mmcdara

7896 Reputation

22 Badges

9 years, 245 days

MaplePrimes Activity


These are answers submitted by mmcdara

Here are a few ways among many

restart

# This

t := cat~(x, {$1..10});

# or this ?

t := cat~(x, [$1..10]);

{x1, x10, x2, x3, x4, x5, x6, x7, x8, x9}

 

[x1, x2, x3, x4, x5, x6, x7, x8, x9, x10]

(1)

# Depending on the form:

t := cat~(y, {$1..10});
t := cat~(y, [$1..10]);

{y1, y10, y2, y3, y4, y5, y6, y7, y8, y9}

 

[y1, y2, y3, y4, y5, y6, y7, y8, y9, y10]

(2)

# Replace only the first 5 terms
t := cat~(x, {$1..10});
t := cat~(y, {$1..5}) union cat~(x, {$6..10});
print(cat("-"$100));

# or

t := cat~(x, [$1..10]);
t := [ cat~(y, [$1..5])[], cat~(x, [$6..10])[] ];
# or

{x1, x10, x2, x3, x4, x5, x6, x7, x8, x9}

 

{x10, x6, x7, x8, x9, y1, y2, y3, y4, y5}

 

"----------------------------------------------------------------------------------------------------"

 

[x1, x2, x3, x4, x5, x6, x7, x8, x9, x10]

 

[y1, y2, y3, y4, y5, x6, x7, x8, x9, x10]

(3)

# How to replace, let's say, terms x1, x4, x6, x10?

t := cat~(x, [$1..10]);
r := [1, 4, 6, 10];
t := subsop(seq(i=cat(y, i), i in r), t)

[x1, x2, x3, x4, x5, x6, x7, x8, x9, x10]

 

[1, 4, 6, 10]

 

[y1, x2, x3, y4, x5, y6, x7, x8, x9, y10]

(4)

# If t has this more general form

t := [xxx, xa2, xxx6, gnu, gnat12, __Z24, xxx1];


pattern := proc(symb, pat, rep)
  # symb = symbol to check
  # pat  = pattern to replace
  # rep  = replacement name
  local s := convert(symb, string);
  local n:
  if length(s) > length(pat) then
    if StringTools:-Search(pat, s)=1 then
      n := StringTools:-StringSplit(s, pat)[2]:
      if parse(n)::numeric then
        return symb=cat(rep, n)
      end if:
    end if:
  end if:
end proc:

eval(t, pattern~(t, "xxx", world))

[xxx, xa2, xxx6, gnu, gnat12, __Z24, xxx1]

 

[xxx, xa2, world6, gnu, gnat12, __Z24, world1]

(5)

 

Download A_few_ways.mw

aa := alpha[1]*(cos(theta(x, y, t))^4*dudx^2+2*cos(theta(x, y, t))^3*dudx*sin(theta(x, y, t))*dvdx+2*cos(theta(x, y, t))^3*dudx*sin(theta(x, y, t))*dudy+2*cos(theta(x, y, t))^2*dudx*sin(theta(x, y, t))^2*dvdy+cos(theta(x, y, t))^2*sin(theta(x, y, t))^2*dvdx^2+2*cos(theta(x, y, t))^2*sin(theta(x, y, t))^2*dvdx*dudy+2*cos(theta(x, y, t))*sin(theta(x, y, t))^3*dvdx*dvdy+cos(theta(x, y, t))^2*sin(theta(x, y, t))^2*dudy^2+2*cos(theta(x, y, t))*sin(theta(x, y, t))^3*dudy*dvdy+sin(theta(x, y, t))^4*dvdy^2)+(alpha[2]+alpha[3]+gamma[2])*(-dudx*cos(theta(x, y, t))*sin(theta(x, y, t))*thetadot-(1/2)*dudx*cos(theta(x, y, t))*sin(theta(x, y, t))*dudy+(1/2)*dudx*cos(theta(x, y, t))*sin(theta(x, y, t))*dvdx+(1/2)*cos(theta(x, y, t))^2*dvdx*thetadot-(1/4)*cos(theta(x, y, t))^2*dvdx^2+(1/2)*cos(theta(x, y, t))^2*dudy*thetadot+(1/4)*cos(theta(x, y, t))^2*dudy^2-(1/2)*sin(theta(x, y, t))^2*dvdx*thetadot+(1/4)*sin(theta(x, y, t))^2*dvdx^2-(1/2)*sin(theta(x, y, t))^2*dudy*thetadot-(1/4)*sin(theta(x, y, t))^2*dudy^2+dvdy*sin(theta(x, y, t))*cos(theta(x, y, t))*thetadot-(1/2)*dvdy*sin(theta(x, y, t))*cos(theta(x, y, t))*dvdx+(1/2)*dvdy*sin(theta(x, y, t))*cos(theta(x, y, t))*dudy)+alpha[4]*(dudx^2+(1/2)*dvdx^2+dvdx*dudy+(1/2)*dudy^2+dvdy^2)+(alpha[5]+alpha[6])*(cos(theta(x, y, t))^2*dudx^2+2*cos(theta(x, y, t))*dudx*((1/2)*dvdx+(1/2)*dudy)*sin(theta(x, y, t))+cos(theta(x, y, t))^2*((1/2)*dvdx+(1/2)*dudy)^2+2*cos(theta(x, y, t))*((1/2)*dvdx+(1/2)*dudy)*dvdy*sin(theta(x, y, t))+sin(theta(x, y, t))^2*((1/2)*dvdx+(1/2)*dudy)^2+sin(theta(x, y, t))^2*dvdy^2)+gamma[1]*(sin(theta(x, y, t))^2*thetadot^2+sin(theta(x, y, t))^2*dudy*thetadot-sin(theta(x, y, t))^2*dvdx*thetadot+(1/4)*sin(theta(x, y, t))^2*dudy^2-(1/2)*sin(theta(x, y, t))^2*dudy*dvdx+(1/4)*sin(theta(x, y, t))^2*dvdx^2+cos(theta(x, y, t))^2*thetadot^2-cos(theta(x, y, t))^2*dvdx*thetadot+cos(theta(x, y, t))^2*dudy*thetadot+(1/4)*cos(theta(x, y, t))^2*dvdx^2-(1/2)*cos(theta(x, y, t))^2*dudy*dvdx+(1/4)*cos(theta(x, y, t))^2*dudy^2)+xi*(cos(theta(x, y, t))^2*dudx+2*cos(theta(x, y, t))*sin(theta(x, y, t))*((1/2)*dvdx+(1/2)*dudy)+sin(theta(x, y, t))^2*dvdy):
 

cuy := coeff(aa, dudy^2)

alpha[1]*cos(theta(x, y, t))^2*sin(theta(x, y, t))^2+(alpha[2]+alpha[3]+gamma[2])*((1/4)*cos(theta(x, y, t))^2-(1/4)*sin(theta(x, y, t))^2)+(1/2)*alpha[4]+(alpha[5]+alpha[6])*((1/4)*cos(theta(x, y, t))^2+(1/4)*sin(theta(x, y, t))^2)+gamma[1]*((1/4)*cos(theta(x, y, t))^2+(1/4)*sin(theta(x, y, t))^2)

(1)

cvx := coeff(aa, dvdx^2)

alpha[1]*cos(theta(x, y, t))^2*sin(theta(x, y, t))^2+(alpha[2]+alpha[3]+gamma[2])*(-(1/4)*cos(theta(x, y, t))^2+(1/4)*sin(theta(x, y, t))^2)+(1/2)*alpha[4]+(alpha[5]+alpha[6])*((1/4)*cos(theta(x, y, t))^2+(1/4)*sin(theta(x, y, t))^2)+gamma[1]*((1/4)*cos(theta(x, y, t))^2+(1/4)*sin(theta(x, y, t))^2)

(2)

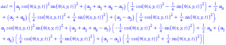
aa1 := eval([cuy, cvx], {gamma[1] = alpha[3]-alpha[2], gamma[2] = alpha[6]-alpha[5]})

