout), var(L), var(V))) else L := Vector(4, 'datatype' = 'sfloat'); yout := Vector(8, 'datatype' = 'sfloat'); `dsolve/numeric/lagrange`(15, 8, X, Y, outpoint, yout, L, V) end if; [Y = outpoint, seq('[Phi(Y), diff(Phi(Y), Y), Theta(Y), diff(Theta(Y), Y), U(Y), diff(U(Y), Y), W(Y), diff(W(Y), Y)]'[i] = yout[i], i = 1 .. 8)] end proc; if not type(outpoint, 'numeric') then if outpoint = "start" or outpoint = "left" then return X[1] elif outpoint = "method" then return "bvp" elif outpoint = "right" then return X[15] elif outpoint = "order" then return 8 elif outpoint = "error" then return 0.212753743978285e-6 elif outpoint = "errorproc" then return eval(errproc) elif outpoint = "rawdata" then return [8, 15, "depnames", X, Y, YP] else error "non-numeric value" end if end if; if outpoint < X[1] or X[15] < outpoint then error "solution is only defined in the range %1..%2", X[1], X[15] end if; if Digits <= trunc(evalhf(Digits)) and (_EnvInFsolve <> true or _EnvDSNumericSaveDigits <= trunc(evalhf(Digits))) then V := array( 1 .. 6, [( 1 ) = (7), ( 2 ) = (0), ( 3 ) = (false), ( 4 ) = (false), ( 5 ) = (false), ( 6 ) = (false)  ] ); L := Matrix(7, 2, {(1, 1) = .0, (1, 2) = .0, (2, 1) = .0, (2, 2) = .0, (3, 1) = .0, (3, 2) = .0, (4, 1) = .0, (4, 2) = .0, (5, 1) = .0, (5, 2) = .0, (6, 1) = .0, (6, 2) = .0, (7, 1) = .0, (7, 2) = .0}, datatype = float[8], order = C_order); yout := Vector(8, {(1) = .0, (2) = .0, (3) = .0, (4) = .0, (5) = .0, (6) = .0, (7) = .0, (8) = .0}, datatype = float[8]); evalhf(`dsolve/numeric/hermite`(15, 8, X, Y, YP, outpoint, var(yout), var(L), var(V))) else if _EnvInFsolve = true then Digits := _EnvDSNumericSaveDigits end if; V := array( 1 .. 6, [( 1 ) = (7), ( 2 ) = (0), ( 3 ) = (false), ( 4 ) = (false), ( 5 ) = (false), ( 6 ) = (false)  ] ); L := Matrix(7, 2, {(1, 1) = 0., (1, 2) = 0., (2, 1) = 0., (2, 2) = 0., (3, 1) = 0., (3, 2) = 0., (4, 1) = 0., (4, 2) = 0., (5, 1) = 0., (5, 2) = 0., (6, 1) = 0., (6, 2) = 0., (7, 1) = 0., (7, 2) = 0.}, order = C_order); yout := Vector(8, {(1) = 0., (2) = 0., (3) = 0., (4) = 0., (5) = 0., (6) = 0., (7) = 0., (8) = 0.}); `dsolve/numeric/hermite`(15, 8, X, Y, YP, outpoint, yout, L, V) end if; [outpoint, seq(yout[i], i = 1 .. 8)] end proc, (2) = Array(1..9, {(1) = 18446744078241673078, (2) = 18446744078241665110, (3) = 18446744078241665286, (4) = 18446744078241665462, (5) = 18446744078241665638, (6) = 18446744078241665814, (7) = 18446744078241665990, (8) = 18446744078241666166, (9) = 18446744078241666342}), (3) = [Y, Phi(Y), diff(Phi(Y), Y), Theta(Y), diff(Theta(Y), Y), U(Y), diff(U(Y), Y), W(Y), diff(W(Y), Y)], (4) = 0}); solnproc := data[1]; if not type(outpoint, 'numeric') then if outpoint = "solnprocedure" then return eval(solnproc) elif member(outpoint, ["start", "left", "right", "errorproc", "rawdata", "order", "error"]) then return solnproc(Y) elif outpoint = "sysvars" then return data[3] elif procname <> unknown then return ('procname')(Y) else `diff(Phi(Y),Y)` := pointto(data[2][3]); return ('`diff(Phi(Y),Y)`')(Y) end if end if; try res := solnproc(outpoint); res[3] catch: error  end try end proc, Theta(Y) = proc (Y) local res, data, solnproc, `Theta(Y)`, outpoint; option `Copyright (c) 2000 by Waterloo Maple Inc. All rights reserved.`; _EnvDSNumericSaveDigits := Digits; Digits := 15; if _EnvInFsolve = true then outpoint := evalf[_EnvDSNumericSaveDigits](Y) else outpoint := evalf(Y) end if; data := Array(1..4, {(1) = proc (outpoint) local X, Y, YP, yout, errproc, L, V, i; option `Copyright (c) 2000 by Waterloo Maple Inc. All rights reserved.`; X := Vector(15, {(1) = .0, (2) = 0.6625765054815187e-1, (3) = .13365088476916737, (4) = .2025067106211468, (5) = .2733920872360328, (6) = .34600102942393746, (7) = .4195023200785157, (8) = .49352965253504266, (9) = .5675002893529849, (10) = .6413468189931577, (11) = .7149962970034011, (12) = .7884576498363884, (13) = .8617314835414673, (14) = .9326665595843895, (15) = 1.0}, datatype = float[8], order = C_order); Y := Matrix(15, 8, {(1, 1) = .0, (1, 2) = 2.004222542705587, (1, 3) = 1.145432379428637, (1, 4) = .0, (1, 5) = .0, (1, 6) = -0.17272258635178156e-2, (1, 7) = .16033996489908106, (1, 8) = .0, (2, 1) = .13325635357398097, (2, 2) = 2.0183914909828737, (2, 3) = 1.1369992502297424, (2, 4) = -.21278690169229195, (2, 5) = -0.11458643249256519e-3, (2, 6) = -0.17280869725558336e-2, (2, 7) = .1602339895569687, (2, 8) = -0.3170772559482512e-2, (3, 1) = .26979645427135607, (3, 2) = 2.0337369396414173, (3, 3) = 1.1200848643416874, (3, 4) = -.2761261928396708, (3, 5) = -0.23048469181067245e-3, (3, 6) = -0.17079222831892548e-2, (3, 7) = .1599164444039848, (3, 8) = -0.6225720122935373e-2, (4, 1) = .4103817512795908, (4, 2) = 2.0497686823950283, (4, 3) = 1.100352733813822, (4, 4) = -.29295094735282157, (4, 5) = -0.34677383026418345e-3, (4, 6) = -0.16663784701133992e-2, (4, 7) = .15938471713477276, (4, 8) = -0.9196975528033927e-2, (5, 1) = .5562707040565628, (5, 2) = 2.0664466899302916, (5, 3) = 1.0794616112381539, (5, 4) = -.29518697813207795, (5, 5) = -0.46275025219470745e-3, (5, 6) = -0.1602292185897183e-2, (5, 7) = .15862787787068006, (5, 8) = -0.1214152226099821e-1, (6, 1) = .7069370874730607, (6, 2) = 2.0836488390448777, (6, 3) = 1.0581065035087929, (6, 4) = -.2925913723305364, (6, 5) = -0.5760457424038015e-3, (6, 6) = -0.15147419744465083e-2, (6, 7) = .15763908026596424, (6, 8) = -0.15086941079683126e-1, (7, 1) = .8607310442043654, (7, 2) = 2.1011632691780116, (7, 3) = 1.0367561589087477, (7, 4) = -.2881686121078946, (7, 5) = -0.6834391645413549e-3, (7, 6) = -0.14037166999682773e-2, (7, 7) = .1564214340990443, (7, 8) = -0.18046074845463285e-1, (8, 1) = 1.0169303834723493, (8, 2) = 2.1188970563300034, (8, 3) = 1.015617626656823, (8, 4) = -.2828124265335946, (8, 5) = -0.7825072211253193e-3, (8, 6) = -0.1268934226667303e-2, (8, 7) = .15497454130945054, (8, 8) = -0.21053263396319057e-1, (9, 1) = 1.1743247032961084, (9, 2) = 2.136706661122521, (9, 3) = .9949158985554131, (9, 4) = -.27681798590792756, (9, 5) = -0.8706658845931464e-3, (9, 6) = -0.11106866781843941e-2, (9, 7) = .1533039071611537, (9, 8) = -0.2413344843104163e-1, (10, 1) = 1.3327721992055255, (10, 2) = 2.1545717796216968, (10, 3) = .9747122094730619, (10, 4) = -.27027204159704155, (10, 5) = -0.9461053916685816e-3, (10, 6) = -0.9282975735544524e-3, (10, 7) = .15140457660777887, (10, 8) = -0.2733075897722341e-1, (11, 1) = 1.4921139234932561, (11, 2) = 2.172470816302719, (11, 3) = .9550635669505675, (11, 4) = -.2632127372244341, (11, 5) = -0.10069959873918552e-2, (11, 6) = -0.72085217450302e-3, (11, 7) = .14926923202154121, (11, 8) = -0.30687822362244866e-1, (12, 1) = 1.6523647284417782, (12, 2) = 2.190402050771976, (12, 3) = .9360020272065205, (12, 4) = -.25565659165893645, (12, 5) = -0.10515292816880772e-2, (12, 6) = -0.48692843690077513e-3, (12, 7) = .14688546135122257, (12, 8) = -0.34250365887014016e-1, (13, 1) = 1.8135214323805091, (13, 2) = 2.2083618631403255, (13, 3) = .9175606074617719, (13, 4) = -.2476165947723712, (13, 5) = -0.10777867634017826e-2, (13, 6) = -0.22478960357842387e-3, (13, 7) = .14423781553628534, (13, 8) = -0.38064144270076865e-1, (14, 1) = 1.97079042670578, (14, 2) = 2.2258162305695506, (14, 3) = .9002859274947701, (14, 4) = -.23936324659847988, (14, 5) = -0.10838613761017018e-2, (14, 6) = 0.5856345847748416e-4, (14, 7) = .1413982103030263, (14, 8) = -0.42050005396116155e-1, (15, 1) = 2.1212217611971487, (15, 2) = 2.2424435223942965, (15, 3) = .8844443437386932, (15, 4) = -.2311113125226132, (15, 5) = -0.10700473072859764e-2, (15, 6) = 0.3566824357619921e-3, (15, 7) = .138430834598997, (15, 8) = -0.46143611532999e-1}, datatype = float[8], order = C_order); YP := Matrix(15, 8, {(1, 1) = 2.004222542705587, (1, 2) = .2004222542705587, (1, 3) = .0, (1, 4) = -5.522421115333383, (1, 5) = -0.17272258635178156e-2, (1, 6) = -0.17272258635178157e-3, (1, 7) = .0, (1, 8) = -0.4909968741037465e-1, (2, 1) = 2.0183914909828737, (2, 2) = .22311783926751658, (2, 3) = -.21278690169229195, (2, 4) = -1.651368218408916, (2, 5) = -0.17280869725558336e-2, (2, 6) = 0.14426855869266786e-3, (2, 7) = -0.3170772559482512e-2, (2, 8) = -0.4657283068692703e-1, (3, 1) = 2.0337369396414173, (3, 2) = .2309863132481088, (3, 3) = -.2761261928396708, (3, 4) = -.4616779740893514, (3, 5) = -0.17079222831892548e-2, (3, 6) = 0.4517797839746118e-3, (3, 7) = -0.6225720122935373e-2, (3, 8) = -0.44160214578740725e-1, (4, 1) = 2.0497686823950283, (4, 2) = .234271962974785, (4, 3) = -.29295094735282157, (4, 4) = -0.9857416482619707e-1, (4, 5) = -0.16663784701133992e-2, (4, 6) = 0.7530597057920528e-3, (4, 7) = -0.9196975528033927e-2, (4, 8) = -0.4224762472414676e-1, (5, 1) = 2.0664466899302916, (5, 2) = .23616336680623695, (5, 3) = -.29518697813207795, (5, 4) = 0.13846983807826112e-1, (5, 5) = -0.1602292185897183e-2, (5, 6) = 0.10539230075101026e-2, (5, 7) = -0.1214152226099821e-1, (5, 8) = -0.4094452273490261e-1, (6, 1) = 2.0836488390448777, (6, 2) = .23762402113754144, (6, 3) = -.2925913723305364, (6, 4) = 0.513565611408734e-1, (6, 5) = -0.15147419744465083e-2, (6, 6) = 0.1357219910523662e-2, (6, 7) = -0.15086941079683126e-1, (6, 8) = -0.4030064329216681e-1, (7, 1) = 2.1011632691780116, (7, 2) = .23893318812859063, (7, 3) = -.2881686121078946, (7, 4) = 0.6721981409553378e-1, (7, 5) = -0.14037166999682773e-2, (7, 6) = 0.16642358145495008e-2, (7, 7) = -0.18046074845463285e-1, (7, 8) = -0.4033025603709702e-1, (8, 1) = 2.1188970563300034, (8, 2) = .24017094828635982, (8, 3) = -.2828124265335946, (8, 4) = 0.7698364295394677e-1, (8, 5) = -0.1268934226667303e-2, (8, 6) = 0.19784329169651753e-2, (8, 7) = -0.21053263396319057e-1, (8, 8) = -0.41024221780986345e-1, (9, 1) = 2.136706661122521, (9, 2) = .24135246470304486, (9, 3) = -.27681798590792756, (9, 4) = 0.8493769019887594e-1, (9, 5) = -0.11106866781843941e-2, (9, 6) = 0.2302276175285724e-2, (9, 7) = -0.2413344843104163e-1, (9, 8) = -0.42363570656368546e-1, (10, 1) = 2.1545717796216968, (10, 2) = .24248438212187384, (10, 3) = -.27027204159704155, (10, 4) = 0.9229030797129108e-1, (10, 5) = -0.9282975735544524e-3, (10, 6) = 0.2640246140366896e-2, (10, 7) = -0.2733075897722341e-1, (10, 8) = -0.4433524139523014e-1, (11, 1) = 2.172470816302719, (11, 2) = .24356835535271532, (11, 3) = -.2632127372244341, (11, 4) = 0.9938168719727634e-1, (11, 5) = -0.72085217450302e-3, (11, 6) = 0.2996697018774185e-2, (11, 7) = -0.30687822362244866e-1, (11, 8) = -0.4693381130252536e-1, (12, 1) = 2.190402050771976, (12, 2) = .24460586424309128, (12, 3) = -.25565659165893645, (12, 4) = .10631598066602238, (12, 5) = -0.48692843690077513e-3, (12, 6) = 0.33763437450113243e-2, (12, 7) = -0.34250365887014016e-1, (12, 8) = -0.501648740142954e-1, (13, 1) = 2.2083618631403255, (13, 2) = .2455978457912697, (13, 3) = -.2476165947723712, (13, 4) = .11311424528111304, (13, 5) = -0.22478960357842387e-3, (13, 6) = 0.3783935466649844e-2, (13, 7) = -0.38064144270076865e-1, (13, 8) = -0.54042853787999126e-1, (14, 1) = 2.2258162305695506, (14, 2) = .24651794771680305, (14, 3) = -.23936324659847988, (14, 4) = .11956179285494953, (14, 5) = 0.5856345847748416e-4, (14, 6) = 0.4210856885459364e-2, (14, 7) = -0.42050005396116155e-1, (14, 8) = -0.5844681469018231e-1, (15, 1) = 2.2424435223942965, (15, 2) = .24735548349169098, (15, 3) = -.2311113125226132, (15, 4) = .12551161033764496, (15, 5) = 0.3566824357619921e-3, (15, 6) = 0.46500293968761e-2, (15, 7) = -0.46143611532999e-1, (15, 8) = -0.6324899524697004e-1}, datatype = float[8], order = C_order); errproc := proc (x_bvp) local outpoint, X, Y, yout, L, V, i; option `Copyright (c) 2000 by Waterloo Maple Inc. All rights reserved.`; Digits := 15; outpoint := evalf(x_bvp); X := Vector(15, {(1) = .0, (2) = 0.6625765054815187e-1, (3) = .13365088476916737, (4) = .2025067106211468, (5) = .2733920872360328, (6) = .34600102942393746, (7) = .4195023200785157, (8) = .49352965253504266, (9) = .5675002893529849, (10) = .6413468189931577, (11) = .7149962970034011, (12) = .7884576498363884, (13) = .8617314835414673, (14) = .9326665595843895, (15) = 1.0}, datatype = float[8], order = C_order); Y := Matrix(15, 8, {(1, 1) = .0, (1, 2) = 0.20775270254981955e-13, (1, 3) = 0.18568686756488307e-11, (1, 4) = .0, (1, 5) = .0, (1, 6) = -0.4384292402665714e-15, (1, 7) = 0.3902267783579664e-13, (1, 8) = .0, (2, 1) = 0.6517680044165114e-10, (2, 2) = -0.11742756764696916e-8, (2, 3) = 0.11810010692125702e-7, (2, 4) = -0.21275374397828485e-6, (2, 5) = -0.149614413610872e-13, (2, 6) = 0.26864989330451524e-12, (2, 7) = -0.2666901711571216e-11, (2, 8) = 0.4875204203229508e-10, (3, 1) = 0.3956606607167133e-11, (3, 2) = -0.7120726515274473e-10, (3, 3) = 0.7180978739287518e-9, (3, 4) = -0.12905411888317134e-7, (3, 5) = -0.9596208424334212e-15, (3, 6) = 0.1587924788589625e-13, (3, 7) = -0.12518790923470226e-12, (3, 8) = 0.29551935601438702e-11, (4, 1) = -0.5308108002383149e-11, (4, 2) = 0.9574148146648531e-10, (4, 3) = -0.9606791189331714e-9, (4, 4) = 0.17341810949093313e-7, (4, 5) = 0.11361939261212533e-14, (4, 6) = -0.2236874940791144e-13, (4, 7) = 0.2593583483872206e-12, (4, 8) = -0.3976912561605506e-11, (5, 1) = -0.20926911789541902e-11, (5, 2) = 0.37848184081049324e-10, (5, 3) = -0.37851944099242813e-9, (5, 4) = 0.685239566964045e-8, (5, 5) = 0.3717435876381078e-15, (5, 6) = -0.9085936802532867e-14, (5, 7) = 0.1257670996809488e-12, (5, 8) = -0.1574103923835392e-11, (6, 1) = -0.6508770293007141e-13, (6, 2) = 0.13507855046265599e-11, (6, 3) = -0.11519530110958511e-10, (6, 4) = 0.23965420125846203e-9, (6, 5) = -0.1193074106166734e-15, (6, 6) = -0.6972807700494523e-15, (6, 7) = 0.41379009546405993e-13, (6, 8) = -0.5956866085397204e-13, (7, 1) = 0.3027466034205182e-12, (7, 2) = -0.5232300438029528e-11, (7, 3) = 0.547126727009958e-10, (7, 4) = -0.9539886217856083e-9, (7, 5) = -0.230300779651594e-15, (7, 6) = 0.8412604183563822e-15, (7, 7) = 0.25967226371026243e-13, (7, 8) = 0.21324965785791073e-12, (8, 1) = 0.1840175293187507e-12, (8, 2) = -0.3051617741071765e-11, (8, 3) = 0.3276052904510415e-10, (8, 4) = -0.5587091276973845e-9, (8, 5) = -0.22691144836758637e-15, (8, 6) = 0.3795277690691722e-15, (8, 7) = 0.30671574592441827e-13, (8, 8) = 0.12204086008782794e-12, (9, 1) = 0.6743286550194704e-13, (9, 2) = -0.9428986147490804e-12, (9, 3) = 0.11562470177915075e-10, (9, 4) = -0.17704266018199307e-9, (9, 5) = -0.2216200252711518e-15, (9, 6) = -0.58363992586117e-16, (9, 7) = 0.3498462136752494e-13, (9, 8) = 0.3398019765934819e-13, (10, 1) = 0.2412280751369823e-13, (10, 2) = -0.7333590390262865e-13, (10, 3) = 0.2839597914365758e-11, (10, 4) = -0.2014080413218097e-10, (10, 5) = -0.2292246062003996e-15, (10, 6) = -0.20777913652004072e-15, (10, 7) = 0.36374571484162684e-13, (10, 8) = -0.2552527100573851e-14, (11, 1) = 0.15106014624804083e-13, (11, 2) = 0.13131502692550342e-12, (11, 3) = 0.7654559078779287e-12, (11, 4) = 0.16941781799909178e-10, (11, 5) = -0.2424456240579254e-15, (11, 6) = -0.19841709849366833e-15, (11, 7) = 0.36376570497542226e-13, (11, 8) = -0.11680232816874435e-13, (12, 1) = 0.17790287686667867e-13, (12, 2) = 0.12729734337023414e-12, (12, 3) = 0.7998575564237202e-12, (12, 4) = 0.16076556309493655e-10, (12, 5) = -0.2522597889119558e-15, (12, 6) = -0.13715256094764069e-15, (12, 7) = 0.3573290789754735e-13, (12, 8) = -0.12057539782971678e-13, (13, 1) = 0.22112145519170306e-13, (13, 2) = 0.8816595896712872e-13, (13, 3) = 0.11645057830149508e-11, (13, 4) = 0.9266510415302792e-11, (13, 5) = -0.25631980299396486e-15, (13, 6) = -0.6229544332293126e-16, (13, 7) = 0.34937722996377065e-13, (13, 8) = -0.1122989693500642e-13, (14, 1) = 0.26409177900879644e-13, (14, 2) = 0.7250198387530906e-13, (14, 3) = 0.13791456236646867e-11, (14, 4) = 0.5152299584456395e-11, (14, 5) = -0.25999040792086374e-15, (14, 6) = 0.11829843684572805e-16, (14, 7) = 0.3436794679118263e-13, (14, 8) = -0.1095548314373621e-13, (15, 1) = 0.2880276279677512e-13, (15, 2) = 0.5975235290905091e-13, (15, 3) = 0.14884503433171194e-11, (15, 4) = 0.2975847927712198e-11, (15, 5) = -0.25476640134982803e-15, (15, 6) = 0.8505528679023333e-16, (15, 7) = 0.33418742963112255e-13, (15, 8) = -0.11143082975400075e-13}, datatype = float[8], order = C_order); if not type(outpoint, 'numeric') then if outpoint = "start" or outpoint = "left" then return X[1] elif outpoint = "right" then return X[15] elif outpoint = "order" then return 8 elif outpoint = "error" then return 0.212753743978285e-6 elif outpoint = "errorproc" then error "this is already the error procedure" elif outpoint = "rawdata" then return [8, 15, [Phi(Y), diff(Phi(Y), Y), Theta(Y), diff(Theta(Y), Y), U(Y), diff(U(Y), Y), W(Y), diff(W(Y), Y)], X, Y] else return ('procname')(x_bvp) end if end if; if outpoint < X[1] or X[15] < outpoint then error "solution is only defined in the range %1..%2", X[1], X[15] end if; V := array([1 = 4, 2 = 0]); if Digits <= trunc(evalhf(Digits)) then L := Vector(4, 'datatype' = 'float'[8]); yout := Vector(8, 'datatype' = 'float'[8]); evalhf(`dsolve/numeric/lagrange`(15, 8, X, Y, outpoint, var(yout), var(L), var(V))) else L := Vector(4, 'datatype' = 'sfloat'); yout := Vector(8, 'datatype' = 'sfloat'); `dsolve/numeric/lagrange`(15, 8, X, Y, outpoint, yout, L, V) end if; [Y = outpoint, seq('[Phi(Y), diff(Phi(Y), Y), Theta(Y), diff(Theta(Y), Y), U(Y), diff(U(Y), Y), W(Y), diff(W(Y), Y)]'[i] = yout[i], i = 1 .. 8)] end proc; if not type(outpoint, 'numeric') then if outpoint = "start" or outpoint = "left" then return X[1] elif outpoint = "method" then return "bvp" elif outpoint = "right" then return X[15] elif outpoint = "order" then return 8 elif outpoint = "error" then return 0.212753743978285e-6 elif outpoint = "errorproc" then return eval(errproc) elif outpoint = "rawdata" then return [8, 15, "depnames", X, Y, YP] else error "non-numeric value" end if end if; if outpoint < X[1] or X[15] < outpoint then error "solution is only defined in the range %1..%2", X[1], X[15] end if; if Digits <= trunc(evalhf(Digits)) and (_EnvInFsolve <> true or _EnvDSNumericSaveDigits <= trunc(evalhf(Digits))) then V := array( 1 .. 6, [( 1 ) = (7), ( 2 ) = (0), ( 3 ) = (false), ( 4 ) = (false), ( 5 ) = (false), ( 6 ) = (false)  ] ); L := Matrix(7, 2, {(1, 1) = .0, (1, 2) = .0, (2, 1) = .0, (2, 2) = .0, (3, 1) = .0, (3, 2) = .0, (4, 1) = .0, (4, 2) = .0, (5, 1) = .0, (5, 2) = .0, (6, 1) = .0, (6, 2) = .0, (7, 1) = .0, (7, 2) = .0}, datatype = float[8], order = C_order); yout := Vector(8, {(1) = .0, (2) = .0, (3) = .0, (4) = .0, (5) = .0, (6) = .0, (7) = .0, (8) = .0}, datatype = float[8]); evalhf(`dsolve/numeric/hermite`(15, 8, X, Y, YP, outpoint, var(yout), var(L), var(V))) else if _EnvInFsolve = true then Digits := _EnvDSNumericSaveDigits end if; V := array( 1 .. 6, [( 1 ) = (7), ( 2 ) = (0), ( 3 ) = (false), ( 4 ) = (false), ( 5 ) = (false), ( 6 ) = (false)  ] ); L := Matrix(7, 2, {(1, 1) = 0., (1, 2) = 0., (2, 1) = 0., (2, 2) = 0., (3, 1) = 0., (3, 2) = 0., (4, 1) = 0., (4, 2) = 0., (5, 1) = 0., (5, 2) = 0., (6, 1) = 0., (6, 2) = 0., (7, 1) = 0., (7, 2) = 0.}, order = C_order); yout := Vector(8, {(1) = 0., (2) = 0., (3) = 0., (4) = 0., (5) = 0., (6) = 0., (7) = 0., (8) = 0.}); `dsolve/numeric/hermite`(15, 8, X, Y, YP, outpoint, yout, L, V) end if; [outpoint, seq(yout[i], i = 1 .. 8)] end proc, (2) = Array(1..9, {(1) = 18446744078241673078, (2) = 18446744078241665110, (3) = 18446744078241665286, (4) = 18446744078241665462, (5) = 18446744078241665638, (6) = 18446744078241665814, (7) = 18446744078241665990, (8) = 18446744078241666166, (9) = 18446744078241666342}), (3) = [Y, Phi(Y), diff(Phi(Y), Y), Theta(Y), diff(Theta(Y), Y), U(Y), diff(U(Y), Y), W(Y), diff(W(Y), Y)], (4) = 0}); solnproc := data[1]; if not type(outpoint, 'numeric') then if outpoint = "solnprocedure" then return eval(solnproc) elif member(outpoint, ["start", "left", "right", "errorproc", "rawdata", "order", "error"]) then return solnproc(Y) elif outpoint = "sysvars" then return data[3] elif procname <> unknown then return ('procname')(Y) else `Theta(Y)` := pointto(data[2][4]); return ('`Theta(Y)`')(Y) end if end if; try res := solnproc(outpoint); res[4] catch: error  end try end proc, diff(Theta(Y), Y) = proc (Y) local res, data, solnproc, `diff(Theta(Y),Y)`, outpoint; option `Copyright (c) 2000 by Waterloo Maple Inc. All rights reserved.`; _EnvDSNumericSaveDigits := Digits; Digits := 15; if _EnvInFsolve = true then outpoint := evalf[_EnvDSNumericSaveDigits](Y) else outpoint := evalf(Y) end if; data := Array(1..4, {(1) = proc (outpoint) local X, Y, YP, yout, errproc, L, V, i; option `Copyright (c) 2000 by Waterloo Maple Inc. All rights reserved.`; X := Vector(15, {(1) = .0, (2) = 0.6625765054815187e-1, (3) = .13365088476916737, (4) = .2025067106211468, (5) = .2733920872360328, (6) = .34600102942393746, (7) = .4195023200785157, (8) = .49352965253504266, (9) = .5675002893529849, (10) = .6413468189931577, (11) = .7149962970034011, (12) = .7884576498363884, (13) = .8617314835414673, (14) = .9326665595843895, (15) = 1.0}, datatype = float[8], order = C_order); Y := Matrix(15, 8, {(1, 1) = .0, (1, 2) = 2.004222542705587, (1, 3) = 1.145432379428637, (1, 4) = .0, (1, 5) = .0, (1, 6) = -0.17272258635178156e-2, (1, 7) = .16033996489908106, (1, 8) = .0, (2, 1) = .13325635357398097, (2, 2) = 2.0183914909828737, (2, 3) = 1.1369992502297424, (2, 4) = -.21278690169229195, (2, 5) = -0.11458643249256519e-3, (2, 6) = -0.17280869725558336e-2, (2, 7) = .1602339895569687, (2, 8) = -0.3170772559482512e-2, (3, 1) = .26979645427135607, (3, 2) = 2.0337369396414173, (3, 3) = 1.1200848643416874, (3, 4) = -.2761261928396708, (3, 5) = -0.23048469181067245e-3, (3, 6) = -0.17079222831892548e-2, (3, 7) = .1599164444039848, (3, 8) = -0.6225720122935373e-2, (4, 1) = .4103817512795908, (4, 2) = 2.0497686823950283, (4, 3) = 1.100352733813822, (4, 4) = -.29295094735282157, (4, 5) = -0.34677383026418345e-3, (4, 6) = -0.16663784701133992e-2, (4, 7) = .15938471713477276, (4, 8) = -0.9196975528033927e-2, (5, 1) = .5562707040565628, (5, 2) = 2.0664466899302916, (5, 3) = 1.0794616112381539, (5, 4) = -.29518697813207795, (5, 5) = -0.46275025219470745e-3, (5, 6) = -0.1602292185897183e-2, (5, 7) = .15862787787068006, (5, 8) = -0.1214152226099821e-1, (6, 1) = .7069370874730607, (6, 2) = 2.0836488390448777, (6, 3) = 1.0581065035087929, (6, 4) = -.2925913723305364, (6, 5) = -0.5760457424038015e-3, (6, 6) = -0.15147419744465083e-2, (6, 7) = .15763908026596424, (6, 8) = -0.15086941079683126e-1, (7, 1) = .8607310442043654, (7, 2) = 2.1011632691780116, (7, 3) = 1.0367561589087477, (7, 4) = -.2881686121078946, (7, 5) = -0.6834391645413549e-3, (7, 6) = -0.14037166999682773e-2, (7, 7) = .1564214340990443, (7, 8) = -0.18046074845463285e-1, (8, 1) = 1.0169303834723493, (8, 2) = 2.1188970563300034, (8, 3) = 1.015617626656823, (8, 4) = -.2828124265335946, (8, 5) = -0.7825072211253193e-3, (8, 6) = -0.1268934226667303e-2, (8, 7) = .15497454130945054, (8, 8) = -0.21053263396319057e-1, (9, 1) = 1.1743247032961084, (9, 2) = 2.136706661122521, (9, 3) = .9949158985554131, (9, 4) = -.27681798590792756, (9, 5) = -0.8706658845931464e-3, (9, 6) = -0.11106866781843941e-2, (9, 7) = .1533039071611537, (9, 8) = -0.2413344843104163e-1, (10, 1) = 1.3327721992055255, (10, 2) = 2.1545717796216968, (10, 3) = .9747122094730619, (10, 4) = -.27027204159704155, (10, 5) = -0.9461053916685816e-3, (10, 6) = -0.9282975735544524e-3, (10, 7) = .15140457660777887, (10, 8) = -0.2733075897722341e-1, (11, 1) = 1.4921139234932561, (11, 2) = 2.172470816302719, (11, 3) = .9550635669505675, (11, 4) = -.2632127372244341, (11, 5) = -0.10069959873918552e-2, (11, 6) = -0.72085217450302e-3, (11, 7) = .14926923202154121, (11, 8) = -0.30687822362244866e-1, (12, 1) = 1.6523647284417782, (12, 2) = 2.190402050771976, (12, 3) = .9360020272065205, (12, 4) = -.25565659165893645, (12, 5) = -0.10515292816880772e-2, (12, 6) = -0.48692843690077513e-3, (12, 7) = .14688546135122257, (12, 8) = -0.34250365887014016e-1, (13, 1) = 1.8135214323805091, (13, 2) = 2.2083618631403255, (13, 3) = .9175606074617719, (13, 4) = -.2476165947723712, (13, 5) = -0.10777867634017826e-2, (13, 6) = -0.22478960357842387e-3, (13, 7) = .14423781553628534, (13, 8) = -0.38064144270076865e-1, (14, 1) = 1.97079042670578, (14, 2) = 2.2258162305695506, (14, 3) = .9002859274947701, (14, 4) = -.23936324659847988, (14, 5) = -0.10838613761017018e-2, (14, 6) = 0.5856345847748416e-4, (14, 7) = .1413982103030263, (14, 8) = -0.42050005396116155e-1, (15, 1) = 2.1212217611971487, (15, 2) = 2.2424435223942965, (15, 3) = .8844443437386932, (15, 4) = -.2311113125226132, (15, 5) = -0.10700473072859764e-2, (15, 6) = 0.3566824357619921e-3, (15, 7) = .138430834598997, (15, 8) = -0.46143611532999e-1}, datatype = float[8], order = C_order); YP := Matrix(15, 8, {(1, 1) = 2.004222542705587, (1, 2) = .2004222542705587, (1, 3) = .0, (1, 4) = -5.522421115333383, (1, 5) = -0.17272258635178156e-2, (1, 6) = -0.17272258635178157e-3, (1, 7) = .0, (1, 8) = -0.4909968741037465e-1, (2, 1) = 2.0183914909828737, (2, 2) = .22311783926751658, (2, 3) = -.21278690169229195, (2, 4) = -1.651368218408916, (2, 5) = -0.17280869725558336e-2, (2, 6) = 0.14426855869266786e-3, (2, 7) = -0.3170772559482512e-2, (2, 8) = -0.4657283068692703e-1, (3, 1) = 2.0337369396414173, (3, 2) = .2309863132481088, (3, 3) = -.2761261928396708, (3, 4) = -.4616779740893514, (3, 5) = -0.17079222831892548e-2, (3, 6) = 0.4517797839746118e-3, (3, 7) = -0.6225720122935373e-2, (3, 8) = -0.44160214578740725e-1, (4, 1) = 2.0497686823950283, (4, 2) = .234271962974785, (4, 3) = -.29295094735282157, (4, 4) = -0.9857416482619707e-1, (4, 5) = -0.16663784701133992e-2, (4, 6) = 0.7530597057920528e-3, (4, 7) = -0.9196975528033927e-2, (4, 8) = -0.4224762472414676e-1, (5, 1) = 2.0664466899302916, (5, 2) = .23616336680623695, (5, 3) = -.29518697813207795, (5, 4) = 0.13846983807826112e-1, (5, 5) = -0.1602292185897183e-2, (5, 6) = 0.10539230075101026e-2, (5, 7) = -0.1214152226099821e-1, (5, 8) = -0.4094452273490261e-1, (6, 1) = 2.0836488390448777, (6, 2) = .23762402113754144, (6, 3) = -.2925913723305364, (6, 4) = 0.513565611408734e-1, (6, 5) = -0.15147419744465083e-2, (6, 6) = 0.1357219910523662e-2, (6, 7) = -0.15086941079683126e-1, (6, 8) = -0.4030064329216681e-1, (7, 1) = 2.1011632691780116, (7, 2) = .23893318812859063, (7, 3) = -.2881686121078946, (7, 4) = 0.6721981409553378e-1, (7, 5) = -0.14037166999682773e-2, (7, 6) = 0.16642358145495008e-2, (7, 7) = -0.18046074845463285e-1, (7, 8) = -0.4033025603709702e-1, (8, 1) = 2.1188970563300034, (8, 2) = .24017094828635982, (8, 3) = -.2828124265335946, (8, 4) = 0.7698364295394677e-1, (8, 5) = -0.1268934226667303e-2, (8, 6) = 0.19784329169651753e-2, (8, 7) = -0.21053263396319057e-1, (8, 8) = -0.41024221780986345e-1, (9, 1) = 2.136706661122521, (9, 2) = .24135246470304486, (9, 3) = -.27681798590792756, (9, 4) = 0.8493769019887594e-1, (9, 5) = -0.11106866781843941e-2, (9, 6) = 0.2302276175285724e-2, (9, 7) = -0.2413344843104163e-1, (9, 8) = -0.42363570656368546e-1, (10, 1) = 2.1545717796216968, (10, 2) = .24248438212187384, (10, 3) = -.27027204159704155, (10, 4) = 0.9229030797129108e-1, (10, 5) = -0.9282975735544524e-3, (10, 6) = 0.2640246140366896e-2, (10, 7) = -0.2733075897722341e-1, (10, 8) = -0.4433524139523014e-1, (11, 1) = 2.172470816302719, (11, 2) = .24356835535271532, (11, 3) = -.2632127372244341, (11, 4) = 0.9938168719727634e-1, (11, 5) = -0.72085217450302e-3, (11, 6) = 0.2996697018774185e-2, (11, 7) = -0.30687822362244866e-1, (11, 8) = -0.4693381130252536e-1, (12, 1) = 2.190402050771976, (12, 2) = .24460586424309128, (12, 3) = -.25565659165893645, (12, 4) = .10631598066602238, (12, 5) = -0.48692843690077513e-3, (12, 6) = 0.33763437450113243e-2, (12, 7) = -0.34250365887014016e-1, (12, 8) = -0.501648740142954e-1, (13, 1) = 2.2083618631403255, (13, 2) = .2455978457912697, (13, 3) = -.2476165947723712, (13, 4) = .11311424528111304, (13, 5) = -0.22478960357842387e-3, (13, 6) = 0.3783935466649844e-2, (13, 7) = -0.38064144270076865e-1, (13, 8) = -0.54042853787999126e-1, (14, 1) = 2.2258162305695506, (14, 2) = .24651794771680305, (14, 3) = -.23936324659847988, (14, 4) = .11956179285494953, (14, 5) = 0.5856345847748416e-4, (14, 6) = 0.4210856885459364e-2, (14, 7) = -0.42050005396116155e-1, (14, 8) = -0.5844681469018231e-1, (15, 1) = 2.2424435223942965, (15, 2) = .24735548349169098, (15, 3) = -.2311113125226132, (15, 4) = .12551161033764496, (15, 5) = 0.3566824357619921e-3, (15, 6) = 0.46500293968761e-2, (15, 7) = -0.46143611532999e-1, (15, 8) = -0.6324899524697004e-1}, datatype = float[8], order = C_order); errproc := proc (x_bvp) local outpoint, X, Y, yout, L, V, i; option `Copyright (c) 2000 by Waterloo Maple Inc. All rights reserved.