[alpha[1]*cos(theta(x, y, t))^2*sin(theta(x, y, t))^2+(alpha[2]+alpha[3]+alpha[6]-alpha[5])*((1/4)*cos(theta(x, y, t))^2-(1/4)*sin(theta(x, y, t))^2)+(1/2)*alpha[4]+(alpha[5]+alpha[6])*((1/4)*cos(theta(x, y, t))^2+(1/4)*sin(theta(x, y, t))^2)+(alpha[3]-alpha[2])*((1/4)*cos(theta(x, y, t))^2+(1/4)*sin(theta(x, y, t))^2), alpha[1]*cos(theta(x, y, t))^2*sin(theta(x, y, t))^2+(alpha[2]+alpha[3]+alpha[6]-alpha[5])*(-(1/4)*cos(theta(x, y, t))^2+(1/4)*sin(theta(x, y, t))^2)+(1/2)*alpha[4]+(alpha[5]+alpha[6])*((1/4)*cos(theta(x, y, t))^2+(1/4)*sin(theta(x, y, t))^2)+(alpha[3]-alpha[2])*((1/4)*cos(theta(x, y, t))^2+(1/4)*sin(theta(x, y, t))^2)]

(3)

 


Download coeff.mw

@delvin 

What answer do you expect Maple returns when you ask degree(abs(U), U) ?
 

degree(U, U);
                1
degree(abs(U), U);
              FAIL

Then degree(eq1, Psi) gives FAIL and your loop can't be executed.

If I understand correctly what you want to achieve, this code could answer your question

 

restart

local Psi:

eq := (-(2*(-tanh(d)^2*tanh(xi[n])^4*a[0]+(tanh(d)-1)*(tanh(d)+1)*(-tanh(d)^2*b[1]+a[1])*tanh(xi[n])^3+a[0]*(tanh(d)^4+1)*tanh(xi[n])^2-(tanh(d)-1)*(tanh(d)+1)*(a[1]*tanh(d)^2-b[1])*tanh(xi[n])-tanh(d)^2*a[0]))*tanh(xi[n])^2*abs(a[1]*tanh(xi[n])^2-a[0]*tanh(xi[n])+b[1])^2-(tanh(xi[n])+1)*abs(tanh(xi[n]))^2*(-I*tanh(d)^2*tanh(xi[n])^6*a[1]+2*tanh(d)^2*tanh(xi[n])^5*a[1]+(I*a[1]*tanh(d)^4+I*tanh(d)^2*b[1]+I*a[1])*tanh(xi[n])^4-2*tanh(d)^4*(a[1]-b[1])*tanh(xi[n])^3+(-I*b[1]*tanh(d)^4-I*tanh(d)^2*a[1]-I*b[1])*tanh(xi[n])^2-2*tanh(d)^2*tanh(xi[n])*b[1]+I*tanh(d)^2*b[1])*(tanh(xi[n])-1))/abs(tanh(xi[n])):

subs(tanh(xi[n]) = Psi, eq):

``

Aeq := collect(eval(eq1, abs=(u->A(u))), Psi):

patmatch(op(1, Aeq), (u::anything)*Psi^(n::posint), 'c'):
max_degree := eval(n, c);

coefficients := eval(c, A=(u -> abs(u))):
remainder    := op(1, Aeq):
for i from 2 to max_degree do
  patmatch(op(i, Aeq), (u::anything)*Psi^(n::posint), 'c'):
  coefficients := coefficients, eval(c, A=(u -> abs(u)));
  remainder    := remainder+op(i, Aeq)
end do:

coefficients := [coefficients, [n=0, u=simplify(Aeq-remainder)]]:

#print~(coefficients):
 

   

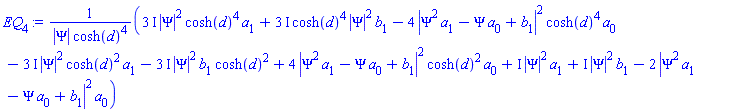
for deg from 0 to max_degree do
  EQ[deg] := eval(u, select(has, coefficients, n=deg)[])
end do;

I*A(Psi)*b[1]*(cosh(d)^2-1)/cosh(d)^2

 

(-2*cosh(d)^4*abs(Psi)^2*b[1]+2*abs(Psi)^2*b[1]*cosh(d)^2)/(abs(Psi)*cosh(d)^4)

 

(-I*abs(Psi)^2*cosh(d)^4*a[1]-(3*I)*cosh(d)^4*abs(Psi)^2*b[1]+2*abs(Psi^2*a[1]-Psi*a[0]+b[1])^2*cosh(d)^4*a[0]+I*abs(Psi)^2*cosh(d)^2*a[1]+(3*I)*abs(Psi)^2*b[1]*cosh(d)^2-2*abs(Psi^2*a[1]-Psi*a[0]+b[1])^2*cosh(d)^2*a[0]-I*abs(Psi)^2*b[1])/(abs(Psi)*cosh(d)^4)

 

(-2*abs(Psi)^2*cosh(d)^4*a[1]+4*cosh(d)^4*abs(Psi)^2*b[1]+4*abs(Psi)^2*cosh(d)^2*a[1]-6*abs(Psi)^2*b[1]*cosh(d)^2-2*abs(Psi^2*a[1]-Psi*a[0]+b[1])^2*cosh(d)^2*a[1]+2*abs(Psi^2*a[1]-Psi*a[0]+b[1])^2*cosh(d)^2*b[1]-2*abs(Psi)^2*a[1]+2*abs(Psi)^2*b[1]+2*abs(Psi^2*a[1]-Psi*a[0]+b[1])^2*a[1])/(abs(Psi)*cosh(d)^4)

 

((3*I)*abs(Psi)^2*cosh(d)^4*a[1]+(3*I)*cosh(d)^4*abs(Psi)^2*b[1]-4*abs(Psi^2*a[1]-Psi*a[0]+b[1])^2*cosh(d)^4*a[0]-(3*I)*abs(Psi)^2*cosh(d)^2*a[1]-(3*I)*abs(Psi)^2*b[1]*cosh(d)^2+4*abs(Psi^2*a[1]-Psi*a[0]+b[1])^2*cosh(d)^2*a[0]+I*abs(Psi)^2*a[1]+I*abs(Psi)^2*b[1]-2*abs(Psi^2*a[1]-Psi*a[0]+b[1])^2*a[0])/(abs(Psi)*cosh(d)^4)

 

(4*abs(Psi)^2*cosh(d)^4*a[1]-2*cosh(d)^4*abs(Psi)^2*b[1]-6*abs(Psi)^2*cosh(d)^2*a[1]+4*abs(Psi)^2*b[1]*cosh(d)^2+2*abs(Psi^2*a[1]-Psi*a[0]+b[1])^2*cosh(d)^2*a[1]-2*abs(Psi^2*a[1]-Psi*a[0]+b[1])^2*cosh(d)^2*b[1]+2*abs(Psi)^2*a[1]-2*abs(Psi)^2*b[1]+2*abs(Psi^2*a[1]-Psi*a[0]+b[1])^2*b[1])/(abs(Psi)*cosh(d)^4)

 

(-(3*I)*abs(Psi)^2*cosh(d)^4*a[1]-I*cosh(d)^4*abs(Psi)^2*b[1]+2*abs(Psi^2*a[1]-Psi*a[0]+b[1])^2*cosh(d)^4*a[0]+(3*I)*abs(Psi)^2*cosh(d)^2*a[1]+I*abs(Psi)^2*b[1]*cosh(d)^2-2*abs(Psi^2*a[1]-Psi*a[0]+b[1])^2*cosh(d)^2*a[0]-I*abs(Psi)^2*a[1])/(abs(Psi)*cosh(d)^4)

 

(-2*abs(Psi)^2*cosh(d)^4*a[1]+2*abs(Psi)^2*cosh(d)^2*a[1])/(abs(Psi)*cosh(d)^4)

 