`; Digits := 15; outpoint := evalf(x_bvp); X := Vector(15, {(1) = .0, (2) = 0.6625765054815187e-1, (3) = .13365088476916737, (4) = .2025067106211468, (5) = .2733920872360328, (6) = .34600102942393746, (7) = .4195023200785157, (8) = .49352965253504266, (9) = .5675002893529849, (10) = .6413468189931577, (11) = .7149962970034011, (12) = .7884576498363884, (13) = .8617314835414673, (14) = .9326665595843895, (15) = 1.0}, datatype = float[8], order = C_order); Y := Matrix(15, 8, {(1, 1) = .0, (1, 2) = 0.20775270254981955e-13, (1, 3) = 0.18568686756488307e-11, (1, 4) = .0, (1, 5) = .0, (1, 6) = -0.4384292402665714e-15, (1, 7) = 0.3902267783579664e-13, (1, 8) = .0, (2, 1) = 0.6517680044165114e-10, (2, 2) = -0.11742756764696916e-8, (2, 3) = 0.11810010692125702e-7, (2, 4) = -0.21275374397828485e-6, (2, 5) = -0.149614413610872e-13, (2, 6) = 0.26864989330451524e-12, (2, 7) = -0.2666901711571216e-11, (2, 8) = 0.4875204203229508e-10, (3, 1) = 0.3956606607167133e-11, (3, 2) = -0.7120726515274473e-10, (3, 3) = 0.7180978739287518e-9, (3, 4) = -0.12905411888317134e-7, (3, 5) = -0.9596208424334212e-15, (3, 6) = 0.1587924788589625e-13, (3, 7) = -0.12518790923470226e-12, (3, 8) = 0.29551935601438702e-11, (4, 1) = -0.5308108002383149e-11, (4, 2) = 0.9574148146648531e-10, (4, 3) = -0.9606791189331714e-9, (4, 4) = 0.17341810949093313e-7, (4, 5) = 0.11361939261212533e-14, (4, 6) = -0.2236874940791144e-13, (4, 7) = 0.2593583483872206e-12, (4, 8) = -0.3976912561605506e-11, (5, 1) = -0.20926911789541902e-11, (5, 2) = 0.37848184081049324e-10, (5, 3) = -0.37851944099242813e-9, (5, 4) = 0.685239566964045e-8, (5, 5) = 0.3717435876381078e-15, (5, 6) = -0.9085936802532867e-14, (5, 7) = 0.1257670996809488e-12, (5, 8) = -0.1574103923835392e-11, (6, 1) = -0.6508770293007141e-13, (6, 2) = 0.13507855046265599e-11, (6, 3) = -0.11519530110958511e-10, (6, 4) = 0.23965420125846203e-9, (6, 5) = -0.1193074106166734e-15, (6, 6) = -0.6972807700494523e-15, (6, 7) = 0.41379009546405993e-13, (6, 8) = -0.5956866085397204e-13, (7, 1) = 0.3027466034205182e-12, (7, 2) = -0.5232300438029528e-11, (7, 3) = 0.547126727009958e-10, (7, 4) = -0.9539886217856083e-9, (7, 5) = -0.230300779651594e-15, (7, 6) = 0.8412604183563822e-15, (7, 7) = 0.25967226371026243e-13, (7, 8) = 0.21324965785791073e-12, (8, 1) = 0.1840175293187507e-12, (8, 2) = -0.3051617741071765e-11, (8, 3) = 0.3276052904510415e-10, (8, 4) = -0.5587091276973845e-9, (8, 5) = -0.22691144836758637e-15, (8, 6) = 0.3795277690691722e-15, (8, 7) = 0.30671574592441827e-13, (8, 8) = 0.12204086008782794e-12, (9, 1) = 0.6743286550194704e-13, (9, 2) = -0.9428986147490804e-12, (9, 3) = 0.11562470177915075e-10, (9, 4) = -0.17704266018199307e-9, (9, 5) = -0.2216200252711518e-15, (9, 6) = -0.58363992586117e-16, (9, 7) = 0.3498462136752494e-13, (9, 8) = 0.3398019765934819e-13, (10, 1) = 0.2412280751369823e-13, (10, 2) = -0.7333590390262865e-13, (10, 3) = 0.2839597914365758e-11, (10, 4) = -0.2014080413218097e-10, (10, 5) = -0.2292246062003996e-15, (10, 6) = -0.20777913652004072e-15, (10, 7) = 0.36374571484162684e-13, (10, 8) = -0.2552527100573851e-14, (11, 1) = 0.15106014624804083e-13, (11, 2) = 0.13131502692550342e-12, (11, 3) = 0.7654559078779287e-12, (11, 4) = 0.16941781799909178e-10, (11, 5) = -0.2424456240579254e-15, (11, 6) = -0.19841709849366833e-15, (11, 7) = 0.36376570497542226e-13, (11, 8) = -0.11680232816874435e-13, (12, 1) = 0.17790287686667867e-13, (12, 2) = 0.12729734337023414e-12, (12, 3) = 0.7998575564237202e-12, (12, 4) = 0.16076556309493655e-10, (12, 5) = -0.2522597889119558e-15, (12, 6) = -0.13715256094764069e-15, (12, 7) = 0.3573290789754735e-13, (12, 8) = -0.12057539782971678e-13, (13, 1) = 0.22112145519170306e-13, (13, 2) = 0.8816595896712872e-13, (13, 3) = 0.11645057830149508e-11, (13, 4) = 0.9266510415302792e-11, (13, 5) = -0.25631980299396486e-15, (13, 6) = -0.6229544332293126e-16, (13, 7) = 0.34937722996377065e-13, (13, 8) = -0.1122989693500642e-13, (14, 1) = 0.26409177900879644e-13, (14, 2) = 0.7250198387530906e-13, (14, 3) = 0.13791456236646867e-11, (14, 4) = 0.5152299584456395e-11, (14, 5) = -0.25999040792086374e-15, (14, 6) = 0.11829843684572805e-16, (14, 7) = 0.3436794679118263e-13, (14, 8) = -0.1095548314373621e-13, (15, 1) = 0.2880276279677512e-13, (15, 2) = 0.5975235290905091e-13, (15, 3) = 0.14884503433171194e-11, (15, 4) = 0.2975847927712198e-11, (15, 5) = -0.25476640134982803e-15, (15, 6) = 0.8505528679023333e-16, (15, 7) = 0.33418742963112255e-13, (15, 8) = -0.11143082975400075e-13}, datatype = float[8], order = C_order); if not type(outpoint, 'numeric') then if outpoint = "start" or outpoint = "left" then return X[1] elif outpoint = "right" then return X[15] elif outpoint = "order" then return 8 elif outpoint = "error" then return 0.212753743978285e-6 elif outpoint = "errorproc" then error "this is already the error procedure" elif outpoint = "rawdata" then return [8, 15, [Phi(Y), diff(Phi(Y), Y), Theta(Y), diff(Theta(Y), Y), U(Y), diff(U(Y), Y), W(Y), diff(W(Y), Y)], X, Y] else return ('procname')(x_bvp) end if end if; if outpoint < X[1] or X[15] < outpoint then error "solution is only defined in the range %1..%2", X[1], X[15] end if; V := array([1 = 4, 2 = 0]); if Digits <= trunc(evalhf(Digits)) then L := Vector(4, 'datatype' = 'float'[8]); yout := Vector(8, 'datatype' = 'float'[8]); evalhf(`dsolve/numeric/lagrange`(15, 8, X, Y, outpoint, var(yout), var(L), var(V))) else L := Vector(4, 'datatype' = 'sfloat'); yout := Vector(8, 'datatype' = 'sfloat'); `dsolve/numeric/lagrange`(15, 8, X, Y, outpoint, yout, L, V) end if; [Y = outpoint, seq('[Phi(Y), diff(Phi(Y), Y), Theta(Y), diff(Theta(Y), Y), U(Y), diff(U(Y), Y), W(Y), diff(W(Y), Y)]'[i] = yout[i], i = 1 .. 8)] end proc; if not type(outpoint, 'numeric') then if outpoint = "start" or outpoint = "left" then return X[1] elif outpoint = "method" then return "bvp" elif outpoint = "right" then return X[15] elif outpoint = "order" then return 8 elif outpoint = "error" then return 0.212753743978285e-6 elif outpoint = "errorproc" then return eval(errproc) elif outpoint = "rawdata" then return [8, 15, "depnames", X, Y, YP] else error "non-numeric value" end if end if; if outpoint < X[1] or X[15] < outpoint then error "solution is only defined in the range %1..%2", X[1], X[15] end if; if Digits <= trunc(evalhf(Digits)) and (_EnvInFsolve <> true or _EnvDSNumericSaveDigits <= trunc(evalhf(Digits))) then V := array( 1 .. 6, [( 1 ) = (7), ( 2 ) = (0), ( 3 ) = (false), ( 4 ) = (false), ( 5 ) = (false), ( 6 ) = (false)  ] ); L := Matrix(7, 2, {(1, 1) = .0, (1, 2) = .0, (2, 1) = .0, (2, 2) = .0, (3, 1) = .0, (3, 2) = .0, (4, 1) = .0, (4, 2) = .0, (5, 1) = .0, (5, 2) = .0, (6, 1) = .0, (6, 2) = .0, (7, 1) = .0, (7, 2) = .0}, datatype = float[8], order = C_order); yout := Vector(8, {(1) = .0, (2) = .0, (3) = .0, (4) = .0, (5) = .0, (6) = .0, (7) = .0, (8) = .0}, datatype = float[8]); evalhf(`dsolve/numeric/hermite`(15, 8, X, Y, YP, outpoint, var(yout), var(L), var(V))) else if _EnvInFsolve = true then Digits := _EnvDSNumericSaveDigits end if; V := array( 1 .. 6, [( 1 ) = (7), ( 2 ) = (0), ( 3 ) = (false), ( 4 ) = (false), ( 5 ) = (false), ( 6 ) = (false)  ] ); L := Matrix(7, 2, {(1, 1) = 0., (1, 2) = 0., (2, 1) = 0., (2, 2) = 0., (3, 1) = 0., (3, 2) = 0., (4, 1) = 0., (4, 2) = 0., (5, 1) = 0., (5, 2) = 0., (6, 1) = 0., (6, 2) = 0., (7, 1) = 0., (7, 2) = 0.}, order = C_order); yout := Vector(8, {(1) = 0., (2) = 0., (3) = 0., (4) = 0., (5) = 0., (6) = 0., (7) = 0., (8) = 0.}); `dsolve/numeric/hermite`(15, 8, X, Y, YP, outpoint, yout, L, V) end if; [outpoint, seq(yout[i], i = 1 .. 8)] end proc, (2) = Array(1..9, {(1) = 18446744078241673078, (2) = 18446744078241665110, (3) = 18446744078241665286, (4) = 18446744078241665462, (5) = 18446744078241665638, (6) = 18446744078241665814, (7) = 18446744078241665990, (8) = 18446744078241666166, (9) = 18446744078241666342}), (3) = [Y, Phi(Y), diff(Phi(Y), Y), Theta(Y), diff(Theta(Y), Y), U(Y), diff(U(Y), Y), W(Y), diff(W(Y), Y)], (4) = 0}); solnproc := data[1]; if not type(outpoint, 'numeric') then if outpoint = "solnprocedure" then return eval(solnproc) elif member(outpoint, ["start", "left", "right", "errorproc", "rawdata", "order", "error"]) then return solnproc(Y) elif outpoint = "sysvars" then return data[3] elif procname <> unknown then return ('procname')(Y) else `diff(Theta(Y),Y)` := pointto(data[2][5]); return ('`diff(Theta(Y),Y)`')(Y) end if end if; try res := solnproc(outpoint); res[5] catch: error  end try end proc, U(Y) = proc (Y) local res, data, solnproc, `U(Y)`, outpoint; option `Copyright (c) 2000 by Waterloo Maple Inc. All rights reserved.`; _EnvDSNumericSaveDigits := Digits; Digits := 15; if _EnvInFsolve = true then outpoint := evalf[_EnvDSNumericSaveDigits](Y) else outpoint := evalf(Y) end if; data := Array(1..4, {(1) = proc (outpoint) local X, Y, YP, yout, errproc, L, V, i; option `Copyright (c) 2000 by Waterloo Maple Inc. All rights reserved.`; X := Vector(15, {(1) = .0, (2) = 0.6625765054815187e-1, (3) = .13365088476916737, (4) = .2025067106211468, (5) = .2733920872360328, (6) = .34600102942393746, (7) = .4195023200785157, (8) = .49352965253504266, (9) = .5675002893529849, (10) = .6413468189931577, (11) = .7149962970034011, (12) = .7884576498363884, (13) = .8617314835414673, (14) = .9326665595843895, (15) = 1.0}, datatype = float[8], order = C_order); Y := Matrix(15, 8, {(1, 1) = .0, (1, 2) = 2.004222542705587, (1, 3) = 1.145432379428637, (1, 4) = .0, (1, 5) = .0, (1, 6) = -0.17272258635178156e-2, (1, 7) = .16033996489908106, (1, 8) = .0, (2, 1) = .13325635357398097, (2, 2) = 2.0183914909828737, (2, 3) = 1.1369992502297424, (2, 4) = -.21278690169229195, (2, 5) = -0.11458643249256519e-3, (2, 6) = -0.17280869725558336e-2, (2, 7) = .1602339895569687, (2, 8) = -0.3170772559482512e-2, (3, 1) = .26979645427135607, (3, 2) = 2.0337369396414173, (3, 3) = 1.1200848643416874, (3, 4) = -.2761261928396708, (3, 5) = -0.23048469181067245e-3, (3, 6) = -0.17079222831892548e-2, (3, 7) = .1599164444039848, (3, 8) = -0.6225720122935373e-2, (4, 1) = .4103817512795908, (4, 2) = 2.0497686823950283, (4, 3) = 1.100352733813822, (4, 4) = -.29295094735282157, (4, 5) = -0.34677383026418345e-3, (4, 6) = -0.16663784701133992e-2, (4, 7) = .15938471713477276, (4, 8) = -0.9196975528033927e-2, (5, 1) = .5562707040565628, (5, 2) = 2.0664466899302916, (5, 3) = 1.0794616112381539, (5, 4) = -.29518697813207795, (5, 5) = -0.46275025219470745e-3, (5, 6) = -0.1602292185897183e-2, (5, 7) = .15862787787068006, (5, 8) = -0.1214152226099821e-1, (6, 1) = .7069370874730607, (6, 2) = 2.0836488390448777, (6, 3) = 1.0581065035087929, (6, 4) = -.2925913723305364, (6, 5) = -0.5760457424038015e-3, (6, 6) = -0.15147419744465083e-2, (6, 7) = .15763908026596424, (6, 8) = -0.15086941079683126e-1, (7, 1) = .8607310442043654, (7, 2) = 2.1011632691780116, (7, 3) = 1.0367561589087477, (7, 4) = -.2881686121078946, (7, 5) = -0.6834391645413549e-3, (7, 6) = -0.14037166999682773e-2, (7, 7) = .1564214340990443, (7, 8) = -0.18046074845463285e-1, (8, 1) = 1.0169303834723493, (8, 2) = 2.1188970563300034, (8, 3) = 1.015617626656823, (8, 4) = -.2828124265335946, (8, 5) = -0.7825072211253193e-3, (8, 6) = -0.1268934226667303e-2, (8, 7) = .15497454130945054, (8, 8) = -0.21053263396319057e-1, (9, 1) = 1.1743247032961084, (9, 2) = 2.136706661122521, (9, 3) = .9949158985554131, (9, 4) = -.27681798590792756, (9, 5) = -0.8706658845931464e-3, (9, 6) = -0.11106866781843941e-2, (9, 7) = .1533039071611537, (9, 8) = -0.2413344843104163e-1, (10, 1) = 1.3327721992055255, (10, 2) = 2.1545717796216968, (10, 3) = .9747122094730619, (10, 4) = -.27027204159704155, (10, 5) = -0.9461053916685816e-3, (10, 6) = -0.9282975735544524e-3, (10, 7) = .15140457660777887, (10, 8) = -0.2733075897722341e-1, (11, 1) = 1.4921139234932561, (11, 2) = 2.172470816302719, (11, 3) = .9550635669505675, (11, 4) = -.2632127372244341, (11, 5) = -0.10069959873918552e-2, (11, 6) = -0.72085217450302e-3, (11, 7) = .14926923202154121, (11, 8) = -0.30687822362244866e-1, (12, 1) = 1.6523647284417782, (12, 2) = 2.190402050771976, (12, 3) = .9360020272065205, (12, 4) = -.25565659165893645, (12, 5) = -0.10515292816880772e-2, (12, 6) = -0.48692843690077513e-3, (12, 7) = .14688546135122257, (12, 8) = -0.34250365887014016e-1, (13, 1) = 1.8135214323805091, (13, 2) = 2.2083618631403255, (13, 3) = .9175606074617719, (13, 4) = -.2476165947723712, (13, 5) = -0.10777867634017826e-2, (13, 6) = -0.22478960357842387e-3, (13, 7) = .14423781553628534, (13, 8) = -0.38064144270076865e-1, (14, 1) = 1.97079042670578, (14, 2) = 2.2258162305695506, (14, 3) = .9002859274947701, (14, 4) = -.23936324659847988, (14, 5) = -0.10838613761017018e-2, (14, 6) = 0.5856345847748416e-4, (14, 7) = .1413982103030263, (14, 8) = -0.42050005396116155e-1, (15, 1) = 2.1212217611971487, (15, 2) = 2.2424435223942965, (15, 3) = .8844443437386932, (15, 4) = -.2311113125226132, (15, 5) = -0.10700473072859764e-2, (15, 6) = 0.3566824357619921e-3, (15, 7) = .138430834598997, (15, 8) = -0.46143611532999e-1}, datatype = float[8], order = C_order); YP := Matrix(15, 8, {(1, 1) = 2.004222542705587, (1, 2) = .2004222542705587, (1, 3) = .0, (1, 4) = -5.522421115333383, (1, 5) = -0.17272258635178156e-2, (1, 6) = -0.17272258635178157e-3, (1, 7) = .0, (1, 8) = -0.4909968741037465e-1, (2, 1) = 2.0183914909828737, (2, 2) = .22311783926751658, (2, 3) = -.21278690169229195, (2, 4) = -1.651368218408916, (2, 5) = -0.17280869725558336e-2, (2, 6) = 0.14426855869266786e-3, (2, 7) = -0.3170772559482512e-2, (2, 8) = -0.4657283068692703e-1, (3, 1) = 2.0337369396414173, (3, 2) = .2309863132481088, (3, 3) = -.2761261928396708, (3, 4) = -.4616779740893514, (3, 5) = -0.17079222831892548e-2, (3, 6) = 0.4517797839746118e-3, (3, 7) = -0.6225720122935373e-2, (3, 8) = -0.44160214578740725e-1, (4, 1) = 2.0497686823950283, (4, 2) = .234271962974785, (4, 3) = -.29295094735282157, (4, 4) = -0.9857416482619707e-1, (4, 5) = -0.16663784701133992e-2, (4, 6) = 0.7530597057920528e-3, (4, 7) = -0.9196975528033927e-2, (4, 8) = -0.4224762472414676e-1, (5, 1) = 2.0664466899302916, (5, 2) = .23616336680623695, (5, 3) = -.29518697813207795, (5, 4) = 0.13846983807826112e-1, (5, 5) = -0.1602292185897183e-2, (5, 6) = 0.10539230075101026e-2, (5, 7) = -0.1214152226099821e-1, (5, 8) = -0.4094452273490261e-1, (6, 1) = 2.0836488390448777, (6, 2) = .23762402113754144, (6, 3) = -.2925913723305364, (6, 4) = 0.513565611408734e-1, (6, 5) = -0.15147419744465083e-2, (6, 6) = 0.1357219910523662e-2, (6, 7) = -0.15086941079683126e-1, (6, 8) = -0.4030064329216681e-1, (7, 1) = 2.1011632691780116, (7, 2) = .23893318812859063, (7, 3) = -.2881686121078946, (7, 4) = 0.6721981409553378e-1, (7, 5) = -0.14037166999682773e-2, (7, 6) = 0.16642358145495008e-2, (7, 7) = -0.18046074845463285e-1, (7, 8) = -0.4033025603709702e-1, (8, 1) = 2.1188970563300034, (8, 2) = .24017094828635982, (8, 3) = -.2828124265335946, (8, 4) = 0.7698364295394677e-1, (8, 5) = -0.1268934226667303e-2, (8, 6) = 0.19784329169651753e-2, (8, 7) = -0.21053263396319057e-1, (8, 8) = -0.41024221780986345e-1, (9, 1) = 2.136706661122521, (9, 2) = .24135246470304486, (9, 3) = -.27681798590792756, (9, 4) = 0.8493769019887594e-1, (9, 5) = -0.11106866781843941e-2, (9, 6) = 0.2302276175285724e-2, (9, 7) = -0.2413344843104163e-1, (9, 8) = -0.42363570656368546e-1, (10, 1) = 2.1545717796216968, (10, 2) = .24248438212187384, (10, 3) = -.27027204159704155, (10, 4) = 0.9229030797129108e-1, (10, 5) = -0.9282975735544524e-3, (10, 6) = 0.2640246140366896e-2, (10, 7) = -0.2733075897722341e-1, (10, 8) = -0.4433524139523014e-1, (11, 1) = 2.172470816302719, (11, 2) = .24356835535271532, (11, 3) = -.2632127372244341, (11, 4) = 0.9938168719727634e-1, (11, 5) = -0.72085217450302e-3, (11, 6) = 0.2996697018774185e-2, (11, 7) = -0.30687822362244866e-1, (11, 8) = -0.4693381130252536e-1, (12, 1) = 2.190402050771976, (12, 2) = .24460586424309128, (12, 3) = -.25565659165893645, (12, 4) = .10631598066602238, (12, 5) = -0.48692843690077513e-3, (12, 6) = 0.33763437450113243e-2, (12, 7) = -0.34250365887014016e-1, (12, 8) = -0.501648740142954e-1, (13, 1) = 2.2083618631403255, (13, 2) = .2455978457912697, (13, 3) = -.2476165947723712, (13, 4) = .11311424528111304, (13, 5) = -0.22478960357842387e-3, (13, 6) = 0.3783935466649844e-2, (13, 7) = -0.38064144270076865e-1, (13, 8) = -0.54042853787999126e-1, (14, 1) = 2.2258162305695506, (14, 2) = .24651794771680305, (14, 3) = -.23936324659847988, (14, 4) = .11956179285494953, (14, 5) = 0.5856345847748416e-4, (14, 6) = 0.4210856885459364e-2, (14, 7) = -0.42050005396116155e-1, (14, 8) = -0.5844681469018231e-1, (15, 1) = 2.2424435223942965, (15, 2) = .24735548349169098, (15, 3) = -.2311113125226132, (15, 4) = .12551161033764496, (15, 5) = 0.3566824357619921e-3, (15, 6) = 0.46500293968761e-2, (15, 7) = -0.46143611532999e-1, (15, 8) = -0.6324899524697004e-1}, datatype = float[8], order = C_order); errproc := proc (x_bvp) local outpoint, X, Y, yout, L, V, i; option `Copyright (c) 2000 by Waterloo Maple Inc. All rights reserved.`; Digits := 15; outpoint := evalf(x_bvp); X := Vector(15, {(1) = .0, (2) = 0.6625765054815187e-1, (3) = .13365088476916737, (4) = .2025067106211468, (5) = .2733920872360328, (6) = .34600102942393746, (7) = .4195023200785157, (8) = .49352965253504266, (9) = .5675002893529849, (10) = .6413468189931577, (11) = .7149962970034011, (12) = .7884576498363884, (13) = .8617314835414673, (14) = .9326665595843895, (15) = 1.0}, datatype = float[8], order = C_order); Y := Matrix(15, 8, {(1, 1) = .0, (1, 2) = 0.20775270254981955e-13, (1, 3) = 0.18568686756488307e-11, (1, 4) = .0, (1, 5) = .0, (1, 6) = -0.4384292402665714e-15, (1, 7) = 0.3902267783579664e-13, (1, 8) = .0, (2, 1) = 0.6517680044165114e-10, (2, 2) = -0.11742756764696916e-8, (2, 3) = 0.11810010692125702e-7, (2, 4) = -0.21275374397828485e-6, (2, 5) = -0.149614413610872e-13, (2, 6) = 0.26864989330451524e-12, (2, 7) = -0.2666901711571216e-11, (2, 8) = 0.4875204203229508e-10, (3, 1) = 0.3956606607167133e-11, (3, 2) = -0.7120726515274473e-10, (3, 3) = 0.7180978739287518e-9, (3, 4) = -0.12905411888317134e-7, (3, 5) = -0.9596208424334212e-15, (3, 6) = 0.1587924788589625e-13, (3, 7) = -0.12518790923470226e-12, (3, 8) = 0.29551935601438702e-11, (4, 1) = -0.5308108002383149e-11, (4, 2) = 0.9574148146648531e-10, (4, 3) = -0.9606791189331714e-9, (4, 4) = 0.17341810949093313e-7, (4, 5) = 0.11361939261212533e-14, (4, 6) = -0.2236874940791144e-13, (4, 7) = 0.2593583483872206e-12, (4, 8) = -0.3976912561605506e-11, (5, 1) = -0.20926911789541902e-11, (5, 2) = 0.37848184081049324e-10, (5, 3) = -0.37851944099242813e-9, (5, 4) = 0.685239566964045e-8, (5, 5) = 0.3717435876381078e-15, (5, 6) = -0.9085936802532867e-14, (5, 7) = 0.1257670996809488e-12, (5, 8) = -0.1574103923835392e-11, (6, 1) = -0.6508770293007141e-13, (6, 2) = 0.13507855046265599e-11, (6, 3) = -0.11519530110958511e-10, (6, 4) = 0.23965420125846203e-9, (6, 5) = -0.1193074106166734e-15, (6, 6) = -0.6972807700494523e-15, (6, 7) = 0.41379009546405993e-13, (6, 8) = -0.5956866085397204e-13, (7, 1) = 0.3027466034205182e-12, (7, 2) = -0.5232300438029528e-11, (7, 3) = 0.547126727009958e-10, (7, 4) = -0.9539886217856083e-9, (7, 5) = -0.230300779651594e-15, (7, 6) = 0.8412604183563822e-15, (7, 7) = 0.25967226371026243e-13, (7, 8) = 0.21324965785791073e-12, (8, 1) = 0.1840175293187507e-12, (8, 2) = -0.3051617741071765e-11, (8, 3) = 0.3276052904510415e-10, (8, 4) = -0.5587091276973845e-9, (8, 5) = -0.22691144836758637e-15, (8, 6) = 0.3795277690691722e-15, (8, 7) = 0.30671574592441827e-13, (8, 8) = 0.12204086008782794e-12, (9, 1) = 0.6743286550194704e-13, (9, 2) = -0.9428986147490804e-12, (9, 3) = 0.11562470177915075e-10, (9, 4) = -0.17704266018199307e-9, (9, 5) = -0.2216200252711518e-15, (9, 6) = -0.58363992586117e-16, (9, 7) = 0.3498462136752494e-13, (9, 8) = 0.3398019765934819e-13, (10, 1) = 0.2412280751369823e-13, (10, 2) = -0.7333590390262865e-13, (10, 3) = 0.2839597914365758e-11, (10, 4) = -0.2014080413218097e-10, (10, 5) = -0.2292246062003996e-15, (10, 6) = -0.20777913652004072e-15, (10, 7) = 0.36374571484162684e-13, (10, 8) = -0.2552527100573851e-14, (11, 1) = 0.15106014624804083e-13, (11, 2) = 0.13131502692550342e-12, (11, 3) = 0.7654559078779287e-12, (11, 4) = 0.16941781799909178e-10, (11, 5) = -0.2424456240579254e-15, (11, 6) = -0.19841709849366833e-15, (11, 7) = 0.36376570497542226e-13, (11, 8) = -0.11680232816874435e-13, (12, 1) = 0.17790287686667867e-13, (12, 2) = 0.12729734337023414e-12, (12, 3) = 0.7998575564237202e-12, (12, 4) = 0.16076556309493655e-10, (12, 5) = -0.2522597889119558e-15, (12, 6) = -0.13715256094764069e-15, (12, 7) = 0.3573290789754735e-13, (12, 8) = -0.12057539782971678e-13, (13, 1) = 0.22112145519170306e-13, (13, 2) = 0.8816595896712872e-13, (13, 3) = 0.11645057830149508e-11, (13, 4) = 0.9266510415302792e-11, (13, 5) = -0.25631980299396486e-15, (13, 6) = -0.6229544332293126e-16, (13, 7) = 0.34937722996377065e-13, (13, 8) = -0.1122989693500642e-13, (14, 1) = 0.26409177900879644e-13, (14, 2) = 0.7250198387530906e-13, (14, 3) = 0.13791456236646867e-11, (14, 4) = 0.5152299584456395e-11, (14, 5) = -0.25999040792086374e-15, (14, 6) = 0.11829843684572805e-16, (14, 7) = 0.3436794679118263e-13, (14, 8) = -0.1095548314373621e-13, (15, 1) = 0.2880276279677512e-13, (15, 2) = 0.5975235290905091e-13, (15, 3) = 0.14884503433171194e-11, (15, 4) = 0.2975847927712198e-11, (15, 5) = -0.25476640134982803e-15, (15, 6) = 0.8505528679023333e-16, (15, 7) = 0.33418742963112255e-13, (15, 8) = -0.11143082975400075e-13}, datatype = float[8], order = C_order); if not type(outpoint, 'numeric') then if outpoint = "start" or outpoint = "left" then return X[1] elif outpoint = "right" then return X[15] elif outpoint = "order" then return 8 elif outpoint = "error" then return 0.212753743978285e-6 elif outpoint = "errorproc" then error "this is already the error procedure" elif outpoint = "rawdata" then return [8, 15, [Phi(Y), diff(Phi(Y), Y), Theta(Y), diff(Theta(Y), Y), U(Y), diff(U(Y), Y), W(Y), diff(W(Y), Y)], X, Y] else return ('procname')(x_bvp) end if end if; if outpoint < X[1] or X[15] < outpoint then error "solution is only defined in the range %1..%2", X[1], X[15] end if; V := array([1 = 4, 2 = 0]); if Digits <= trunc(evalhf(Digits)) then L := Vector(4, 'datatype' = 'float'[8]); yout := Vector(8, 'datatype' = 'float'[8]); evalhf(`dsolve/numeric/lagrange`(15, 8, X, Y, outpoint, var(yout), var(L), var(V))) else L := Vector(4, 'datatype' = 'sfloat'); yout := Vector(8, 'datatype' = 'sfloat'); `dsolve/numeric/lagrange`(15, 8, X, Y, outpoint, yout, L, V) end if; [Y = outpoint, seq('[Phi(Y), diff(Phi(Y), Y), Theta(Y), diff(Theta(Y), Y), U(Y), diff(U(Y), Y), W(Y), diff(W(Y), Y)]'[i] = yout[i], i = 1 .. 8)] end proc; if not type(outpoint, 'numeric') then if outpoint = "start" or outpoint = "left" then return X[1] elif outpoint = "method" then return "bvp" elif outpoint = "right" then return X[15] elif outpoint = "order" then return 8 elif outpoint = "error" then return 0.212753743978285e-6 elif outpoint = "errorproc" then return eval(errproc) elif outpoint = "rawdata" then return [8, 15, "depnames", X, Y, YP] else error "non-numeric value" end if end if; if outpoint < X[1] or X[15] < outpoint then error "solution is only defined in the range %1..%2", X[1], X[15] end if; if Digits <= trunc(evalhf(Digits)) and (_EnvInFsolve <> true or _EnvDSNumericSaveDigits <= trunc(evalhf(Digits))) then V := array( 1 .. 6, [( 1 ) = (7), ( 2 ) = (0), ( 3 ) = (false), ( 4 ) = (false), ( 5 ) = (false), ( 6 ) = (false)  ] ); L := Matrix(7, 2, {(1, 1) = .0, (1, 2) = .0, (2, 1) = .0, (2, 2) = .0, (3, 1) = .0, (3, 2) = .0, (4, 1) = .0, (4, 2) = .0, (5, 1) = .0, (5, 2) = .0, (6, 1) = .0, (6, 2) = .0, (7, 1) = .0, (7, 2) = .0}, datatype = float[8], order = C_order); yout := Vector(8, {(1) = .0, (2) = .0, (3) = .0, (4) = .0, (5) = .0, (6) = .0, (7) = .0, (8) = .0}, datatype = float[8]); evalhf(`dsolve/numeric/hermite`(15, 8, X, Y, YP, outpoint, var(yout), var(L), var(V))) else if _EnvInFsolve = true then Digits := _EnvDSNumericSaveDigits end if; V := array( 1 .. 6, [( 1 ) = (7), ( 2 ) = (0), ( 3 ) = (false), ( 4 ) = (false), ( 5 ) = (false), ( 6 ) = (false)  ] ); L := Matrix(7, 2, {(1, 1) = 0., (1, 2) = 0., (2, 1) = 0., (2, 2) = 0., (3, 1) = 0., (3, 2) = 0., (4, 1) = 0., (4, 2) = 0., (5, 1) = 0., (5, 2) = 0., (6, 1) = 0., (6, 2) = 0., (7, 1) = 0., (7, 2) = 0.}, order = C_order); yout := Vector(8, {(1) = 0., (2) = 0., (3) = 0., (4) = 0., (5) = 0., (6) = 0., (7) = 0., (8) = 0.}); `dsolve/numeric/hermite`(15, 8, X, Y, YP, outpoint, yout, L, V) end if; [outpoint, seq(yout[i], i = 1 .. 8)] end proc, (2) = Array(1..9, {(1) = 18446744078241673078, (2) = 18446744078241665110, (3) = 18446744078241665286, (4) = 18446744078241665462, (5) = 18446744078241665638, (6) = 18446744078241665814, (7) = 18446744078241665990, (8) = 18446744078241666166, (9) = 18446744078241666342}), (3) = [Y, Phi(Y), diff(Phi(Y), Y), Theta(Y), diff(Theta(Y), Y), U(Y), diff(U(Y), Y), W(Y), diff(W(Y), Y)], (4) = 0}); solnproc := data[1]; if not type(outpoint, 'numeric') then if outpoint = "solnprocedure" then return eval(solnproc) elif member(outpoint, ["start", "left", "right", "errorproc", "rawdata", "order", "error"]) then return solnproc(Y) elif outpoint = "sysvars" then return data[3] elif procname <> unknown then return ('procname')(Y) else `U(Y)` := pointto(data[2][6]); return ('`U(Y)`')(Y) end if end if; try res := solnproc(outpoint); res[6] catch: error  end try end proc, diff(U(Y), Y) = proc (Y) local res, data, solnproc, `diff(U(Y),Y)`, outpoint; option `Copyright (c) 2000 by Waterloo Maple Inc. All rights reserved.`; _EnvDSNumericSaveDigits := Digits; Digits := 15; if _EnvInFsolve = true then outpoint := evalf[_EnvDSNumericSaveDigits](Y) else outpoint := evalf(Y) end if; data := Array(1..4, {(1) = proc (outpoint) local X, Y, YP, yout, errproc, L, V, i; option `Copyright (c) 2000 by Waterloo Maple Inc. All rights reserved.`; X := Vector(15, {(1) = .0, (2) = 0.6625765054815187e-1, (3) = .13365088476916737, (4) = .2025067106211468, (5) = .2733920872360328, (6) = .34600102942393746, (7) = .4195023200785157, (8) = .49352965253504266, (9) = .5675002893529849, (10) = .6413468189931577, (11) = .7149962970034011, (12) = .7884576498363884, (13) = .8617314835414673, (14) = .9326665595843895, (15) = 1.0}, datatype = float[8], order = C_order); Y := Matrix(15, 8, {(1, 1) = .0, (1, 2) = 2.004222542705587, (1, 3) = 1.145432379428637, (1, 4) = .0, (1, 5) = .0, (1, 6) = -0.17272258635178156e-2, (1, 7) = .16033996489908106, (1, 8) = .0, (2, 1) = .13325635357398097, (2, 2) = 2.0183914909828737, (2, 3) = 1.1369992502297424, (2, 4) = -.21278690169229195, (2, 5) = -0.11458643249256519e-3, (2, 6) = -0.17280869725558336e-2, (2, 7) = .1602339895569687, (2, 8) = -0.3170772559482512e-2, (3, 1) = .26979645427135607, (3, 2) = 2.0337369396414173, (3, 3) = 1.1200848643416874, (3, 4) = -.2761261928396708, (3, 5) = -0.23048469181067245e-3, (3, 6) = -0.17079222831892548e-2, (3, 7) = .1599164444039848, (3, 8) = -0.6225720122935373e-2, (4, 1) = .4103817512795908, (4, 2) = 2.0497686823950283, (4, 3) = 1.100352733813822, (4, 4) = -.29295094735282157, (4, 5) = -0.34677383026418345e-3, (4, 6) = -0.16663784701133992e-2, (4, 7) = .15938471713477276, (4, 8) = -0.9196975528033927e-2, (5, 1) = .5562707040565628, (5, 2) = 2.0664466899302916, (5, 3) = 1.0794616112381539, (5, 4) = -.29518697813207795, (5, 5) = -0.46275025219470745e-3, (5, 6) = -0.1602292185897183e-2, (5, 7) = .15862787787068006, (5, 8) = -0.1214152226099821e-1, (6, 1) = .7069370874730607, (6, 2) = 2.0836488390448777, (6, 3) = 1.0581065035087929, (6, 4) = -.2925913723305364, (6, 5) = -0.5760457424038015e-3, (6, 6) = -0.15147419744465083e-2, (6, 7) = .15763908026596424, (6, 8) = -0.15086941079683126e-1, (7, 1) = .8607310442043654, (7, 2) = 2.1011632691780116, (7, 3) = 1.0367561589087477, (7, 4) = -.2881686121078946, (7, 5) = -0.6834391645413549e-3, (7, 6) = -0.14037166999682773e-2, (7, 7) = .1564214340990443, (7, 8) = -0.18046074845463285e-1, (8, 1) = 1.0169303834723493, (8, 2) = 2.1188970563300034, (8, 3) = 1.015617626656823, (8, 4) = -.2828124265335946, (8, 5) = -0.7825072211253193e-3, (8, 6) = -0.1268934226667303e-2, (8, 7) = .15497454130945054, (8, 8) = -0.21053263396319057e-1, (9, 1) = 1.1743247032961084, (9, 2) = 2.136706661122521, (9, 3) = .9949158985554131, (9, 4) = -.27681798590792756, (9, 5) = -0.8706658845931464e-3, (9, 6) = -0.11106866781843941e-2, (9, 7) = .1533039071611537, (9, 8) = -0.2413344843104163e-1, (10, 1) = 1.3327721992055255, (10, 2) = 2.1545717796216968, (10, 3) = .9747122094730619, (10, 4) = -.27027204159704155, (10, 5) = -0.9461053916685816e-3, (10, 6) = -0.9282975735544524e-3, (10, 7) = .15140457660777887, (10, 8) = -0.2733075897722341e-1, (11, 1) = 1.4921139234932561, (11, 2) = 2.172470816302719, (11, 3) = .9550635669505675, (11, 4) = -.2632127372244341, (11, 5) = -0.10069959873918552e-2, (11, 6) = -0.72085217450302e-3, (11, 7) = .14926923202154121, (11, 8) = -0.30687822362244866e-1, (12, 1) = 1.6523647284417782, (12, 2) = 2.190402050771976, (12, 3) = .9360020272065205, (12, 4) = -.25565659165893645, (12, 5) = -0.10515292816880772e-2, (12, 6) = -0.48692843690077513e-3, (12, 7) = .14688546135122257, (12, 8) = -0.34250365887014016e-1, (13, 1) = 1.8135214323805091, (13, 2) = 2.2083618631403255, (13, 3) = .9175606074617719, (13, 4) = -.2476165947723712, (13, 5) = -0.10777867634017826e-2, (13, 6) = -0.22478960357842387e-3, (13, 7) = .14423781553628534, (13, 8) = -0.38064144270076865e-1, (14, 1) = 1.97079042670578, (14, 2) = 2.2258162305695506, (14, 3) = .9002859274947701, (14, 4) = -.23936324659847988, (14, 5) = -0.10838613761017018e-2, (14, 6) = 0.5856345847748416e-4, (14, 7) = .1413982103030263, (14, 8) = -0.42050005396116155e-1, (15, 1) = 2.1212217611971487, (15, 2) = 2.2424435223942965, (15, 3) = .8844443437386932, (15, 4) = -.2311113125226132, (15, 5) = -0.10700473072859764e-2, (15, 6) = 0.3566824357619921e-3, (15, 7) = .138430834598997, (15, 8) = -0.46143611532999e-1}, datatype = float[8], order = C_order); YP := Matrix(15, 8, {(1, 1) = 2.004222542705587, (1, 2) = .2004222542705587, (1, 3) = .0, (1, 4) = -5.522421115333383, (1, 5) = -0.17272258635178156e-2, (1, 6) = -0.17272258635178157e-3, (1, 7) = .0, (1, 8) = -0.4909968741037465e-1, (2, 1) = 2.0183914909828737, (2, 2) = .22311783926751658, (2, 3) = -.21278690169229195, (2, 4) = -1.651368218408916, (2, 5) = -0.17280869725558336e-2, (2, 6) = 0.14426855869266786e-3, (2, 7) = -0.3170772559482512e-2, (2, 8) = -0.4657283068692703e-1, (3, 1) = 2.0337369396414173, (3, 2) = .2309863132481088, (3, 3) = -.2761261928396708, (3, 4) = -.4616779740893514, (3, 5) = -0.17079222831892548e-2, (3, 6) = 0.4517797839746118e-3, (3, 7) = -0.6225720122935373e-2, (3, 8) = -0.44160214578740725e-1, (4, 1) = 2.0497686823950283, (4, 2) = .234271962974785, (4, 3) = -.29295094735282157, (4, 4) = -0.9857416482619707e-1, (4, 5) = -0.16663784701133992e-2, (4, 6) = 0.7530597057920528e-3, (4, 7) = -0.9196975528033927e-2, (4, 8) = -0.4224762472414676e-1, (5, 1) = 2.0664466899302916, (5, 2) = .23616336680623695, (5, 3) = -.29518697813207795, (5, 4) = 0.13846983807826112e-1, (5, 5) = -0.1602292185897183e-2, (5, 6) = 0.10539230075101026e-2, (5, 7) = -0.1214152226099821e-1, (5, 8) = -0.4094452273490261e-1, (6, 1) = 2.0836488390448777, (6, 2) = .23762402113754144, (6, 3) = -.2925913723305364, (6, 4) = 0.513565611408734e-1, (6, 5) = -0.15147419744465083e-2, (6, 