(I*abs(Psi)^2*cosh(d)^4*a[1]-I*abs(Psi)^2*cosh(d)^2*a[1])/(abs(Psi)*cosh(d)^4)

(2)

``


 

Download pseudo_degrees.mw

The "DOES NOT WORK" code is syntactically incorrect.
I guess you wanted to do this

for i from 1 to numelems(S1_Coeffs_wrt_R) do
  select(type, indets(S1_Coeffs_wrt_R[i]), RandomVariable) minus {AS1_rv};
  if has(%, NewRV[1]) then 
    xi    := collect(S1_Coeffs_wrt_R[i], NewRV[1], Veil[cat(`xi__`, _R, NewRV[1])] );
    Rules := Rules, xi;
  elif has(%, NewRV[2]) then 
    xi    := collect(S1_Coeffs_wrt_R[i], NewRV[2], Veil[cat(`xi__`, _R, NewRV[2])] );
    Rules := Rules, xi;
  elif has(%, NewRV[3]) then 
    xi    := collect(S1_Coeffs_wrt_R[i], NewRV[3], Veil[cat(`xi__`, _R, NewRV[3])] );
    Rules := Rules, xi;
  else 
    Rules := Rules, K1_wrt_R[i] = cat(`xi__`,([_R]))
  end if:
end do:
restart:
with(plots):
eq1 := diff(Q(t), t)+Q(t)+I__2(t)+exp(-t) = 0:
eq2 := diff(I__2(t), t)-Q(t)+I__2(t) = 0:
ics := Q(0) = 3, I__2(0) = 1:

sol := dsolve({eq1, eq2, ics})
         {I__2(t) = exp(-t) (2 cos(t) + 3 sin(t) - 1), 

           Q(t) = exp(-t) (3 cos(t) - 2 sin(t))}
Q_expansion_at_0 := taylor(eval(Q(t), sol), t=0);
                       2   1  3   1  4   1  5    / 6\
          3 - 5 t + 2 t  + - t  - - t  + - t  + O\t /
                           3      2      6           
I_expansion_at_0 := taylor(eval(I__2(t), sol), t=0);
                   7  2   11  3   3  4   1   5    / 6\
         1 + 2 t - - t  + -- t  - - t  - -- t  + O\t /
                   2      6       8      40           

Download Simpler.mw

REMARK:
If your loop is aimed to code some finite difference scheme, the scheme you coded is not consistent with the differential equations you wrote.
You will find in the attached file a simple forward-Euler scheme consistent with the ode system.



In your "DOES WORK" piece of code you have a simple if-then-else-endif structure.
Your "DOES NOT WORK" code is not syntactically correct (see the help page).
This could be what you want to achieve

for i from 1 to numelems(S1_Coeffs_wrt_R) do
  select(type, indets(S1_Coeffs_wrt_R[i]), RandomVariable) minus {AS1_rv};
  if has(%, NewRV[1]) then 
    xi    := collect(S1_Coeffs_wrt_R[i], NewRV[1], Veil[cat(`xi__`, _R, NewRV[1])] );
    Rules := Rules, xi;
  elif has(%, NewRV[2]) then 
    xi    := collect(S1_Coeffs_wrt_R[i], NewRV[2], Veil[cat(`xi__`, _R, NewRV[2])] );
    Rules := Rules, xi;
  elif has(%, NewRV[3]) then 
    xi    := collect(S1_Coeffs_wrt_R[i], NewRV[3], Veil[cat(`xi__`, _R, NewRV[3])] );
    Rules := Rules, xi;
  else 
    Rules := Rules, K1_wrt_R[i] = cat(`xi__`,([_R]))
  end if:
end do:

Or

for i from 1 to numelems(S1_Coeffs_wrt_R) do
  select(type, indets(S1_Coeffs_wrt_R[i]), RandomVariable) minus {AS1_rv};
  if has(%, NewRV[1]) then 
    xi    := collect(S1_Coeffs_wrt_R[i], NewRV[1], Veil[cat(`xi__`, _R, NewRV[1])] );
    Rules := Rules, xi;
  elif has(%, NewRV[2]) then 
    xi    := collect(S1_Coeffs_wrt_R[i], NewRV[2], Veil[cat(`xi__`, _R, NewRV[2])] );
    Rules := Rules, xi;
  elif has(%, NewRV[3]) then 
    xi    := collect(S1_Coeffs_wrt_R[i], NewRV[3], Veil[cat(`xi__`, _R, NewRV[3])] );
    Rules := Rules, xi;
  else 
    Rules := Rules, K1_wrt_R[i] = cat(`xi__`,([_R]))
  end if:
end do:

 


Add printlevel := 2: before the test.
More generally, for each embedded for...end do, while...end do, if...end if structures, printlevel:=n prints the the outputs of each level up to the level n inclluded (default is printlevel:=1):

I want to illustrate the intersection between The ellipsoid (1/4)*x^2+(1/9)*y^2+(1/16)*z^2 = 1 and the plane z = 3

Normally, I should obtain an ellipse G1, but its graph does not match the graph obtained ?

 

restart

with(plots):

ellipse := eval(`<,>`(2*cos(t)*cos(s), 3*sin(t)*cos(s), 4*sin(s)), s = solve(4*sin(s) = 3)); -1; G1 := plot3d(ellipse, t = 0 .. 2*Pi, color = "Black", thickness = 4, axes = none); -1; L := 6; -1; display([plot3d(`<,>`(2*cos(t)*cos(s), 3*sin(t)*cos(s), 4*sin(s)), s = -(1/2)*Pi .. (1/2)*Pi, t = 0 .. 2*Pi, color = "Blue", transparency = .8), plot3d([s, t, 3], s = -L .. L, t = -L .. L, color = "red", transparency = .8), G1])

 

 

NULL

Download G2Exercice1_mmcdara.mw

What do you mean by "dependencies"?

Is this what you want?

restart:

a := 1:
f := x -> x^2;
e := a+f(x)+g(x, y):
c := cos(x):
g := (x, y) -> x+y;
h := proc(x) x end proc;

proc (x) options operator, arrow; x^2 end proc

 

proc (x, y) options operator, arrow; x+y end proc

 

proc (x) x end proc

(1)

anames(user);

h, c, e, g, f, a

(2)

for __u in [anames(user)] do
  try
    __u():
  catch:
    printf("%a is a function\n", __u):
    unassign(__u)
  end try
end do:

h is a function

g is a function
f is a function

 

[anames(user)]

[c, e, a]

(3)

f(x), g(x, y), h(x);

f(x), g(x, y), h(x)

(4)

 

Download IsThisWhatYouWant.mw

First of all I agree one hundred percent with all the other contributions.

In your last reply you talked about a "relation between h and lambda", but they are potentially eight such relations for Eq has eight h roots.
All this seems a dead end, but I deliver you this worksheet whixh could partially answer your last reply (?)

restart

Eq := (1/24)*h^2*((1/16)*h^4*(-12*T/h^3+12/h^2)^5+(36*(7*h^8*lambda+3888*T^5-19440*T^4*h+38880*T^3*h^2-38880*T^2*h^3+19440*T*h^4-3888*h^5))/(7*h^11))

(1/24)*h^2*((1/16)*h^4*(-12*T/h^3+12/h^2)^5+(36/7)*(7*h^8*lambda+3888*T^5-19440*T^4*h+38880*T^3*h^2-38880*T^2*h^3+19440*T*h^4-3888*h^5)/h^11)

(1)

solve(Eq = 0, h)

RootOf(7*_Z^8*lambda+864*T^5-4320*T^4*_Z+8640*T^3*_Z^2-8640*T^2*_Z^3+4320*T*_Z^4-864*_Z^5)

(2)

DEq := denom(simplify(Eq));
NEq := numer(simplify(Eq));

# Assuming h=0 is not a solution of NEq=0, we can seek only the roots of Neq.
#
# NEq being a polynomial of order 8 whose coefficients depend upon either
# T or lambda, there is no explicit expression of the (h-)roots of NEq.