6) = 0.1357219910523662e-2, (6, 7) = -0.15086941079683126e-1, (6, 8) = -0.4030064329216681e-1, (7, 1) = 2.1011632691780116, (7, 2) = .23893318812859063, (7, 3) = -.2881686121078946, (7, 4) = 0.6721981409553378e-1, (7, 5) = -0.14037166999682773e-2, (7, 6) = 0.16642358145495008e-2, (7, 7) = -0.18046074845463285e-1, (7, 8) = -0.4033025603709702e-1, (8, 1) = 2.1188970563300034, (8, 2) = .24017094828635982, (8, 3) = -.2828124265335946, (8, 4) = 0.7698364295394677e-1, (8, 5) = -0.1268934226667303e-2, (8, 6) = 0.19784329169651753e-2, (8, 7) = -0.21053263396319057e-1, (8, 8) = -0.41024221780986345e-1, (9, 1) = 2.136706661122521, (9, 2) = .24135246470304486, (9, 3) = -.27681798590792756, (9, 4) = 0.8493769019887594e-1, (9, 5) = -0.11106866781843941e-2, (9, 6) = 0.2302276175285724e-2, (9, 7) = -0.2413344843104163e-1, (9, 8) = -0.42363570656368546e-1, (10, 1) = 2.1545717796216968, (10, 2) = .24248438212187384, (10, 3) = -.27027204159704155, (10, 4) = 0.9229030797129108e-1, (10, 5) = -0.9282975735544524e-3, (10, 6) = 0.2640246140366896e-2, (10, 7) = -0.2733075897722341e-1, (10, 8) = -0.4433524139523014e-1, (11, 1) = 2.172470816302719, (11, 2) = .24356835535271532, (11, 3) = -.2632127372244341, (11, 4) = 0.9938168719727634e-1, (11, 5) = -0.72085217450302e-3, (11, 6) = 0.2996697018774185e-2, (11, 7) = -0.30687822362244866e-1, (11, 8) = -0.4693381130252536e-1, (12, 1) = 2.190402050771976, (12, 2) = .24460586424309128, (12, 3) = -.25565659165893645, (12, 4) = .10631598066602238, (12, 5) = -0.48692843690077513e-3, (12, 6) = 0.33763437450113243e-2, (12, 7) = -0.34250365887014016e-1, (12, 8) = -0.501648740142954e-1, (13, 1) = 2.2083618631403255, (13, 2) = .2455978457912697, (13, 3) = -.2476165947723712, (13, 4) = .11311424528111304, (13, 5) = -0.22478960357842387e-3, (13, 6) = 0.3783935466649844e-2, (13, 7) = -0.38064144270076865e-1, (13, 8) = -0.54042853787999126e-1, (14, 1) = 2.2258162305695506, (14, 2) = .24651794771680305, (14, 3) = -.23936324659847988, (14, 4) = .11956179285494953, (14, 5) = 0.5856345847748416e-4, (14, 6) = 0.4210856885459364e-2, (14, 7) = -0.42050005396116155e-1, (14, 8) = -0.5844681469018231e-1, (15, 1) = 2.2424435223942965, (15, 2) = .24735548349169098, (15, 3) = -.2311113125226132, (15, 4) = .12551161033764496, (15, 5) = 0.3566824357619921e-3, (15, 6) = 0.46500293968761e-2, (15, 7) = -0.46143611532999e-1, (15, 8) = -0.6324899524697004e-1}, datatype = float[8], order = C_order); errproc := proc (x_bvp) local outpoint, X, Y, yout, L, V, i; option `Copyright (c) 2000 by Waterloo Maple Inc. All rights reserved.`; Digits := 15; outpoint := evalf(x_bvp); X := Vector(15, {(1) = .0, (2) = 0.6625765054815187e-1, (3) = .13365088476916737, (4) = .2025067106211468, (5) = .2733920872360328, (6) = .34600102942393746, (7) = .4195023200785157, (8) = .49352965253504266, (9) = .5675002893529849, (10) = .6413468189931577, (11) = .7149962970034011, (12) = .7884576498363884, (13) = .8617314835414673, (14) = .9326665595843895, (15) = 1.0}, datatype = float[8], order = C_order); Y := Matrix(15, 8, {(1, 1) = .0, (1, 2) = 0.20775270254981955e-13, (1, 3) = 0.18568686756488307e-11, (1, 4) = .0, (1, 5) = .0, (1, 6) = -0.4384292402665714e-15, (1, 7) = 0.3902267783579664e-13, (1, 8) = .0, (2, 1) = 0.6517680044165114e-10, (2, 2) = -0.11742756764696916e-8, (2, 3) = 0.11810010692125702e-7, (2, 4) = -0.21275374397828485e-6, (2, 5) = -0.149614413610872e-13, (2, 6) = 0.26864989330451524e-12, (2, 7) = -0.2666901711571216e-11, (2, 8) = 0.4875204203229508e-10, (3, 1) = 0.3956606607167133e-11, (3, 2) = -0.7120726515274473e-10, (3, 3) = 0.7180978739287518e-9, (3, 4) = -0.12905411888317134e-7, (3, 5) = -0.9596208424334212e-15, (3, 6) = 0.1587924788589625e-13, (3, 7) = -0.12518790923470226e-12, (3, 8) = 0.29551935601438702e-11, (4, 1) = -0.5308108002383149e-11, (4, 2) = 0.9574148146648531e-10, (4, 3) = -0.9606791189331714e-9, (4, 4) = 0.17341810949093313e-7, (4, 5) = 0.11361939261212533e-14, (4, 6) = -0.2236874940791144e-13, (4, 7) = 0.2593583483872206e-12, (4, 8) = -0.3976912561605506e-11, (5, 1) = -0.20926911789541902e-11, (5, 2) = 0.37848184081049324e-10, (5, 3) = -0.37851944099242813e-9, (5, 4) = 0.685239566964045e-8, (5, 5) = 0.3717435876381078e-15, (5, 6) = -0.9085936802532867e-14, (5, 7) = 0.1257670996809488e-12, (5, 8) = -0.1574103923835392e-11, (6, 1) = -0.6508770293007141e-13, (6, 2) = 0.13507855046265599e-11, (6, 3) = -0.11519530110958511e-10, (6, 4) = 0.23965420125846203e-9, (6, 5) = -0.1193074106166734e-15, (6, 6) = -0.6972807700494523e-15, (6, 7) = 0.41379009546405993e-13, (6, 8) = -0.5956866085397204e-13, (7, 1) = 0.3027466034205182e-12, (7, 2) = -0.5232300438029528e-11, (7, 3) = 0.547126727009958e-10, (7, 4) = -0.9539886217856083e-9, (7, 5) = -0.230300779651594e-15, (7, 6) = 0.8412604183563822e-15, (7, 7) = 0.25967226371026243e-13, (7, 8) = 0.21324965785791073e-12, (8, 1) = 0.1840175293187507e-12, (8, 2) = -0.3051617741071765e-11, (8, 3) = 0.3276052904510415e-10, (8, 4) = -0.5587091276973845e-9, (8, 5) = -0.22691144836758637e-15, (8, 6) = 0.3795277690691722e-15, (8, 7) = 0.30671574592441827e-13, (8, 8) = 0.12204086008782794e-12, (9, 1) = 0.6743286550194704e-13, (9, 2) = -0.9428986147490804e-12, (9, 3) = 0.11562470177915075e-10, (9, 4) = -0.17704266018199307e-9, (9, 5) = -0.2216200252711518e-15, (9, 6) = -0.58363992586117e-16, (9, 7) = 0.3498462136752494e-13, (9, 8) = 0.3398019765934819e-13, (10, 1) = 0.2412280751369823e-13, (10, 2) = -0.7333590390262865e-13, (10, 3) = 0.2839597914365758e-11, (10, 4) = -0.2014080413218097e-10, (10, 5) = -0.2292246062003996e-15, (10, 6) = -0.20777913652004072e-15, (10, 7) = 0.36374571484162684e-13, (10, 8) = -0.2552527100573851e-14, (11, 1) = 0.15106014624804083e-13, (11, 2) = 0.13131502692550342e-12, (11, 3) = 0.7654559078779287e-12, (11, 4) = 0.16941781799909178e-10, (11, 5) = -0.2424456240579254e-15, (11, 6) = -0.19841709849366833e-15, (11, 7) = 0.36376570497542226e-13, (11, 8) = -0.11680232816874435e-13, (12, 1) = 0.17790287686667867e-13, (12, 2) = 0.12729734337023414e-12, (12, 3) = 0.7998575564237202e-12, (12, 4) = 0.16076556309493655e-10, (12, 5) = -0.2522597889119558e-15, (12, 6) = -0.13715256094764069e-15, (12, 7) = 0.3573290789754735e-13, (12, 8) = -0.12057539782971678e-13, (13, 1) = 0.22112145519170306e-13, (13, 2) = 0.8816595896712872e-13, (13, 3) = 0.11645057830149508e-11, (13, 4) = 0.9266510415302792e-11, (13, 5) = -0.25631980299396486e-15, (13, 6) = -0.6229544332293126e-16, (13, 7) = 0.34937722996377065e-13, (13, 8) = -0.1122989693500642e-13, (14, 1) = 0.26409177900879644e-13, (14, 2) = 0.7250198387530906e-13, (14, 3) = 0.13791456236646867e-11, (14, 4) = 0.5152299584456395e-11, (14, 5) = -0.25999040792086374e-15, (14, 6) = 0.11829843684572805e-16, (14, 7) = 0.3436794679118263e-13, (14, 8) = -0.1095548314373621e-13, (15, 1) = 0.2880276279677512e-13, (15, 2) = 0.5975235290905091e-13, (15, 3) = 0.14884503433171194e-11, (15, 4) = 0.2975847927712198e-11, (15, 5) = -0.25476640134982803e-15, (15, 6) = 0.8505528679023333e-16, (15, 7) = 0.33418742963112255e-13, (15, 8) = -0.11143082975400075e-13}, datatype = float[8], order = C_order); if not type(outpoint, 'numeric') then if outpoint = "start" or outpoint = "left" then return X[1] elif outpoint = "right" then return X[15] elif outpoint = "order" then return 8 elif outpoint = "error" then return 0.212753743978285e-6 elif outpoint = "errorproc" then error "this is already the error procedure" elif outpoint = "rawdata" then return [8, 15, [Phi(Y), diff(Phi(Y), Y), Theta(Y), diff(Theta(Y), Y), U(Y), diff(U(Y), Y), W(Y), diff(W(Y), Y)], X, Y] else return ('procname')(x_bvp) end if end if; if outpoint < X[1] or X[15] < outpoint then error "solution is only defined in the range %1..%2", X[1], X[15] end if; V := array([1 = 4, 2 = 0]); if Digits <= trunc(evalhf(Digits)) then L := Vector(4, 'datatype' = 'float'[8]); yout := Vector(8, 'datatype' = 'float'[8]); evalhf(`dsolve/numeric/lagrange`(15, 8, X, Y, outpoint, var(yout), var(L), var(V))) else L := Vector(4, 'datatype' = 'sfloat'); yout := Vector(8, 'datatype' = 'sfloat'); `dsolve/numeric/lagrange`(15, 8, X, Y, outpoint, yout, L, V) end if; [Y = outpoint, seq('[Phi(Y), diff(Phi(Y), Y), Theta(Y), diff(Theta(Y), Y), U(Y), diff(U(Y), Y), W(Y), diff(W(Y), Y)]'[i] = yout[i], i = 1 .. 8)] end proc; if not type(outpoint, 'numeric') then if outpoint = "start" or outpoint = "left" then return X[1] elif outpoint = "method" then return "bvp" elif outpoint = "right" then return X[15] elif outpoint = "order" then return 8 elif outpoint = "error" then return 0.212753743978285e-6 elif outpoint = "errorproc" then return eval(errproc) elif outpoint = "rawdata" then return [8, 15, "depnames", X, Y, YP] else error "non-numeric value" end if end if; if outpoint < X[1] or X[15] < outpoint then error "solution is only defined in the range %1..%2", X[1], X[15] end if; if Digits <= trunc(evalhf(Digits)) and (_EnvInFsolve <> true or _EnvDSNumericSaveDigits <= trunc(evalhf(Digits))) then V := array( 1 .. 6, [( 1 ) = (7), ( 2 ) = (0), ( 3 ) = (false), ( 4 ) = (false), ( 5 ) = (false), ( 6 ) = (false)  ] ); L := Matrix(7, 2, {(1, 1) = .0, (1, 2) = .0, (2, 1) = .0, (2, 2) = .0, (3, 1) = .0, (3, 2) = .0, (4, 1) = .0, (4, 2) = .0, (5, 1) = .0, (5, 2) = .0, (6, 1) = .0, (6, 2) = .0, (7, 1) = .0, (7, 2) = .0}, datatype = float[8], order = C_order); yout := Vector(8, {(1) = .0, (2) = .0, (3) = .0, (4) = .0, (5) = .0, (6) = .0, (7) = .0, (8) = .0}, datatype = float[8]); evalhf(`dsolve/numeric/hermite`(15, 8, X, Y, YP, outpoint, var(yout), var(L), var(V))) else if _EnvInFsolve = true then Digits := _EnvDSNumericSaveDigits end if; V := array( 1 .. 6, [( 1 ) = (7), ( 2 ) = (0), ( 3 ) = (false), ( 4 ) = (false), ( 5 ) = (false), ( 6 ) = (false)  ] ); L := Matrix(7, 2, {(1, 1) = 0., (1, 2) = 0., (2, 1) = 0., (2, 2) = 0., (3, 1) = 0., (3, 2) = 0., (4, 1) = 0., (4, 2) = 0., (5, 1) = 0., (5, 2) = 0., (6, 1) = 0., (6, 2) = 0., (7, 1) = 0., (7, 2) = 0.}, order = C_order); yout := Vector(8, {(1) = 0., (2) = 0., (3) = 0., (4) = 0., (5) = 0., (6) = 0., (7) = 0., (8) = 0.}); `dsolve/numeric/hermite`(15, 8, X, Y, YP, outpoint, yout, L, V) end if; [outpoint, seq(yout[i], i = 1 .. 8)] end proc, (2) = Array(1..9, {(1) = 18446744078241673078, (2) = 18446744078241665110, (3) = 18446744078241665286, (4) = 18446744078241665462, (5) = 18446744078241665638, (6) = 18446744078241665814, (7) = 18446744078241665990, (8) = 18446744078241666166, (9) = 18446744078241666342}), (3) = [Y, Phi(Y), diff(Phi(Y), Y), Theta(Y), diff(Theta(Y), Y), U(Y), diff(U(Y), Y), W(Y), diff(W(Y), Y)], (4) = 0}); solnproc := data[1]; if not type(outpoint, 'numeric') then if outpoint = "solnprocedure" then return eval(solnproc) elif member(outpoint, ["start", "left", "right", "errorproc", "rawdata", "order", "error"]) then return solnproc(Y) elif outpoint = "sysvars" then return data[3] elif procname <> unknown then return ('procname')(Y) else `diff(U(Y),Y)` := pointto(data[2][7]); return ('`diff(U(Y),Y)`')(Y) end if end if; try res := solnproc(outpoint); res[7] catch: error  end try end proc, W(Y) = proc (Y) local res, data, solnproc, `W(Y)`, outpoint; option `Copyright (c) 2000 by Waterloo Maple Inc. All rights reserved.`; _EnvDSNumericSaveDigits := Digits; Digits := 15; if _EnvInFsolve = true then outpoint := evalf[_EnvDSNumericSaveDigits](Y) else outpoint := evalf(Y) end if; data := Array(1..4, {(1) = proc (outpoint) local X, Y, YP, yout, errproc, L, V, i; option `Copyright (c) 2000 by Waterloo Maple Inc. All rights reserved.`; X := Vector(15, {(1) = .0, (2) = 0.6625765054815187e-1, (3) = .13365088476916737, (4) = .2025067106211468, (5) = .2733920872360328, (6) = .34600102942393746, (7) = .4195023200785157, (8) = .49352965253504266, (9) = .5675002893529849, (10) = .6413468189931577, (11) = .7149962970034011, (12) = .7884576498363884, (13) = .8617314835414673, (14) = .9326665595843895, (15) = 1.0}, datatype = float[8], order = C_order); Y := Matrix(15, 8, {(1, 1) = .0, (1, 2) = 2.004222542705587, (1, 3) = 1.145432379428637, (1, 4) = .0, (1, 5) = .0, (1, 6) = -0.17272258635178156e-2, (1, 7) = .16033996489908106, (1, 8) = .0, (2, 1) = .13325635357398097, (2, 2) = 2.0183914909828737, (2, 3) = 1.1369992502297424, (2, 4) = -.21278690169229195, (2, 5) = -0.11458643249256519e-3, (2, 6) = -0.17280869725558336e-2, (2, 7) = .1602339895569687, (2, 8) = -0.3170772559482512e-2, (3, 1) = .26979645427135607, (3, 2) = 2.0337369396414173, (3, 3) = 1.1200848643416874, (3, 4) = -.2761261928396708, (3, 5) = -0.23048469181067245e-3, (3, 6) = -0.17079222831892548e-2, (3, 7) = .1599164444039848, (3, 8) = -0.6225720122935373e-2, (4, 1) = .4103817512795908, (4, 2) = 2.0497686823950283, (4, 3) = 1.100352733813822, (4, 4) = -.29295094735282157, (4, 5) = -0.34677383026418345e-3, (4, 6) = -0.16663784701133992e-2, (4, 7) = .15938471713477276, (4, 8) = -0.9196975528033927e-2, (5, 1) = .5562707040565628, (5, 2) = 2.0664466899302916, (5, 3) = 1.0794616112381539, (5, 4) = -.29518697813207795, (5, 5) = -0.46275025219470745e-3, (5, 6) = -0.1602292185897183e-2, (5, 7) = .15862787787068006, (5, 8) = -0.1214152226099821e-1, (6, 1) = .7069370874730607, (6, 2) = 2.0836488390448777, (6, 3) = 1.0581065035087929, (6, 4) = -.2925913723305364, (6, 5) = -0.5760457424038015e-3, (6, 6) = -0.15147419744465083e-2, (6, 7) = .15763908026596424, (6, 8) = -0.15086941079683126e-1, (7, 1) = .8607310442043654, (7, 2) = 2.1011632691780116, (7, 3) = 1.0367561589087477, (7, 4) = -.2881686121078946, (7, 5) = -0.6834391645413549e-3, (7, 6) = -0.14037166999682773e-2, (7, 7) = .1564214340990443, (7, 8) = -0.18046074845463285e-1, (8, 1) = 1.0169303834723493, (8, 2) = 2.1188970563300034, (8, 3) = 1.015617626656823, (8, 4) = -.2828124265335946, (8, 5) = -0.7825072211253193e-3, (8, 6) = -0.1268934226667303e-2, (8, 7) = .15497454130945054, (8, 8) = -0.21053263396319057e-1, (9, 1) = 1.1743247032961084, (9, 2) = 2.136706661122521, (9, 3) = .9949158985554131, (9, 4) = -.27681798590792756, (9, 5) = -0.8706658845931464e-3, (9, 6) = -0.11106866781843941e-2, (9, 7) = .1533039071611537, (9, 8) = -0.2413344843104163e-1, (10, 1) = 1.3327721992055255, (10, 2) = 2.1545717796216968, (10, 3) = .9747122094730619, (10, 4) = -.27027204159704155, (10, 5) = -0.9461053916685816e-3, (10, 6) = -0.9282975735544524e-3, (10, 7) = .15140457660777887, (10, 8) = -0.2733075897722341e-1, (11, 1) = 1.4921139234932561, (11, 2) = 2.172470816302719, (11, 3) = .9550635669505675, (11, 4) = -.2632127372244341, (11, 5) = -0.10069959873918552e-2, (11, 6) = -0.72085217450302e-3, (11, 7) = .14926923202154121, (11, 8) = -0.30687822362244866e-1, (12, 1) = 1.6523647284417782, (12, 2) = 2.190402050771976, (12, 3) = .9360020272065205, (12, 4) = -.25565659165893645, (12, 5) = -0.10515292816880772e-2, (12, 6) = -0.48692843690077513e-3, (12, 7) = .14688546135122257, (12, 8) = -0.34250365887014016e-1, (13, 1) = 1.8135214323805091, (13, 2) = 2.2083618631403255, (13, 3) = .9175606074617719, (13, 4) = -.2476165947723712, (13, 5) = -0.10777867634017826e-2, (13, 6) = -0.22478960357842387e-3, (13, 