14*h^9

 

21*h^8*lambda+2592*T^5-12960*T^4*h+25920*T^3*h^2-25920*T^2*h^3+12960*T*h^4-2592*h^5

(3)

# The idea then is to seek for the roots of NEq once T and lambda
# are given numeric values.


F := proc(l, t)
  local r:
  if not type(evalf(l),'numeric') or not type(evalf(t),'numeric') then
    'procname'(l, t);
  else
    r := [ solve(eval(NEq, [T=t, lambda=l]), h) ];
    selectremove(has, r, RootOf);
    return [ evalf~(%[1])[], %[2][] ]
  end if;
end proc:

r := F(1, lambda)

F(1, lambda)

(4)

r := F(1, 0);

# Observe that 0 is a root of DEq and thus:

eval(Eq, [T=1, lambda=0, h=0])

[0, 0, 0, 0, 0, (6/7)*14^(2/3), -(3/7)*14^(2/3)+((3/7)*I)*3^(1/2)*14^(2/3), -(3/7)*14^(2/3)-((3/7)*I)*3^(1/2)*14^(2/3)]

 

Error, numeric exception: division by zero

 

r := F(0.2, 1)

[1.568399138, 6.420725206, .8180748416+0.8899263124e-1*I, .9637315294+.2752734353*I, -5.776368543+7.531504319*I, -5.776368543-7.531504319*I, .9637315294-.2752734353*I, .8180748416-0.8899263124e-1*I]

(5)

# You write:
#
# "
# ...I am interested purely in the relation between h and lambda by putting Eq=0...
# If it is not possible to develop a relation, then is it possible that we can suppose the value of T,
# something like T=0.2 or 0.5 and generate data points between x and lambda, then make a polynomial or relation
# between (h) and lambda?
# "
#
# the relation between h and lambda: what relation are looking for?
#                                    As NEq has 8 roots, there would be 8 such relations!
#
# So, if you do not care about the relation you have to consider, why not to do this?

LambdaSol := proc(t, H)
  solve(eval(Eq, [T=t, h=H]), lambda)
end proc:

pl := plot(LambdaSol(0.2, H), H=1..10, labels=[h, lambda], title=typeset(T=0.2), view=[1..10, 0..40]):

DocumentTools:-Tabulate(
 [ pl, plots:-display(plottools:-transform((x, y) -> [y, x])(pl), labels=[lambda, h]) ],
 width=50
)

# A simple fitting example

with(Statistics):

data_h := Vector(9, i -> i+1):
data_l := Vector(9, i -> LambdaSol(0.2, data_h[i])):

lambda = PowerFit(data_h, data_l, h);

plots:-display(
  plots:-logplot(LambdaSol(0.2, H), H=1..10, labels=[h, lambda], title=typeset(T=0.2)),
  plots:-logplot(rhs(%), h=1..10, color=blue)
)

lambda = HFloat(64.94765418508669)/h^HFloat(2.7489493041236996)

 

 

 

Download WhyNotThis.mw

ADD ON:
Assuming that lambda > 0 and T > 0, one can show that Eq=0 has either 0 or 2 real roots in the range (0, +oo).
The first root corresponds to Eq becoming negative, while the second correspond to Eq becoming positive. 
The existence of these two roots depends upon the values of lambda and T (evident): 

  • the larger T is,  the closer to 0 lambda must be,
  • the closer T is to 0, the larger lambda can be.


WhyNotThis_addon.mw


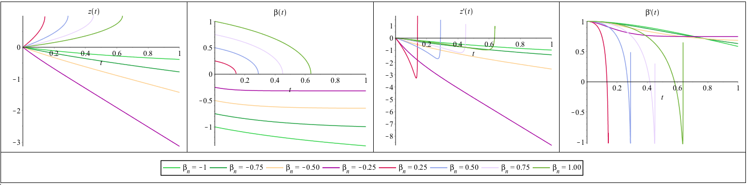
... if I understand your problem correctly...

(in this worksheet z__p means z' and beta__p means beta')
 

restart

f     := 12:
f__kr := 7:
z__m  := 350:
y__m  := 200:

epsilon := unapply(1-(f__kr/f)^2*exp(-((phi-z__m)/y__m)^2), phi)

proc (phi) options operator, arrow; 1-(49/144)*exp(-(1/40000)*(phi-350)^2) end proc

(1)

sys := diff(z(x), x) = cot(beta(x)),
       diff(beta(x), x) = eval(1/2/epsilon(phi)*diff(epsilon(phi), phi), phi=z(x)),
       diff(z__p(x), x) = -beta__p(x)/sin(beta(x))^2,
       diff(beta__p(x),x) = eval(
                              z__p(x)/2/epsilon(phi)
                              *(
                                 1/epsilon(phi)*diff(epsilon(phi), phi)^2
                                 -diff(epsilon(phi), phi$2)
                               ), phi=z(x)
                             ):

sys_1 := {sys[1..2], z(0)=0, beta(0)=beta__n};
sol_1 := dsolve(sys_1, numeric, parameters=[beta__n])

{beta(0) = beta__n, diff(beta(x), x) = -(49/288)*(-(1/20000)*z(x)+7/400)*exp(-(1/40000)*(z(x)-350)^2)/(1-(49/144)*exp(-(1/40000)*(z(x)-350)^2)), diff(z(x), x) = cot(beta(x)), z(0) = 0}

 