7) = .14423781553628534, (13, 8) = -0.38064144270076865e-1, (14, 1) = 1.97079042670578, (14, 2) = 2.2258162305695506, (14, 3) = .9002859274947701, (14, 4) = -.23936324659847988, (14, 5) = -0.10838613761017018e-2, (14, 6) = 0.5856345847748416e-4, (14, 7) = .1413982103030263, (14, 8) = -0.42050005396116155e-1, (15, 1) = 2.1212217611971487, (15, 2) = 2.2424435223942965, (15, 3) = .8844443437386932, (15, 4) = -.2311113125226132, (15, 5) = -0.10700473072859764e-2, (15, 6) = 0.3566824357619921e-3, (15, 7) = .138430834598997, (15, 8) = -0.46143611532999e-1}, datatype = float[8], order = C_order); YP := Matrix(15, 8, {(1, 1) = 2.004222542705587, (1, 2) = .2004222542705587, (1, 3) = .0, (1, 4) = -5.522421115333383, (1, 5) = -0.17272258635178156e-2, (1, 6) = -0.17272258635178157e-3, (1, 7) = .0, (1, 8) = -0.4909968741037465e-1, (2, 1) = 2.0183914909828737, (2, 2) = .22311783926751658, (2, 3) = -.21278690169229195, (2, 4) = -1.651368218408916, (2, 5) = -0.17280869725558336e-2, (2, 6) = 0.14426855869266786e-3, (2, 7) = -0.3170772559482512e-2, (2, 8) = -0.4657283068692703e-1, (3, 1) = 2.0337369396414173, (3, 2) = .2309863132481088, (3, 3) = -.2761261928396708, (3, 4) = -.4616779740893514, (3, 5) = -0.17079222831892548e-2, (3, 6) = 0.4517797839746118e-3, (3, 7) = -0.6225720122935373e-2, (3, 8) = -0.44160214578740725e-1, (4, 1) = 2.0497686823950283, (4, 2) = .234271962974785, (4, 3) = -.29295094735282157, (4, 4) = -0.9857416482619707e-1, (4, 5) = -0.16663784701133992e-2, (4, 6) = 0.7530597057920528e-3, (4, 7) = -0.9196975528033927e-2, (4, 8) = -0.4224762472414676e-1, (5, 1) = 2.0664466899302916, (5, 2) = .23616336680623695, (5, 3) = -.29518697813207795, (5, 4) = 0.13846983807826112e-1, (5, 5) = -0.1602292185897183e-2, (5, 6) = 0.10539230075101026e-2, (5, 7) = -0.1214152226099821e-1, (5, 8) = -0.4094452273490261e-1, (6, 1) = 2.0836488390448777, (6, 2) = .23762402113754144, (6, 3) = -.2925913723305364, (6, 4) = 0.513565611408734e-1, (6, 5) = -0.15147419744465083e-2, (6, 6) = 0.1357219910523662e-2, (6, 7) = -0.15086941079683126e-1, (6, 8) = -0.4030064329216681e-1, (7, 1) = 2.1011632691780116, (7, 2) = .23893318812859063, (7, 3) = -.2881686121078946, (7, 4) = 0.6721981409553378e-1, (7, 5) = -0.14037166999682773e-2, (7, 6) = 0.16642358145495008e-2, (7, 7) = -0.18046074845463285e-1, (7, 8) = -0.4033025603709702e-1, (8, 1) = 2.1188970563300034, (8, 2) = .24017094828635982, (8, 3) = -.2828124265335946, (8, 4) = 0.7698364295394677e-1, (8, 5) = -0.1268934226667303e-2, (8, 6) = 0.19784329169651753e-2, (8, 7) = -0.21053263396319057e-1, (8, 8) = -0.41024221780986345e-1, (9, 1) = 2.136706661122521, (9, 2) = .24135246470304486, (9, 3) = -.27681798590792756, (9, 4) = 0.8493769019887594e-1, (9, 5) = -0.11106866781843941e-2, (9, 6) = 0.2302276175285724e-2, (9, 7) = -0.2413344843104163e-1, (9, 8) = -0.42363570656368546e-1, (10, 1) = 2.1545717796216968, (10, 2) = .24248438212187384, (10, 3) = -.27027204159704155, (10, 4) = 0.9229030797129108e-1, (10, 5) = -0.9282975735544524e-3, (10, 6) = 0.2640246140366896e-2, (10, 7) = -0.2733075897722341e-1, (10, 8) = -0.4433524139523014e-1, (11, 1) = 2.172470816302719, (11, 2) = .24356835535271532, (11, 3) = -.2632127372244341, (11, 4) = 0.9938168719727634e-1, (11, 5) = -0.72085217450302e-3, (11, 6) = 0.2996697018774185e-2, (11, 7) = -0.30687822362244866e-1, (11, 8) = -0.4693381130252536e-1, (12, 1) = 2.190402050771976, (12, 2) = .24460586424309128, (12, 3) = -.25565659165893645, (12, 4) = .10631598066602238, (12, 5) = -0.48692843690077513e-3, (12, 6) = 0.33763437450113243e-2, (12, 7) = -0.34250365887014016e-1, (12, 8) = -0.501648740142954e-1, (13, 1) = 2.2083618631403255, (13, 2) = .2455978457912697, (13, 3) = -.2476165947723712, (13, 4) = .11311424528111304, (13, 5) = -0.22478960357842387e-3, (13, 6) = 0.3783935466649844e-2, (13, 7) = -0.38064144270076865e-1, (13, 8) = -0.54042853787999126e-1, (14, 1) = 2.2258162305695506, (14, 2) = .24651794771680305, (14, 3) = -.23936324659847988, (14, 4) = .11956179285494953, (14, 5) = 0.5856345847748416e-4, (14, 6) = 0.4210856885459364e-2, (14, 7) = -0.42050005396116155e-1, (14, 8) = -0.5844681469018231e-1, (15, 1) = 2.2424435223942965, (15, 2) = .24735548349169098, (15, 3) = -.2311113125226132, (15, 4) = .12551161033764496, (15, 5) = 0.3566824357619921e-3, (15, 6) = 0.46500293968761e-2, (15, 7) = -0.46143611532999e-1, (15, 8) = -0.6324899524697004e-1}, datatype = float[8], order = C_order); errproc := proc (x_bvp) local outpoint, X, Y, yout, L, V, i; option `Copyright (c) 2000 by Waterloo Maple Inc. All rights reserved.`; Digits := 15; outpoint := evalf(x_bvp); X := Vector(15, {(1) = .0, (2) = 0.6625765054815187e-1, (3) = .13365088476916737, (4) = .2025067106211468, (5) = .2733920872360328, (6) = .34600102942393746, (7) = .4195023200785157, (8) = .49352965253504266, (9) = .5675002893529849, (10) = .6413468189931577, (11) = .7149962970034011, (12) = .7884576498363884, (13) = .8617314835414673, (14) = .9326665595843895, (15) = 1.0}, datatype = float[8], order = C_order); Y := Matrix(15, 8, {(1, 1) = .0, (1, 2) = 0.20775270254981955e-13, (1, 3) = 0.18568686756488307e-11, (1, 4) = .0, (1, 5) = .0, (1, 6) = -0.4384292402665714e-15, (1, 7) = 0.3902267783579664e-13, (1, 8) = .0, (2, 1) = 0.6517680044165114e-10, (2, 2) = -0.11742756764696916e-8, (2, 3) = 0.11810010692125702e-7, (2, 4) = -0.21275374397828485e-6, (2, 5) = -0.149614413610872e-13, (2, 6) = 0.26864989330451524e-12, (2, 7) = -0.2666901711571216e-11, (2, 8) = 0.4875204203229508e-10, (3, 1) = 0.3956606607167133e-11, (3, 2) = -0.7120726515274473e-10, (3, 3) = 0.7180978739287518e-9, (3, 4) = -0.12905411888317134e-7, (3, 5) = -0.9596208424334212e-15, (3, 6) = 0.1587924788589625e-13, (3, 7) = -0.12518790923470226e-12, (3, 8) = 0.29551935601438702e-11, (4, 1) = -0.5308108002383149e-11, (4, 2) = 0.9574148146648531e-10, (4, 3) = -0.9606791189331714e-9, (4, 4) = 0.17341810949093313e-7, (4, 5) = 0.11361939261212533e-14, (4, 6) = -0.2236874940791144e-13, (4, 7) = 0.2593583483872206e-12, (4, 8) = -0.3976912561605506e-11, (5, 1) = -0.20926911789541902e-11, (5, 2) = 0.37848184081049324e-10, (5, 3) = -0.37851944099242813e-9, (5, 4) = 0.685239566964045e-8, (5, 5) = 0.3717435876381078e-15, (5, 6) = -0.9085936802532867e-14, (5, 7) = 0.1257670996809488e-12, (5, 8) = -0.1574103923835392e-11, (6, 1) = -0.6508770293007141e-13, (6, 2) = 0.13507855046265599e-11, (6, 3) = -0.11519530110958511e-10, (6, 4) = 0.23965420125846203e-9, (6, 5) = -0.1193074106166734e-15, (6, 6) = -0.6972807700494523e-15, (6, 7) = 0.41379009546405993e-13, (6, 8) = -0.5956866085397204e-13, (7, 1) = 0.3027466034205182e-12, (7, 2) = -0.5232300438029528e-11, (7, 3) = 0.547126727009958e-10, (7, 4) = -0.9539886217856083e-9, (7, 5) = -0.230300779651594e-15, (7, 6) = 0.8412604183563822e-15, (7, 7) = 0.25967226371026243e-13, (7, 8) = 0.21324965785791073e-12, (8, 1) = 0.1840175293187507e-12, (8, 2) = -0.3051617741071765e-11, (8, 3) = 0.3276052904510415e-10, (8, 4) = -0.5587091276973845e-9, (8, 5) = -0.22691144836758637e-15, (8, 6) = 0.3795277690691722e-15, (8, 7) = 0.30671574592441827e-13, (8, 8) = 0.12204086008782794e-12, (9, 1) = 0.6743286550194704e-13, (9, 2) = -0.9428986147490804e-12, (9, 3) = 0.11562470177915075e-10, (9, 4) = -0.17704266018199307e-9, (9, 5) = -0.2216200252711518e-15, (9, 6) = -0.58363992586117e-16, (9, 7) = 0.3498462136752494e-13, (9, 8) = 0.3398019765934819e-13, (10, 1) = 0.2412280751369823e-13, (10, 2) = -0.7333590390262865e-13, (10, 3) = 0.2839597914365758e-11, (10, 4) = -0.2014080413218097e-10, (10, 5) = -0.2292246062003996e-15, (10, 6) = -0.20777913652004072e-15, (10, 7) = 0.36374571484162684e-13, (10, 8) = -0.2552527100573851e-14, (11, 1) = 0.15106014624804083e-13, (11, 2) = 0.13131502692550342e-12, (11, 3) = 0.7654559078779287e-12, (11, 4) = 0.16941781799909178e-10, (11, 5) = -0.2424456240579254e-15, (11, 6) = -0.19841709849366833e-15, (11, 7) = 0.36376570497542226e-13, (11, 8) = -0.11680232816874435e-13, (12, 1) = 0.17790287686667867e-13, (12, 2) = 0.12729734337023414e-12, (12, 3) = 0.7998575564237202e-12, (12, 4) = 0.16076556309493655e-10, (12, 5) = -0.2522597889119558e-15, (12, 6) = -0.13715256094764069e-15, (12, 7) = 0.3573290789754735e-13, (12, 8) = -0.12057539782971678e-13, (13, 1) = 0.22112145519170306e-13, (13, 2) = 0.8816595896712872e-13, (13, 3) = 0.11645057830149508e-11, (13, 4) = 0.9266510415302792e-11, (13, 5) = -0.25631980299396486e-15, (13, 6) = -0.6229544332293126e-16, (13, 7) = 0.34937722996377065e-13, (13, 8) = -0.1122989693500642e-13, (14, 1) = 0.26409177900879644e-13, (14, 2) = 0.7250198387530906e-13, (14, 3) = 0.13791456236646867e-11, (14, 4) = 0.5152299584456395e-11, (14, 5) = -0.25999040792086374e-15, (14, 6) = 0.11829843684572805e-16, (14, 7) = 0.3436794679118263e-13, (14, 8) = -0.1095548314373621e-13, (15, 1) = 0.2880276279677512e-13, (15, 2) = 0.5975235290905091e-13, (15, 3) = 0.14884503433171194e-11, (15, 4) = 0.2975847927712198e-11, (15, 5) = -0.25476640134982803e-15, (15, 6) = 0.8505528679023333e-16, (15, 7) = 0.33418742963112255e-13, (15, 8) = -0.11143082975400075e-13}, datatype = float[8], order = C_order); if not type(outpoint, 'numeric') then if outpoint = "start" or outpoint = "left" then return X[1] elif outpoint = "right" then return X[15] elif outpoint = "order" then return 8 elif outpoint = "error" then return 0.212753743978285e-6 elif outpoint = "errorproc" then error "this is already the error procedure" elif outpoint = "rawdata" then return [8, 15, [Phi(Y), diff(Phi(Y), Y), Theta(Y), diff(Theta(Y), Y), U(Y), diff(U(Y), Y), W(Y), diff(W(Y), Y)], X, Y] else return ('procname')(x_bvp) end if end if; if outpoint < X[1] or X[15] < outpoint then error "solution is only defined in the range %1..%2", X[1], X[15] end if; V := array([1 = 4, 2 = 0]); if Digits <= trunc(evalhf(Digits)) then L := Vector(4, 'datatype' = 'float'[8]); yout := Vector(8, 'datatype' = 'float'[8]); evalhf(`dsolve/numeric/lagrange`(15, 8, X, Y, outpoint, var(yout), var(L), var(V))) else L := Vector(4, 'datatype' = 'sfloat'); yout := Vector(8, 'datatype' = 'sfloat'); `dsolve/numeric/lagrange`(15, 8, X, Y, outpoint, yout, L, V) end if; [Y = outpoint, seq('[Phi(Y), diff(Phi(Y), Y), Theta(Y), diff(Theta(Y), Y), U(Y), diff(U(Y), Y), W(Y), diff(W(Y), Y)]'[i] = yout[i], i = 1 .. 8)] end proc; if not type(outpoint, 'numeric') then if outpoint = "start" or outpoint = "left" then return X[1] elif outpoint = "method" then return "bvp" elif outpoint = "right" then return X[15] elif outpoint = "order" then return 8 elif outpoint = "error" then return 0.212753743978285e-6 elif outpoint = "errorproc" then return eval(errproc) elif outpoint = "rawdata" then return [8, 15, "depnames", X, Y, YP] else error "non-numeric value" end if end if; if outpoint < X[1] or X[15] < outpoint then error "solution is only defined in the range %1..%2", X[1], X[15] end if; if Digits <= trunc(evalhf(Digits)) and (_EnvInFsolve <> true or _EnvDSNumericSaveDigits <= trunc(evalhf(Digits))) then V := array( 1 .. 6, [( 1 ) = (7), ( 2 ) = (0), ( 3 ) = (false), ( 4 ) = (false), ( 5 ) = (false), ( 6 ) = (false)  ] ); L := Matrix(7, 2, {(1, 1) = .0, (1, 2) = .0, (2, 1) = .0, (2, 2) = .0, (3, 1) = .0, (3, 2) = .0, (4, 1) = .0, (4, 2) = .0, (5, 1) = .0, (5, 2) = .0, (6, 1) = .0, (6, 2) = .0, (7, 1) = .0, (7, 2) = .0}, datatype = float[8], order = C_order); yout := Vector(8, {(1) = .0, (2) = .0, (3) = .0, (4) = .0, (5) = .0, (6) = .0, (7) = .0, (8) = .0}, datatype = float[8]); evalhf(`dsolve/numeric/hermite`(15, 8, X, Y, YP, outpoint, var(yout), var(L), var(V))) else if _EnvInFsolve = true then Digits := _EnvDSNumericSaveDigits end if; V := array( 1 .. 6, [( 1 ) = (7), ( 2 ) = (0), ( 3 ) = (false), ( 4 ) = (false), ( 5 ) = (false), ( 6 ) = (false)  ] ); L := Matrix(7, 2, {(1, 1) = 0., (1, 2) = 0., (2, 1) = 0., (2, 2) = 0., (3, 1) = 0., (3, 2) = 0., (4, 1) = 0., (4, 2) = 0., (5, 1) = 0., (5, 2) = 0., (6, 1) = 0., (6, 2) = 0., (7, 1) = 0., (7, 2) = 0.}, order = C_order); yout := Vector(8, {(1) = 0., (2) = 0., (3) = 0., (4) = 0., (5) = 0., (6) = 0., (7) = 0., (8) = 0.}); `dsolve/numeric/hermite`(15, 8, X, Y, YP, outpoint, yout, L, V) end if; [outpoint, seq(yout[i], i = 1 .. 8)] end proc, (2) = Array(1..9, {(1) = 18446744078241673078, (2) = 18446744078241665110, (3) = 18446744078241665286, (4) = 18446744078241665462, (5) = 18446744078241665638, (6) = 18446744078241665814, (7) = 18446744078241665990, (8) = 18446744078241666166, (9) = 18446744078241666342}), (3) = [Y, Phi(Y), diff(Phi(Y), Y), Theta(Y), diff(Theta(Y), Y), U(Y), diff(U(Y), Y), W(Y), diff(W(Y), Y)], (4) = 0}); solnproc := data[1]; if not type(outpoint, 'numeric') then if outpoint = "solnprocedure" then return eval(solnproc) elif member(outpoint, ["start", "left", "right", "errorproc", "rawdata", "order", "error"]) then return solnproc(Y) elif outpoint = "sysvars" then return data[3] elif procname <> unknown then return ('procname')(Y) else `W(Y)` := pointto(data[2][8]); return ('`W(Y)`')(Y) end if end if; try res := solnproc(outpoint); res[8] catch: error  end try end proc, diff(W(Y), Y) = proc (Y) local res, data, solnproc, `diff(W(Y),Y)`, outpoint; option `Copyright (c) 2000 by Waterloo Maple Inc. All rights reserved.`; _EnvDSNumericSaveDigits := Digits; Digits := 15; if _EnvInFsolve = true then outpoint := evalf[_EnvDSNumericSaveDigits](Y) else outpoint := evalf(Y) end if; data := Array(1..4, {(1) = proc (outpoint) local X, Y, YP, yout, errproc, L, V, i; option `Copyright (c) 2000 by Waterloo Maple Inc. All rights reserved.