proc (x_rkf45) local _res, _dat, _vars, _solnproc, _xout, _ndsol, _pars, _n, _i; option `Copyright (c) 2000 by Waterloo Maple Inc. All rights reserved.`; if 1 < nargs then error "invalid input: too many arguments" end if; _EnvDSNumericSaveDigits := Digits; Digits := 15; if _EnvInFsolve = true then _xout := evalf[_EnvDSNumericSaveDigits](x_rkf45) else _xout := evalf(x_rkf45) end if; _dat := Array(1..4, {(1) = proc (_xin) local _xout, _dtbl, _dat, _vmap, _x0, _y0, _val, _dig, _n, _ne, _nd, _nv, _pars, _ini, _par, _i, _j, _k, _src; option `Copyright (c) 2002 by Waterloo Maple Inc. All rights reserved.`; table( [( "complex" ) = false ] ) _xout := _xin; _pars := [beta__n = beta__n]; _dtbl := array( 1 .. 4, [( 1 ) = (array( 1 .. 24, [( 1 ) = (datatype = float[8], order = C_order, storage = rectangular), ( 2 ) = (datatype = float[8], order = C_order, storage = rectangular), ( 3 ) = ([0, 0, 0, Array(1..0, 1..2, {}, datatype = float[8], order = C_order)]), ( 4 ) = (Array(1..54, {(1) = 2, (2) = 2, (3) = 0, (4) = 0, (5) = 1, (6) = 0, (7) = 0, (8) = 0, (9) = 0, (10) = 0, (11) = 0, (12) = 0, (13) = 0, (14) = 0, (15) = 0, (16) = 0, (17) = 0, (18) = 0, (19) = 30000, (20) = 0, (21) = 0, (22) = 1, (23) = 4, (24) = 0, (25) = 1, (26) = 15, (27) = 1, (28) = 0, (29) = 1, (30) = 3, (31) = 3, (32) = 0, (33) = 1, (34) = 0, (35) = 0, (36) = 0, (37) = 0, (38) = 0, (39) = 0, (40) = 0, (41) = 0, (42) = 0, (43) = 1, (44) = 0, (45) = 0, (46) = 0, (47) = 0, (48) = 0, (49) = 0, (50) = 50, (51) = 1, (52) = 0, (53) = 0, (54) = 0}, datatype = integer[8])), ( 5 ) = (Array(1..28, {(1) = .0, (2) = 0.10e-5, (3) = .0, (4) = 0.500001e-14, (5) = .0, (6) = .0, (7) = .0, (8) = 0.10e-5, (9) = .0, (10) = .0, (11) = .0, (12) = .0, (13) = 1.0, (14) = .0, (15) = .49999999999999, (16) = .0, (17) = 1.0, (18) = 1.0, (19) = .0, (20) = .0, (21) = 1.0, (22) = 1.0, (23) = .0, (24) = .0, (25) = 0.10e-14, (26) = .0, (27) = .0, (28) = .0}, datatype = float[8], order = C_order)), ( 6 ) = (Array(1..3, {(1) = beta__n, (2) = 0., (3) = Float(undefined)})), ( 7 ) = ([Array(1..4, 1..7, {(1, 1) = .0, (1, 2) = .203125, (1, 3) = .3046875, (1, 4) = .75, (1, 5) = .8125, (1, 6) = .40625, (1, 7) = .8125, (2, 1) = 0.6378173828125e-1, (2, 2) = .0, (2, 3) = .279296875, (2, 4) = .27237892150878906, (2, 5) = -0.9686851501464844e-1, (2, 6) = 0.1956939697265625e-1, (2, 7) = .5381584167480469, (3, 1) = 0.31890869140625e-1, (3, 2) = .0, (3, 3) = -.34375, (3, 4) = -.335235595703125, (3, 5) = .2296142578125, (3, 6) = .41748046875, (3, 7) = 11.480712890625, (4, 1) = 0.9710520505905151e-1, (4, 2) = .0, (4, 3) = .40350341796875, (4, 4) = 0.20297467708587646e-1, (4, 5) = -0.6054282188415527e-2, (4, 6) = -0.4770040512084961e-1, (4, 7) = .77858567237854}, datatype = float[8], order = C_order), Array(1..6, 1..6, {(1, 1) = .0, (1, 2) = .0, (1, 3) = .0, (1, 4) = .0, (1, 5) = .0, (1, 6) = 1.0, (2, 1) = .25, (2, 2) = .0, (2, 3) = .0, (2, 4) = .0, (2, 5) = .0, (2, 6) = 1.0, (3, 1) = .1875, (3, 2) = .5625, (3, 3) = .0, (3, 4) = .0, (3, 5) = .0, (3, 6) = 2.0, (4, 1) = .23583984375, (4, 2) = -.87890625, (4, 3) = .890625, (4, 4) = .0, (4, 5) = .0, (4, 6) = .2681884765625, (5, 1) = .1272735595703125, (5, 2) = -.5009765625, (5, 3) = .44921875, (5, 4) = -0.128936767578125e-1, (5, 5) = .0, (5, 6) = 0.626220703125e-1, (6, 1) = -0.927734375e-1, (6, 2) = .626220703125, (6, 3) = -.4326171875, (6, 4) = .1418304443359375, (6, 5) = -0.861053466796875e-1, (6, 6) = .3131103515625}, datatype = float[8], order = C_order), Array(1..6, {(1) = .0, (2) = .386, (3) = .21, (4) = .63, (5) = 1.0, (6) = 1.0}, datatype = float[8], order = C_order), Array(1..6, {(1) = .25, (2) = -.1043, (3) = .1035, (4) = -0.362e-1, (5) = .0, (6) = .0}, datatype = float[8], order = C_order), Array(1..6, 1..5, {(1, 1) = .0, (1, 2) = .0, (1, 3) = .0, (1, 4) = .0, (1, 5) = .0, (2, 1) = 1.544, (2, 2) = .0, (2, 3) = .0, (2, 4) = .0, (2, 5) = .0, (3, 1) = .9466785280815533, (3, 2) = .25570116989825814, (3, 3) = .0, (3, 4) = .0, (3, 5) = .0, (4, 1) = 3.3148251870684886, (4, 2) = 2.896124015972123, (4, 3) = .9986419139977808, (4, 4) = .0, (4, 5) = .0, (5, 1) = 1.2212245092262748, (5, 2) = 6.019134481287752, (5, 3) = 12.537083329320874, (5, 4) = -.687886036105895, (5, 5) = .0, (6, 1) = 1.2212245092262748, (6, 2) = 6.019134481287752, (6, 3) = 12.537083329320874, (6, 4) = -.687886036105895, (6, 5) = 1.0}, datatype = float[8], order = C_order), Array(1..6, 1..5, {(1, 1) = .0, (1, 2) = .0, (1, 3) = .0, (1, 4) = .0, (1, 5) = .0, (2, 1) = -5.6688, (2, 2) = .0, (2, 3) = .0, (2, 4) = .0, (2, 5) = .0, (3, 1) = -2.4300933568337584, (3, 2) = -.20635991570891224, (3, 3) = .0, (3, 4) = .0, (3, 5) = .0, (4, 1) = -.10735290581452621, (4, 2) = -9.594562251021896, (4, 3) = -20.470286148096154, (4, 4) = .0, (4, 5) = .0, (5, 1) = 7.496443313968615, (5, 2) = -10.246804314641219, (5, 3) = -33.99990352819906, (5, 4) = 11.708908932061595, (5, 5) = .0, (6, 1) = 8.083246795922411, (6, 2) = -7.981132988062785, (6, 3) = -31.52159432874373, (6, 4) = 16.319305431231363, (6, 5) = -6.0588182388340535}, datatype = float[8], order = C_order), Array(1..3, 1..5, {(1, 1) = .0, (1, 2) = .0, (1, 3) = .0, (1, 4) = .0, (1, 5) = .0, (2, 1) = 10.126235083446911, (2, 2) = -7.487995877607633, (2, 3) = -34.800918615557414, (2, 4) = -7.9927717075687275, (2, 5) = 1.0251377232956207, (3, 1) = -.6762803392806898, (3, 2) = 6.087714651678606, (3, 3) = 16.43084320892463, (3, 4) = 24.767225114183653, (3, 5) = -6.5943891257167815}, datatype = float[8], order = C_order)]), ( 9 ) = ([Array(1..2, {(1) = .1, (2) = .1}, datatype = float[8], order = C_order), Array(1..2, {(1) = .0, (2) = .0}, datatype = float[8], order = C_order), Array(1..2, {(1) = .0, (2) = .0}, datatype = float[8], order = C_order), Array(1..2, {(1) = .0, (2) = .0}, datatype = float[8], order = C_order), Array(1..2, {(1) = .0, (2) = .0}, datatype = float[8], order = C_order), Array(1..2, 1..2, {(1, 1) = .0, (1, 2) = .0, (2, 1) = .0, (2, 2) = .0}, datatype = float[8], order = C_order), Array(1..2, 1..2, {(1, 1) = .0, (1, 2) = .0, (2, 1) = .0, (2, 2) = .0}, datatype = float[8], order = C_order), Array(1..2, 1..6, {(1, 1) = .0, (1, 