`; X := Vector(15, {(1) = .0, (2) = 0.6625765054815187e-1, (3) = .13365088476916737, (4) = .2025067106211468, (5) = .2733920872360328, (6) = .34600102942393746, (7) = .4195023200785157, (8) = .49352965253504266, (9) = .5675002893529849, (10) = .6413468189931577, (11) = .7149962970034011, (12) = .7884576498363884, (13) = .8617314835414673, (14) = .9326665595843895, (15) = 1.0}, datatype = float[8], order = C_order); Y := Matrix(15, 8, {(1, 1) = .0, (1, 2) = 2.004222542705587, (1, 3) = 1.145432379428637, (1, 4) = .0, (1, 5) = .0, (1, 6) = -0.17272258635178156e-2, (1, 7) = .16033996489908106, (1, 8) = .0, (2, 1) = .13325635357398097, (2, 2) = 2.0183914909828737, (2, 3) = 1.1369992502297424, (2, 4) = -.21278690169229195, (2, 5) = -0.11458643249256519e-3, (2, 6) = -0.17280869725558336e-2, (2, 7) = .1602339895569687, (2, 8) = -0.3170772559482512e-2, (3, 1) = .26979645427135607, (3, 2) = 2.0337369396414173, (3, 3) = 1.1200848643416874, (3, 4) = -.2761261928396708, (3, 5) = -0.23048469181067245e-3, (3, 6) = -0.17079222831892548e-2, (3, 7) = .1599164444039848, (3, 8) = -0.6225720122935373e-2, (4, 1) = .4103817512795908, (4, 2) = 2.0497686823950283, (4, 3) = 1.100352733813822, (4, 4) = -.29295094735282157, (4, 5) = -0.34677383026418345e-3, (4, 6) = -0.16663784701133992e-2, (4, 7) = .15938471713477276, (4, 8) = -0.9196975528033927e-2, (5, 1) = .5562707040565628, (5, 2) = 2.0664466899302916, (5, 3) = 1.0794616112381539, (5, 4) = -.29518697813207795, (5, 5) = -0.46275025219470745e-3, (5, 6) = -0.1602292185897183e-2, (5, 7) = .15862787787068006, (5, 8) = -0.1214152226099821e-1, (6, 1) = .7069370874730607, (6, 2) = 2.0836488390448777, (6, 3) = 1.0581065035087929, (6, 4) = -.2925913723305364, (6, 5) = -0.5760457424038015e-3, (6, 6) = -0.15147419744465083e-2, (6, 7) = .15763908026596424, (6, 8) = -0.15086941079683126e-1, (7, 1) = .8607310442043654, (7, 2) = 2.1011632691780116, (7, 3) = 1.0367561589087477, (7, 4) = -.2881686121078946, (7, 5) = -0.6834391645413549e-3, (7, 6) = -0.14037166999682773e-2, (7, 7) = .1564214340990443, (7, 8) = -0.18046074845463285e-1, (8, 1) = 1.0169303834723493, (8, 2) = 2.1188970563300034, (8, 3) = 1.015617626656823, (8, 4) = -.2828124265335946, (8, 5) = -0.7825072211253193e-3, (8, 6) = -0.1268934226667303e-2, (8, 7) = .15497454130945054, (8, 8) = -0.21053263396319057e-1, (9, 1) = 1.1743247032961084, (9, 2) = 2.136706661122521, (9, 3) = .9949158985554131, (9, 4) = -.27681798590792756, (9, 5) = -0.8706658845931464e-3, (9, 6) = -0.11106866781843941e-2, (9, 7) = .1533039071611537, (9, 8) = -0.2413344843104163e-1, (10, 1) = 1.3327721992055255, (10, 2) = 2.1545717796216968, (10, 3) = .9747122094730619, (10, 4) = -.27027204159704155, (10, 5) = -0.9461053916685816e-3, (10, 6) = -0.9282975735544524e-3, (10, 7) = .15140457660777887, (10, 8) = -0.2733075897722341e-1, (11, 1) = 1.4921139234932561, (11, 2) = 2.172470816302719, (11, 3) = .9550635669505675, (11, 4) = -.2632127372244341, (11, 5) = -0.10069959873918552e-2, (11, 6) = -0.72085217450302e-3, (11, 7) = .14926923202154121, (11, 8) = -0.30687822362244866e-1, (12, 1) = 1.6523647284417782, (12, 2) = 2.190402050771976, (12, 3) = .9360020272065205, (12, 4) = -.25565659165893645, (12, 5) = -0.10515292816880772e-2, (12, 6) = -0.48692843690077513e-3, (12, 7) = .14688546135122257, (12, 8) = -0.34250365887014016e-1, (13, 1) = 1.8135214323805091, (13, 2) = 2.2083618631403255, (13, 3) = .9175606074617719, (13, 4) = -.2476165947723712, (13, 5) = -0.10777867634017826e-2, (13, 6) = -0.22478960357842387e-3, (13, 7) = .14423781553628534, (13, 8) = -0.38064144270076865e-1, (14, 1) = 1.97079042670578, (14, 2) = 2.2258162305695506, (14, 3) = .9002859274947701, (14, 4) = -.23936324659847988, (14, 5) = -0.10838613761017018e-2, (14, 6) = 0.5856345847748416e-4, (14, 7) = .1413982103030263, (14, 8) = -0.42050005396116155e-1, (15, 1) = 2.1212217611971487, (15, 2) = 2.2424435223942965, (15, 3) = .8844443437386932, (15, 4) = -.2311113125226132, (15, 5) = -0.10700473072859764e-2, (15, 6) = 0.3566824357619921e-3, (15, 7) = .138430834598997, (15, 8) = -0.46143611532999e-1}, datatype = float[8], order = C_order); YP := Matrix(15, 8, {(1, 1) = 2.004222542705587, (1, 2) = .2004222542705587, (1, 3) = .0, (1, 4) = -5.522421115333383, (1, 5) = -0.17272258635178156e-2, (1, 6) = -0.17272258635178157e-3, (1, 7) = .0, (1, 8) = -0.4909968741037465e-1, (2, 1) = 2.0183914909828737, (2, 2) = .22311783926751658, (2, 3) = -.21278690169229195, (2, 4) = -1.651368218408916, (2, 5) = -0.17280869725558336e-2, (2, 6) = 0.14426855869266786e-3, (2, 7) = -0.3170772559482512e-2, (2, 8) = -0.4657283068692703e-1, (3, 1) = 2.0337369396414173, (3, 2) = .2309863132481088, (3, 3) = -.2761261928396708, (3, 4) = -.4616779740893514, (3, 5) = -0.17079222831892548e-2, (3, 6) = 0.4517797839746118e-3, (3, 7) = -0.6225720122935373e-2, (3, 8) = -0.44160214578740725e-1, (4, 1) = 2.0497686823950283, (4, 2) = .234271962974785, (4, 3) = -.29295094735282157, (4, 4) = -0.9857416482619707e-1, (4, 5) = -0.16663784701133992e-2, (4, 6) = 0.7530597057920528e-3, (4, 7) = -0.9196975528033927e-2, (4, 8) = -0.4224762472414676e-1, (5, 1) = 2.0664466899302916, (5, 2) = .23616336680623695, (5, 3) = -.29518697813207795, (5, 4) = 0.13846983807826112e-1, (5, 5) = -0.1602292185897183e-2, (5, 6) = 0.10539230075101026e-2, (5, 7) = -0.1214152226099821e-1, (5, 8) = -0.4094452273490261e-1, (6, 1) = 2.0836488390448777, (6, 2) = .23762402113754144, (6, 3) = -.2925913723305364, (6, 4) = 0.513565611408734e-1, (6, 5) = -0.15147419744465083e-2, (6, 6) = 0.1357219910523662e-2, (6, 7) = -0.15086941079683126e-1, (6, 8) = -0.4030064329216681e-1, (7, 1) = 2.1011632691780116, (7, 2) = .23893318812859063, (7, 3) = -.2881686121078946, (7, 4) = 0.6721981409553378e-1, (7, 5) = -0.14037166999682773e-2, (7, 6) = 0.16642358145495008e-2, (7, 7) = -0.18046074845463285e-1, (7, 8) = -0.4033025603709702e-1, (8, 1) = 2.1188970563300034, (8, 2) = .24017094828635982, (8, 3) = -.2828124265335946, (8, 4) = 0.7698364295394677e-1, (8, 5) = -0.1268934226667303e-2, (8, 6) = 0.19784329169651753e-2, (8, 7) = -0.21053263396319057e-1, (8, 8) = -0.41024221780986345e-1, (9, 1) = 2.136706661122521, (9, 2) = .24135246470304486, (9, 3) = -.27681798590792756, (9, 4) = 0.8493769019887594e-1, (9, 5) = -0.11106866781843941e-2, (9, 6) = 0.2302276175285724e-2, (9, 7) = -0.2413344843104163e-1, (9, 8) = -0.42363570656368546e-1, (10, 1) = 2.1545717796216968, (10, 2) = .24248438212187384, (10, 3) = -.27027204159704155, (10, 4) = 0.9229030797129108e-1, (10, 5) = -0.9282975735544524e-3, (10, 6) = 0.2640246140366896e-2, (10, 7) = -0.2733075897722341e-1, (10, 8) = -0.4433524139523014e-1, (11, 1) = 2.172470816302719, (11, 2) = .24356835535271532, (11, 3) = -.2632127372244341, (11, 4) = 0.9938168719727634e-1, (11, 5) = -0.72085217450302e-3, (11, 6) = 0.2996697018774185e-2, (11, 7) = -0.30687822362244866e-1, (11, 8) = -0.4693381130252536e-1, (12, 1) = 2.190402050771976, (12, 2) = .24460586424309128, (12, 3) = -.25565659165893645, (12, 4) = .10631598066602238, (12, 5) = -0.48692843690077513e-3, (12, 6) = 0.33763437450113243e-2, (12, 7) = -0.34250365887014016e-1, (12, 8) = -0.501648740142954e-1, (13, 1) = 2.2083618631403255, (13, 2) = .2455978457912697, (13, 3) = -.2476165947723712, (13, 4) = .11311424528111304, (13, 5) = -0.22478960357842387e-3, (13, 6) = 0.3783935466649844e-2, (13, 7) = -0.38064144270076865e-1, (13, 8) = -0.54042853787999126e-1, (14, 1) = 2.2258162305695506, (14, 2) = .24651794771680305, (14, 3) = -.23936324659847988, (14, 4) = .11956179285494953, (14, 5) = 0.5856345847748416e-4, (14, 6) = 0.4210856885459364e-2, (14, 7) = -0.42050005396116155e-1, (14, 8) = -0.5844681469018231e-1, (15, 1) = 2.2424435223942965, (15, 2) = .24735548349169098, (15, 3) = -.2311113125226132, (15, 4) = .12551161033764496, (15, 5) = 0.3566824357619921e-3, (15, 6) = 0.46500293968761e-2, (15, 7) = -0.46143611532999e-1, (15, 8) = -0.6324899524697004e-1}, datatype = float[8], order = C_order); errproc := proc (x_bvp) local outpoint, X, Y, yout, L, V, i; option `Copyright (c) 2000 by Waterloo Maple Inc. All rights reserved.`; Digits := 15; outpoint := evalf(x_bvp); X := Vector(15, {(1) = .0, (2) = 0.6625765054815187e-1, (3) = .13365088476916737, (4) = .2025067106211468, (5) = .2733920872360328, (6) = .34600102942393746, (7) = .4195023200785157, (8) = .49352965253504266, (9) = .5675002893529849, (10) = .6413468189931577, (11) = .7149962970034011, (12) = .7884576498363884, (13) = .8617314835414673, (14) = .9326665595843895, (15) = 1.0}, datatype = float[8], order = C_order); Y := Matrix(15, 8, {(1, 1) = .0, (1, 2) = 0.20775270254981955e-13, (1, 3) = 0.18568686756488307e-11, (1, 4) = .0, (1, 5) = .0, (1, 6) = -0.4384292402665714e-15, (1, 7) = 0.3902267783579664e-13, (1, 8) = .0, (2, 1) = 0.6517680044165114e-10, (2, 2) = -0.11742756764696916e-8, (2, 3) = 0.11810010692125702e-7, (2, 4) = -0.21275374397828485e-6, (2, 5) = -0.149614413610872e-13, (2, 6) = 0.26864989330451524e-12, (2, 7) = -0.2666901711571216e-11, (2, 8) = 0.4875204203229508e-10, (3, 1) = 0.3956606607167133e-11, (3, 2) = -0.7120726515274473e-10, (3, 3) = 0.7180978739287518e-9, (3, 4) = -0.12905411888317134e-7, (3, 5) = -0.9596208424334212e-15, (3, 6) = 0.1587924788589625e-13, (3, 7) = -0.12518790923470226e-12, (3, 8) = 0.29551935601438702e-11, (4, 1) = -0.5308108002383149e-11, (4, 2) = 0.9574148146648531e-10, (4, 3) = -0.9606791189331714e-9, (4, 4) = 0.17341810949093313e-7, (4, 5) = 0.11361939261212533e-14, (4, 6) = -0.2236874940791144e-13, (4, 7) = 0.2593583483872206e-12, (4, 8) = -0.3976912561605506e-11, (5, 1) = -0.20926911789541902e-11, (5, 2) = 0.37848184081049324e-10, (5, 3) = -0.37851944099242813e-9, (5, 4) = 0.685239566964045e-8, (5, 5) = 0.3717435876381078e-15, (5, 6) = -0.9085936802532867e-14, (5, 7) = 0.1257670996809488e-12, (5, 8) = -0.1574103923835392e-11, (6, 1) = -0.6508770293007141e-13, (6, 2) = 0.13507855046265599e-11, (6, 3) = -0.11519530110958511e-10, (6, 4) = 0.23965420125846203e-9, (6, 5) = -0.1193074106166734e-15, (6, 6) = -0.6972807700494523e-15, (6, 7) = 0.41379009546405993e-13, (6, 8) = -0.5956866085397204e-13, (7, 1) = 0.3027466034205182e-12, (7, 2) = -0.5232300438029528e-11, (7, 3) = 0.547126727009958e-10, (7, 4) = -0.9539886217856083e-9, (7, 5) = -0.230300779651594e-15, (7, 6) = 0.8412604183563822e-15, (7, 7) = 0.25967226371026243e-13, (7, 8) = 0.21324965785791073e-12, (8, 1) = 0.1840175293187507e-12, (8, 2) = -0.3051617741071765e-11, (8, 3) = 0.3276052904510415e-10, (8, 4) = -0.5587091276973845e-9, (8, 5) = -0.22691144836758637e-15, (8, 6) = 0.3795277690691722e-15, (8, 7) = 0.30671574592441827e-13, (8, 8) = 0.12204086008782794e-12, (9, 1) = 0.6743286550194704e-13, (9, 2) = -0.9428986147490804e-12, (9, 3) = 0.11562470177915075e-10, (9, 4) = -0.17704266018199307e-9, (9, 5) = -0.2216200252711518e-15, (9, 6) = -0.58363992586117e-16, (9, 7) = 0.3498462136752494e-13, (9, 8) = 0.3398019765934819e-13, (10, 1) = 0.2412280751369823e-13, (10, 2) = -0.7333590390262865e-13, (10, 3) = 0.2839597914365758e-11, (10, 4) = -0.2014080413218097e-10, (10, 5) = -0.2292246062003996e-15, (10, 6) = -0.20777913652004072e-15, (10, 7) = 0.36374571484162684e-13, (10, 8) = -0.2552527100573851e-14, (11, 1) = 0.15106014624804083e-13, (11, 2) = 0.13131502692550342e-12, (11, 3) = 0.7654559078779287e-12, (11, 4) = 0.16941781799909178e-10, (11, 5) = -0.2424456240579254e-15, (11, 6) = -0.19841709849366833e-15, (11, 7) = 0.36376570497542226e-13, (11, 8) = -0.11680232816874435e-13, (12, 1) = 0.17790287686667867e-13, (12, 2) = 0.12729734337023414e-12, (12, 3) = 0.7998575564237202e-12, (12, 4) = 0.16076556309493655e-10, (12, 5) = -0.2522597889119558e-15, (12, 6) = -0.13715256094764069e-15, (12, 7) = 0.3573290789754735e-13, (12, 8) = -0.12057539782971678e-13, (13, 1) = 0.22112145519170306e-13, (13, 2) = 0.8816595896712872e-13, (13, 3) = 0.11645057830149508e-11, (13, 4) = 0.9266510415302792e-11, (13, 5) = -0.25631980299396486e-15, (13, 6) = -0.6229544332293126e-16, (13, 7) = 0.34937722996377065e-13, (13, 8) = -0.1122989693500642e-13, (14, 1) = 0.26409177900879644e-13, (14, 2) = 0.7250198387530906e-13, (14, 3) = 0.13791456236646867e-11, (14, 4) = 0.5152299584456395e-11, (14, 5) = -0.25999040792086374e-15, (14, 6) = 0.11829843684572805e-16, (14, 7) = 0.3436794679118263e-13, (14, 8) = -0.1095548314373621e-13, (15, 1) = 0.2880276279677512e-13, (15, 2) = 0.5975235290905091e-13, (15, 3) = 0.14884503433171194e-11, (15, 4) = 0.2975847927712198e-11, (15, 5) = -0.25476640134982803e-15, (15, 6) = 0.8505528679023333e-16, (15, 7) = 0.33418742963112255e-13, (15, 8) = -0.11143082975400075e-13}, datatype = float[8], order = C_order); if not type(outpoint, 'numeric') then if outpoint = "start" or outpoint = "left" then return X[1] elif outpoint = "right" then return X[15] elif outpoint = "order" then return 8 elif outpoint = "error" then return 0.212753743978285e-6 elif outpoint = "errorproc" then error "this is already the error procedure" elif outpoint = "rawdata" then return [8, 15, [Phi(Y), diff(Phi(Y), Y), Theta(Y), diff(Theta(Y), Y), U(Y), diff(U(Y), Y), W(Y), diff(W(Y), Y)], X, Y] else return ('procname')(x_bvp) end if end if; if outpoint < X[1] or X[15] < outpoint then error "solution is only defined in the range %1..%2", X[1], X[15] end if; V := array([1 = 4, 2 = 0]); if Digits <= trunc(evalhf(Digits)) then L := Vector(4, 'datatype' = 'float'[8]); yout := Vector(8, 'datatype' = 'float'[8]); evalhf(`dsolve/numeric/lagrange`(15, 8, X, Y, outpoint, var(yout), var(L), var(V))) else L := Vector(4, 'datatype' = 'sfloat'); yout := Vector(8, 'datatype' = 'sfloat'); `dsolve/numeric/lagrange`(15, 8, X, Y, outpoint, yout, L, V) end if; [Y = outpoint, seq('[Phi(Y), diff(Phi(Y), Y), Theta(Y), diff(Theta(Y), Y), U(Y), diff(U(Y), Y), W(Y), diff(W(Y), Y)]'[i] = yout[i], i = 1 .. 8)] end proc; if not type(outpoint, 'numeric') then if outpoint = "start" or outpoint = "left" then return X[1] elif outpoint = "method" then return "bvp" elif outpoint = "right" then return X[15] elif outpoint = "order" then return 8 elif outpoint = "error" then return 0.212753743978285e-6 elif outpoint = "errorproc" then return eval(errproc) elif outpoint = "rawdata" then return [8, 15, "depnames", X, Y, YP] else error "non-numeric value" end if end if; if outpoint < X[1] or X[15] < outpoint then error "solution is only defined in the range %1..%2", X[1], X[15] end if; if Digits <= trunc(evalhf(Digits)) and (_EnvInFsolve <> true or _EnvDSNumericSaveDigits <= trunc(evalhf(Digits))) then V := array( 1 .. 6, [( 1 ) = (7), ( 2 ) = (0), ( 3 ) = (false), ( 4 ) = (false), ( 5 ) = (false), ( 6 ) = (false)  ] ); L := Matrix(7, 2, {(1, 1) = .0, (1, 2) = .0, (2, 1) = .0, (2, 2) = .0, (3, 1) = .0, (3, 2) = .0, (4, 1) = .0, (4, 2) = .0, (5, 1) = .0, (5, 2) = .0, (6, 1) = .0, (6, 2) = .0, (7, 1) = .0, (7, 2) = .0}, datatype = float[8], order = C_order); yout := Vector(8, {(1) = .0, (2) = .0, (3) = .0, (4) = .0, (5) = .0, (6) = .0, (7) = .0, (8) = .0}, datatype = float[8]); evalhf(`dsolve/numeric/hermite`(15, 8, X, Y, YP, outpoint, var(yout), var(L), var(V))) else if _EnvInFsolve = true then Digits := _EnvDSNumericSaveDigits end if; V := array( 1 .. 6, [( 1 ) = (7), ( 2 ) = (0), ( 3 ) = (false), ( 4 ) = (false), ( 5 ) = (false), ( 6 ) = (false)  ] ); L := Matrix(7, 2, {(1, 1) = 0., (1, 2) = 0., (2, 1) = 0., (2, 2) = 0., (3, 1) = 0., (3, 2) = 0., (4, 1) = 0., (4, 2) = 0., (5, 1) = 0., (5, 2) = 0., (6, 1) = 0., (6, 2) = 0., (7, 1) = 0., (7, 2) = 0.}, order = C_order); yout := Vector(8, {(1) = 0., (2) = 0., (3) = 0., (4) = 0., (5) = 0., (6) = 0., (7) = 0., (8) = 0.}); `dsolve/numeric/hermite`(15, 8, X, Y, YP, outpoint, yout, L, V) end if; [outpoint, seq(yout[i], i = 1 .. 8)] end proc, (2) = Array(1..9, {(1) = 18446744078241673078, (2) = 18446744078241665110, (3) = 18446744078241665286, (4) = 18446744078241665462, (5) = 18446744078241665638, (6) = 18446744078241665814, (7) = 18446744078241665990, (8) = 18446744078241666166, (9) = 18446744078241666342}), (3) = [Y, Phi(Y), diff(Phi(Y), Y), Theta(Y), diff(Theta(Y), Y), U(Y), diff(U(Y), Y), W(Y), diff(W(Y), Y)], (4) = 0}); solnproc := data[1]; if not type(outpoint, 'numeric') then if outpoint = "solnprocedure" then return eval(solnproc) elif member(outpoint, ["start", "left", "right", "errorproc", "rawdata", "order", "error"]) then return solnproc(Y) elif outpoint = "sysvars" then return data[3] elif procname <> unknown then return ('procname')(Y) else `diff(W(Y),Y)` := pointto(data[2][9]); return ('`diff(W(Y),Y)`')(Y) end if end if; try res := solnproc(outpoint); res[9] catch: error  end try end proc]