2) = .0, (1, 3) = .0, (1, 4) = .0, (1, 5) = .0, (1, 6) = .0, (2, 1) = .0, (2, 2) = .0, (2, 3) = .0, (2, 4) = .0, (2, 5) = .0, (2, 6) = .0}, datatype = float[8], order = C_order), Array(1..2, {(1) = 0, (2) = 0}, datatype = integer[8]), Array(1..3, {(1) = .0, (2) = .0, (3) = .0}, datatype = float[8], order = C_order), Array(1..3, {(1) = .0, (2) = .0, (3) = .0}, datatype = float[8], order = C_order), Array(1..3, {(1) = .0, (2) = .0, (3) = .0}, datatype = float[8], order = C_order), Array(1..3, {(1) = .0, (2) = .0, (3) = .0}, datatype = float[8], order = C_order), Array(1..2, {(1) = .0, (2) = .0}, datatype = float[8], order = C_order)]), ( 8 ) = ([Array(1..3, {(1) = .0, (2) = .0, (3) = .0}, datatype = float[8], order = C_order), Array(1..3, {(1) = .0, (2) = .0, (3) = .0}, datatype = float[8], order = C_order), Array(1..2, {(1) = .0, (2) = .0}, datatype = float[8], order = C_order), 0, 0]), ( 11 ) = (Array(1..6, 0..2, {(1, 1) = .0, (1, 2) = .0, (2, 0) = .0, (2, 1) = .0, (2, 2) = .0, (3, 0) = .0, (3, 1) = .0, (3, 2) = .0, (4, 0) = .0, (4, 1) = .0, (4, 2) = .0, (5, 0) = .0, (5, 1) = .0, (5, 2) = .0, (6, 0) = .0, (6, 1) = .0, (6, 2) = .0}, datatype = float[8], order = C_order)), ( 10 ) = ([proc (N, X, Y, YP) option `[Y[1] = beta(x), Y[2] = z(x)]`; YP[1] := -(49/288)*(-(1/20000)*Y[2]+7/400)*exp(-(1/40000)*(Y[2]-350)^2)/(1-(49/144)*exp(-(1/40000)*(Y[2]-350)^2)); YP[2] := cot(Y[1]); 0 end proc, -1, 0, 0, 0, 0, 0, 0]), ( 13 ) = (), ( 12 ) = (), ( 15 ) = ("rkf45"), ( 14 ) = ([0, 0]), ( 18 ) = ([]), ( 19 ) = (0), ( 16 ) = ([0, 0, 0, []]), ( 17 ) = ([proc (N, X, Y, YP) option `[Y[1] = beta(x), Y[2] = z(x)]`; YP[1] := -(49/288)*(-(1/20000)*Y[2]+7/400)*exp(-(1/40000)*(Y[2]-350)^2)/(1-(49/144)*exp(-(1/40000)*(Y[2]-350)^2)); YP[2] := cot(Y[1]); 0 end proc, -1, 0, 0, 0, 0, 0, 0]), ( 22 ) = (0), ( 23 ) = (0), ( 20 ) = ([]), ( 21 ) = (0), ( 24 ) = (0)  ] ))  ] ); _y0 := Array(0..3, {(1) = 0., (2) = beta__n, (3) = 0.}); _vmap := array( 1 .. 2, [( 1 ) = (1), ( 2 ) = (2)  ] ); _x0 := _dtbl[1][5][5]; _n := _dtbl[1][4][1]; _ne := _dtbl[1][4][3]; _nd := _dtbl[1][4][4]; _nv := _dtbl[1][4][16]; if not type(_xout, 'numeric') then if member(_xout, ["start", "left", "right"]) then if _Env_smart_dsolve_numeric = true or _dtbl[1][4][10] = 1 then if _xout = "left" then if type(_dtbl[2], 'table') then return _dtbl[2][5][1] end if elif _xout = "right" then if type(_dtbl[3], 'table') then return _dtbl[3][5][1] end if end if end if; return _dtbl[1][5][5] elif _xout = "method" then return _dtbl[1][15] elif _xout = "storage" then return evalb(_dtbl[1][4][10] = 1) elif _xout = "leftdata" then if not type(_dtbl[2], 'array') then return NULL else return eval(_dtbl[2]) end if elif _xout = "rightdata" then if not type(_dtbl[3], 'array') then return NULL else return eval(_dtbl[3]) end if elif _xout = "enginedata" then return eval(_dtbl[1]) elif _xout = "enginereset" then _dtbl[2] := evaln(_dtbl[2]); _dtbl[3] := evaln(_dtbl[3]); return NULL elif _xout = "initial" then return procname(_y0[0]) elif _xout = "laxtol" then return _dtbl[`if`(member(_dtbl[4], {2, 3}), _dtbl[4], 1)][5][18] elif _xout = "numfun" then return `if`(member(_dtbl[4], {2, 3}), _dtbl[_dtbl[4]][4][18], 0) elif _xout = "parameters" then return [seq(_y0[_n+_i], _i = 1 .. nops(_pars))] elif _xout = "initial_and_parameters" then return procname(_y0[0]), [seq(_y0[_n+_i], _i = 1 .. nops(_pars))] elif _xout = "last" then if _dtbl[4] <> 2 and _dtbl[4] <> 3 or _x0-_dtbl[_dtbl[4]][5][1] = 0. then error "no information is available on last computed point" else _xout := _dtbl[_dtbl[4]][5][1] end if elif _xout = "function" then if _dtbl[1][4][33]-2. = 0 then return eval(_dtbl[1][10], 1) else return eval(_dtbl[1][10][1], 1) end if elif _xout = "map" then return copy(_vmap) elif type(_xin, `=`) and type(rhs(_xin), 'list') and member(lhs(_xin), {"initial", "parameters", "initial_and_parameters"}) then _ini, _par := [], []; if lhs(_xin) = "initial" then _ini := rhs(_xin) elif lhs(_xin) = "parameters" then _par := rhs(_xin) elif select(type, rhs(_xin), `=`) <> [] then _par, _ini := selectremove(type, rhs(_xin), `=`) elif nops(rhs(_xin)) < nops(_pars)+1 then error "insufficient data for specification of initial and parameters" else _par := rhs(_xin)[-nops(_pars) .. -1]; _ini := rhs(_xin)[1 .. -nops(_pars)-1] end if; _xout := lhs(_xout); if _par <> [] then `dsolve/numeric/process_parameters`(_n, _pars, _par, _y0) end if; if _ini <> [] then `dsolve/numeric/process_initial`(_n-_ne, _ini, _y0, _pars, _vmap) end if; `dsolve/numeric/SC/reinitialize`(_dtbl, _y0, _n, procname, _pars); if _Env_smart_dsolve_numeric = true and type(_y0[0], 'numeric') and _dtbl[1][4][10] <> 1 then procname("right") := _y0[0]; procname("left") := _y0[0] end if; if _xout = "initial" then return [_y0[0], seq(_y0[_vmap[_i]], _i = 1 .. _n-_ne)] elif _xout = "parameters" then return [seq(_y0[_n+_i], _i = 1 .. nops(_pars))] else return [_y0[0], seq(_y0[_vmap[_i]], _i = 1 .. _n-_ne)], [seq(_y0[_n+_i], _i = 1 .. nops(_pars))] end if elif _xin = "eventstop" then if _nv = 0 then error "this solution has no events" end if; _i := _dtbl[4]; if _i <> 2 and _i <> 3 then return 0 end if; if _dtbl[_i][4][10] = 1 and assigned(_dtbl[5-_i]) and _dtbl[_i][4][9] < 100 and 100 <= _dtbl[5-_i][4][9] then _i := 5-_i; _dtbl[4] := _i; _j := round(_dtbl[_i][4][17]); return round(_dtbl[_i][3][1][_j, 1]) elif 100 <= _dtbl[_i][4][9] then _j := round(_dtbl[_i][4][17]); return round(_dtbl[_i][3][1][_j, 1]) else return 0 end if elif _xin = "eventstatus" then if _nv = 0 then error "this solution has no events" end if; _i := [selectremove(proc (a) options operator, arrow; _dtbl[1][3][1][a, 7] = 1 end proc, {seq(_j, _j = 1 .. round(_dtbl[1][3][1][_nv+1, 1]))})]; return ':-enabled' = _i[1], ':-disabled' = _i[2] elif _xin = "eventclear" then if _nv = 0 then error "this solution has no events" end if; _i := _dtbl[4]; if _i <> 2 and _i <> 3 then error "no events to clear" end if; if _dtbl[_i][4][10] = 1 and assigned(_dtbl[5-_i]) and _dtbl[_i][4][9] < 100 and 100 < _dtbl[5-_i][4][9] then _dtbl[4] := 5-_i; _i := 5-_i end if; if _dtbl[_i][4][9] < 100 then error "no events to clear" elif _nv < _dtbl[_i][4][9]-100 then error "event error condition cannot be cleared" else _j := _dtbl[_i][4][9]-100; if irem(round(_dtbl[_i][3][1][_j, 4]), 2) = 1 then error "retriggerable events cannot be cleared" end if; _j := round(_dtbl[_i][3][1][_j, 1]); for _k to _nv do if _dtbl[_i][3][1][_k, 1] = _j then if _dtbl[_i][3][1][_k, 2] = 3 then error "range events cannot be cleared" end if; _dtbl[_i][3][1][_k, 8] := _dtbl[_i][3][1][_nv+1, 8] end if end do; _dtbl[_i][4][17] := 0; _dtbl[_i][4][9] := 0; if _dtbl[1][4][10] = 1 then if _i = 2 then try procname(procname("left")) catch:  end try else try procname(procname("right")) catch:  end try end if end if end if; return  elif type(_xin, `=`) and member(lhs(_xin), {"eventdisable", "eventenable"}) then if _nv = 0 then error "this solution has no events" end if; if type(rhs(_xin), {('list')('posint'), ('set')('posint')}) then _i := {op(rhs(_xin))} elif type(rhs(_xin), 'posint') then _i := {rhs(_xin)} else error "event identifiers must be integers in the range 1..%1", round(_dtbl[1][3][1][_nv+1, 1]) end if; if select(proc (a) options operator, arrow; _nv < a end proc, _i) <> {} then error "event identifiers must be integers in the range 1..%1", round(_dtbl[1][3][1][_nv+1, 1]) end if; _k := {}; for _j to _nv do if member(round(_dtbl[1][3][1][_j, 1]), _i) then _k := `union`(_k, {_j}) end if end do; _i := _k; if lhs(_xin) = "eventdisable" then _dtbl[4] := 0; _j := [evalb(assigned(_dtbl[2]) and member(_dtbl[2][4][17], _i)), evalb(assigned(_dtbl[3]) and member(_dtbl[3][4][17], _i))]; for _k in _i do _dtbl[1][3][1][_k, 7] := 0; if assigned(_dtbl[2]) then _dtbl[2][3][1][_k, 7] := 0 end if; if assigned(_dtbl[3]) then _dtbl[3][3][1][_k, 7] := 0 end if end do; if _j[1] then for _k to _nv+1 do if _k <= _nv and not type(_dtbl[2][3][4][_k, 1], 'undefined') then userinfo(3, {'events', 'eventreset'}, `reinit #2, event code `, _k, ` to defined init `, _dtbl[2][3][4][_k, 1]); _dtbl[2][3][1][_k, 8] := _dtbl[2][3][4][_k, 1] elif _dtbl[2][3][1][_k, 2] = 0 and irem(iquo(round(_dtbl[2][3][1][_k, 4]), 32), 2) = 1 then userinfo(3, {'events', 'eventreset'}, `reinit #2, event code `, _k, ` to rate hysteresis init `, _dtbl[2][5][24]); _dtbl[2][3][1][_k, 8] := _dtbl[2][5][24] elif _dtbl[2][3][1][_k, 2] = 0 and irem(iquo(round(_dtbl[2][3][1][_k, 4]), 2), 2) = 0 then userinfo(3, {'events', 'eventreset'}, `reinit #2, event code `, _k, ` to initial init `, _x0); _dtbl[2][3][1][_k, 8] := _x0 else userinfo(3, {'events', 'eventreset'}, `reinit #2, event code `, _k, ` to fireinitial init `, _x0-1); _dtbl[2][3][1][_k, 8] := _x0-1 end if end do; _dtbl[2][4][17] := 0; _dtbl[2][4][9] := 0; if _dtbl[1][4][10] = 1 then procname(procname("left")) end if end if; if _j[2] then for _k to _nv+1 do if _k <= _nv and not type(_dtbl[3][3][4][_k, 2], 'undefined') then userinfo(3, {'events', 'eventreset'}, `reinit #3, event code `, _k, ` to defined init `, _dtbl[3][3][4][_k, 2]); _dtbl[3][3][1][_k, 8] := _dtbl[3][3][4][_k, 2] elif _dtbl[3][3][1][_k, 2] = 0 and irem(iquo(round(_dtbl[3][3][1][_k, 4]), 32), 2) = 1 then userinfo(3, {'events', 'eventreset'}, `reinit #3, event code `, _k, ` to rate hysteresis init `, _dtbl[3][5][24]); _dtbl[3][3][1][_k, 8] := _dtbl[3][5][24] elif _dtbl[3][3][1][_k, 2] = 0 and irem(iquo(round(_dtbl[3][3][1][_k, 4]), 2), 2) = 0 then userinfo(3, {'events', 'eventreset'}, `reinit #3, event code `, _k, ` to initial init `, _x0); _dtbl[3][3][1][_k, 8] := _x0 else userinfo(3, {'events', 'eventreset'}, `reinit #3, event code `, _k, ` to fireinitial init `, _x0+1); _dtbl[3][3][1][_k, 8] := _x0+1 end if end do; _dtbl[3][4][17] := 0; _dtbl[3][4][9] := 0; if _dtbl[1][4][10] = 1 then procname(procname("right")) end if end if else for _k in _i do _dtbl[1][3][1][_k, 7] := 1 end do; _dtbl[2] := evaln(_dtbl[2]); _dtbl[3] := evaln(_dtbl[3]); _dtbl[4] := 0; if _dtbl[1][4][10] = 1 then if _x0 <= procname("right") then try procname(procname("right")) catch:  end try end if; if procname("left") <= _x0 then try procname(procname("left")) catch:  end try end if end if end if; return  elif type(_xin, `=`) and lhs(_xin) = "eventfired" then if not type(rhs(_xin), 'list') then error "'eventfired' must be specified as a list" end if; if _nv = 0 then error "this solution has no events" end if; if _dtbl[4] <> 2 and _dtbl[4] <> 3 then error "'direction' must be set prior to calling/setting 'eventfired'" end if; _i := _dtbl[4]; _val := NULL; if not assigned(_EnvEventRetriggerWarned) then _EnvEventRetriggerWarned := false end if; for _k in rhs(_xin) do if type(_k, 'integer') then _src := _k elif type(_k, 'integer' = 'anything') and type(evalf(rhs(_k)), 'numeric') then _k := lhs(_k) = evalf[max(Digits, 18)](rhs(_k)); _src := lhs(_k) else error "'eventfired' entry is not valid: %1", _k end if; if _src < 1 or round(_dtbl[1][3][1][_nv+1, 1]) < _src then error "event identifiers must be integers in the range 1..%1", round(_dtbl[1][3][1][_nv+1, 1]) end if; _src := {seq(`if`(_dtbl[1][3][1][_j, 1]-_src = 0., _j, NULL), _j = 1 .. _nv)}; if nops(_src) <> 1 then error "'eventfired' can only be set/queried for root-finding events and time/interval events" end if; _src := _src[1]; if _dtbl[1][3][1][_src, 2] <> 0. and _dtbl[1][3][1][_src, 2]-2. <> 0. then error "'eventfired' can only be set/queried for root-finding events and time/interval events" elif irem(round(_dtbl[1][3][1][_src, 4]), 2) = 1 then if _EnvEventRetriggerWarned = false then WARNING(`'eventfired' has no effect on events that retrigger`) end if; _EnvEventRetriggerWarned := true end if; if _dtbl[_i][3][1][_src, 2] = 0 and irem(iquo(round(_dtbl[_i][3][1][_src, 4]), 32), 2) = 1 then _val := _val, undefined elif type(_dtbl[_i][3][4][_src, _i-1], 'undefined') or _i = 2 and _dtbl[2][3][1][_src, 8] < _dtbl[2][3][4][_src, 1] or _i = 3 and _dtbl[3][3][4][_src, 2] < _dtbl[3][3][1][_src, 8] then _val := _val, _dtbl[_i][3][1][_src, 8] else _val := _val, _dtbl[_i][3][4][_src, _i-1] end if; if type(_k, `=`) then if _dtbl[_i][3][1][_src, 2] = 0 and irem(iquo(round(_dtbl[_i][3][1][_src, 4]), 32), 2) = 1 then error "cannot set event code for a