(16)

 


Full code is here:

Download Worksheet_1D.mw

Two methods are given:

  1. "By hand", which is trivial for problem 1 and needs a little more attention for problem 2 (the 2 body problem).
  2. With Maple package Tolerances.
    But I guess that what you are asking for is to prove you can do it yourself? So consider the use of this package as a verification of what you did by hand, or as a tool to solve easily more complex problems you could face.

In addition a more general method based on Taylor expansion is given forthe 2 body problem.

restart


A SOLUTION BY HAND

local I:

I

 

Warning, The imaginary unit, I, has been renamed _I

 

m := (R-delta__R)*(I-delta__I)^2*(t-delta__t);
M := (R+delta__R)*(I+delta__I)^2*(t+delta__t);

(R-delta__R)*(I-delta__I)^2*(t-delta__t)

 

(R+delta__R)*(I+delta__I)^2*(t+delta__t)

(1)

Q__min := eval(m, [R=1.5, delta__R=0.5, I=2.5, delta__I=0.05, t=10, delta__t=0.5]);
Q__max := eval(M, [R=1.5, delta__R=0.5, I=2.5, delta__I=0.05, t=10, delta__t=0.5])

57.023750

 

136.552500

(2)

Q__mean := (Q__max+Q__min)/2;
Q__dev  := (Q__max-Q__min)/2;

rel_dev := evalf[2](Q__dev/Q__mean)

96.78812500

 

39.76437500

 

.41

(3)

restart


A READY MADE SOLUTION

with(Tolerances):

local I:

I

 

Warning, The imaginary unit, I, has been renamed _I

 

R := 1.5 &+- 0.5:
I := 2.5 &+- 0.05:
t := 10 &+- 0.5:

Q := R*I^2*t

INTERVAL(57.023750 .. 136.552500)

(4)

Q__mean := NominalValue(Q);
Q__dev  := ToleranceValue(Q);
rel_dev := evalf[2](Q__dev/Q__mean)

96.78812500

 

39.76437500

 

.40

(5)

restart


THE 2 BODY PROBLEM BY HAND

Remark: the relativae deviation CANNOT be negative!!!

F := (y, M, m, R) -> y*M*m/R^2

proc (y, M, m, R) options operator, arrow; Tolerances:-`*`(Tolerances:-`*`(Tolerances:-`*`(y, M), m), Tolerances:-`^`(Tolerances:-`^`(R, 2), -1)) end proc

(6)

F__min := F(y, 7-0.05, 2-0.02, 5+0.05);
F__max := F(y, 7+0.05, 2+0.02, 5-0.05);

.5395941575*y

 

.5812059993*y

(7)

F__mean := (F__max+F__min)/2;
F__dev  := (F__max-F__min)/2;

rel_dev := evalf[2](F__dev/F__mean)

.5604000785*y

 

0.2080592090e-1*y

 

0.38e-1

(8)


AND WITH PACKAGE Tolerances

restart

with(Tolerances):

M := 7 &+- 0.05:
m := 2 &+- 0.02:
R := 5 &+- 0.05:

`F/y` := M*m/R^2

INTERVAL(.5395941574 .. .5812059994)

(9)

F__mean := NominalValue(`F/y`);
F__dev  := ToleranceValue(`F/y`);

rel_dev := evalf[2](F__dev/F__mean)

.5604000784

 

0.2080592100e-1

 

0.38e-1

(10)

restart


THE 2 BODY PROBLEM  THROUGH TAYLOR EXPANSION

A more general approach for more general problems.

F := y*M*m/R^2:

F__Tayl := mtaylor(F, [M=7, m=2, R=5], 2)

(14/25)*y-(28/125)*y*(R-5)+(2/25)*y*(M-7)+(7/25)*y*(m-2)

(11)

eval(F__Tayl, [M=7+delta__M, m=2+delta__m, R=5+delta__R]):

f := unapply(%, [delta__M, delta__m, delta__R])

proc (delta__M, delta__m, delta__R) options operator, arrow; (14/25)*y-(28/125)*y*delta__R+(2/25)*y*delta__M+(7/25)*y*delta__m end proc

(12)

signs := (signum@diff)~(F, [M, m,R]) assuming M > 0, m > 0, R > 0, y > 0

[1, 1, -1]

(13)

devs   := [0.05, 0.02, 0.05];
F__max := f(op(devs*~signs));
F__min := f(op(devs*~(-~signs)))

[0.5e-1, 0.2e-1, 0.5e-1]

 

.5808000000*y

 

.5392000000*y

(14)

F__mean := (F__max+F__min)/2;
F__dev  := (F__max-F__min)/2;

rel_dev := evalf[2](F__dev/F__mean)

.5600000000*y

 

0.208000000e-1*y

 

0.38e-1

(15)

 

Download Tolerances.mw

To conclude, here is a piece of code aimed to return the upper and lower formal bounds of an arbitrary function F.
Once got you just have to evaluate these bounds with ad hoc nominal valus (mu) and absolute deviations (delta) and compute what you want (the nominal value of F and its total or relative deviation).
You will see that the upper and lower bounds depend upon the order of the Taylor expansion.
MinMaxValues.mw
For example 1 the highest non nul derivative is diff(diff(diff(Q, t), R), I$2) and thus pushing the Taylor expansion further the order 1+1+2=4 is useless.
This is not the case for example 2.

Last but not least, you can use de Units package to get the unit of the absolute deviation and nominal value. Here is an illustration for your first example.
Example1_ByHand_WithUnits.mw


Using a series expansion of the rhs term independent of f(t) gets a formal solution in terms wrt t and V.
This could be more interesting than sweeping the V range to explore how the solution behaves:
 

restart

U := .21*.2894606222-.21*(1.158611162/((1+0.4836862955e-1*t)*(1/(1+0.4836862955e-1*t))^.1986136226));
plot(U, t=0..40)

0.6078673066e-1-.2433083440/((1+0.4836862955e-1*t)*(1/(1+0.4836862955e-1*t))^.1986136226)

 

 

S := convert(series(0.6078673066e-1-.2433083440/((1+0.4836862955e-1*t)*(1/(1+0.4836862955e-1*t))^.1986136226), t=20), polynom);
plot([U, S], t=0..40, color=[blue, red]);

ic := f(0) = .21:

series_sol := evalf(rhs(dsolve({diff(f(t), t) = (S-.2894606222*f(t))/V, ic})));

-.1364183032+0.2787143910e-2*t-0.6171822648e-4*(t-20)^2+0.1416910313e-5*(t-20)^3-0.3310560659e-7*(t-20)^4+0.7815834730e-9*(t-20)^5

 

 

-0.5505125971e-4*V^2*t^2+0.6445207283e-6*V^2*t^3+0.1779155470e-2*V^2*t-0.6679879876e-5*V^3*t^2+0.3803713216e-3*V^3*t+0.4615397994e-4*V^4*t-0.2574977247e-3*V*t^2+0.5311723963e-5*V*t^3-0.4664084276e-7*V*t^4+0.6891556497e-2*V*t-0.2380826948e-1*V^2-0.6146450790e-2*V^3-0.1314069315e-2*V^4-0.1594482165e-3*V^5-0.9974171157e-3*t^2+0.2484515053e-4*t^3-0.3843837308e-6*t^4+0.2700137473e-8*t^5-.1031277518*V+0.2985142320e-1*t-.6226713640+exp(-.2894606222*t/V)*(.8326713640+0.2380826948e-1*V^2+0.6146450790e-2*V^3+0.1314069315e-2*V^4+0.1594482165e-3*V^5+.1031277518*V)

(1)

num_sol := dsolve({diff(f(t), t) = eval((U-.2894606222*f(t))/V, V=2), ic}, numeric):

use plots in
  display(
    plot(eval(series_sol, V=2), t=0..40, color=red),
    odeplot(num_sol, [t, f(t)], t=0..40, color=blue)
  )
end use;

 

plot3d(series_sol, t=0..40, V=0..4, style=surface, orientation=[-53, 62, 14], shading=zhue)

 

 


 

Download WithSeriesExpansion.mw

It all depends what you mean by "strip (=rectangle) packing.
For the a priori simpler case of square packing look here https://en.wikipedia.org/wiki/Square_packing_in_a_square.
Let A lthe side length of the square to pack and a the side length of the packing square: there are no general theoritical results for arbitrary (A, a) values, the number of paxking squares is to be found using ad hoc optimization strategies.

of course if you forbid rotations of the packing square the result is trivial (n=floor((A/a)^2)).

For rectangle packing of a rectangle the things grow in complexity (see "Packing identical rectangles in a rectangle" here https://en.wikipedia.org/wiki/Rectangle_packing#:~:text=Rectangle%20packing%20is%20a%20packing,this%20problem%20have%20been%20studied).

More ressources can be found here https://www.ime.usp.br/~egbirgin/packing/ and in the references herein. In particular http://lobato.it/packing/.

If you forbid rotations of the packing rectangles then, if I'm not mistaken, this piece of code gives you the solution:

  • inputs
    • X and Y are side lengths of the rectangle to pack
    • x and are side lengths of the packing strip
  • outputs
    • a list of the form [[n1, n2], n] where:
      • n1 and n2 are the numbers of strips depending on their orientations in the (X, Y) rectangle
      • n is the max of n1 and n2
        This number is a lower bound of the number you are looking for.
        For instance the L-Algorithm for data (49,28,8,3) (http://lobato.it/packing/) gives 57 strips as f(49, 28, 8, 3) = 54.

restart:

f := proc(X, Y, x, y)
  local n1, n2:
  n1 := floor(X/x)*floor(Y/y)+floor(max((Y-y*floor(Y/y))/x, 0)):
  n2 := floor(Y/x)*floor(X/y)+floor(max((X-y*floor(X/y))/x, 0)):
  return [[n1, n2], max(n1, n2)]
end proc:

f(10, 10, 1, 8)

[[12, 12], 12]

(1)

f(10, 9, 1, 8)

[[11, 11], 11]

(2)

f(10, 7, 3, 3)

[[6, 6], 6]

(3)

f(10, 7, 3, 2)

[[9, 10], 10]

(4)

 

Download RectanglePacking.mw

In case you would be interested by disk and sphere packing, here is an amazing site http://www.packomania.com/.

First 21 22 23 24 25 26 27 Last Page 23 of 65