rate hysteresis event" end if; userinfo(3, {'events', 'eventreset'}, `manual set event code `, _src, ` to value `, rhs(_k)); _dtbl[_i][3][1][_src, 8] := rhs(_k); _dtbl[_i][3][4][_src, _i-1] := rhs(_k) end if end do; return [_val] elif type(_xin, `=`) and lhs(_xin) = "direction" then if not member(rhs(_xin), {-1, 1, ':-left', ':-right'}) then error "'direction' must be specified as either '1' or 'right' (positive) or '-1' or 'left' (negative)" end if; _src := `if`(_dtbl[4] = 2, -1, `if`(_dtbl[4] = 3, 1, undefined)); _i := `if`(member(rhs(_xin), {1, ':-right'}), 3, 2); _dtbl[4] := _i; _dtbl[_i] := `dsolve/numeric/SC/IVPdcopy`(_dtbl[1], `if`(assigned(_dtbl[_i]), _dtbl[_i], NULL)); if 0 < _nv then for _j to _nv+1 do if _j <= _nv and not type(_dtbl[_i][3][4][_j, _i-1], 'undefined') then userinfo(3, {'events', 'eventreset'}, `reinit #4, event code `, _j, ` to defined init `, _dtbl[_i][3][4][_j, _i-1]); _dtbl[_i][3][1][_j, 8] := _dtbl[_i][3][4][_j, _i-1] elif _dtbl[_i][3][1][_j, 2] = 0 and irem(iquo(round(_dtbl[_i][3][1][_j, 4]), 32), 2) = 1 then userinfo(3, {'events', 'eventreset'}, `reinit #4, event code `, _j, ` to rate hysteresis init `, _dtbl[_i][5][24]); _dtbl[_i][3][1][_j, 8] := _dtbl[_i][5][24] elif _dtbl[_i][3][1][_j, 2] = 0 and irem(iquo(round(_dtbl[_i][3][1][_j, 4]), 2), 2) = 0 then userinfo(3, {'events', 'eventreset'}, `reinit #4, event code `, _j, ` to initial init `, _x0); _dtbl[_i][3][1][_j, 8] := _x0 else userinfo(3, {'events', 'eventreset'}, `reinit #4, event code `, _j, ` to fireinitial init `, _x0-2*_i+5.0); _dtbl[_i][3][1][_j, 8] := _x0-2*_i+5.0 end if end do end if; return _src elif _xin = "eventcount" then if _dtbl[1][3][1] = 0 or _dtbl[4] <> 2 and _dtbl[4] <> 3 then return 0 else return round(_dtbl[_dtbl[4]][3][1][_nv+1, 12]) end if else return "procname" end if end if; if _xout = _x0 then return [_x0, seq(evalf(_dtbl[1][6][_vmap[_i]]), _i = 1 .. _n-_ne)] end if; _i := `if`(_x0 <= _xout, 3, 2); if _xin = "last" and 0 < _dtbl[_i][4][9] and _dtbl[_i][4][9] < 100 then _dat := eval(_dtbl[_i], 2); _j := _dat[4][20]; return [_dat[11][_j, 0], seq(_dat[11][_j, _vmap[_i]], _i = 1 .. _n-_ne-_nd), seq(_dat[8][1][_vmap[_i]], _i = _n-_ne-_nd+1 .. _n-_ne)] end if; if not type(_dtbl[_i], 'array') then _dtbl[_i] := `dsolve/numeric/SC/IVPdcopy`(_dtbl[1], `if`(assigned(_dtbl[_i]), _dtbl[_i], NULL)); if 0 < _nv then for _j to _nv+1 do if _j <= _nv and not type(_dtbl[_i][3][4][_j, _i-1], 'undefined') then userinfo(3, {'events', 'eventreset'}, `reinit #5, event code `, _j, ` to defined init `, _dtbl[_i][3][4][_j, _i-1]); _dtbl[_i][3][1][_j, 8] := _dtbl[_i][3][4][_j, _i-1] elif _dtbl[_i][3][1][_j, 2] = 0 and irem(iquo(round(_dtbl[_i][3][1][_j, 4]), 32), 2) = 1 then userinfo(3, {'events', 'eventreset'}, `reinit #5, event code `, _j, ` to rate hysteresis init `, _dtbl[_i][5][24]); _dtbl[_i][3][1][_j, 8] := _dtbl[_i][5][24] elif _dtbl[_i][3][1][_j, 2] = 0 and irem(iquo(round(_dtbl[_i][3][1][_j, 4]), 2), 2) = 0 then userinfo(3, {'events', 'eventreset'}, `reinit #5, event code `, _j, ` to initial init `, _x0); _dtbl[_i][3][1][_j, 8] := _x0 else userinfo(3, {'events', 'eventreset'}, `reinit #5, event code `, _j, ` to fireinitial init `, _x0-2*_i+5.0); _dtbl[_i][3][1][_j, 8] := _x0-2*_i+5.0 end if end do end if end if; if _xin <> "last" then if 0 < 0 then if `dsolve/numeric/checkglobals`(op(_dtbl[1][14]), _pars, _n, _y0) then `dsolve/numeric/SC/reinitialize`(_dtbl, _y0, _n, procname, _pars, _i) end if end if; if _dtbl[1][4][7] = 0 then error "parameters must be initialized before solution can be computed" end if end if; _dat := eval(_dtbl[_i], 2); _dtbl[4] := _i; try _src := `dsolve/numeric/SC/IVPrun`(_dat, _xout) catch: userinfo(2, `dsolve/debug`, print(`Exception in solnproc:`, [lastexception][2 .. -1])); error  end try; if _src = 0 and 100 < _dat[4][9] then _val := _dat[3][1][_nv+1, 8] else _val := _dat[11][_dat[4][20], 0] end if; if _src <> 0 or _dat[4][9] <= 0 then _dtbl[1][5][1] := _xout else _dtbl[1][5][1] := _val end if; if _i = 3 and _val < _xout then Rounding := -infinity; if _dat[4][9] = 1 then error "cannot evaluate the solution further right of %1, probably a singularity", evalf[8](_val) elif _dat[4][9] = 2 then error "cannot evaluate the solution further right of %1, maxfun limit exceeded (see ?dsolve,maxfun for details)", evalf[8](_val) elif _dat[4][9] = 3 then if _dat[4][25] = 3 then error "cannot evaluate the solution past the initial point, problem may be initially singular or improperly set up" else error "cannot evaluate the solution past the initial point, problem may be complex, initially singular or improperly set up" end if elif _dat[4][9] = 4 then error "cannot evaluate the solution further right of %1, accuracy goal cannot be achieved with specified 'minstep'", evalf[8](_val) elif _dat[4][9] = 5 then error "cannot evaluate the solution further right of %1, too many step failures, tolerances may be too loose for problem", evalf[8](_val) elif _dat[4][9] = 6 then error "cannot evaluate the solution further right of %1, cannot downgrade delay storage for problems with delay derivative order > 1, try increasing delaypts", evalf[8](_val) elif _dat[4][9] = 10 then error "cannot evaluate the solution further right of %1, interrupt requested", evalf[8](_val) elif 100 < _dat[4][9] then if _dat[4][9]-100 = _nv+1 then error "constraint projection failure on event at t=%1", evalf[8](_val) elif _dat[4][9]-100 = _nv+2 then error "index-1 and derivative evaluation failure on event at t=%1", evalf[8](_val) elif _dat[4][9]-100 = _nv+3 then error "maximum number of event iterations reached (%1) at t=%2", round(_dat[3][1][_nv+1, 3]), evalf[8](_val) else if _Env_dsolve_nowarnstop <> true then `dsolve/numeric/warning`(StringTools:-FormatMessage("cannot evaluate the solution further right of %1, event #%2 triggered a halt", evalf[8](_val), round(_dat[3][1][_dat[4][9]-100, 1]))) end if; Rounding := 'nearest'; _xout := _val end if else error "cannot evaluate the solution further right of %1", evalf[8](_val) end if elif _i = 2 and _xout < _val then Rounding := infinity; if _dat[4][9] = 1 then error "cannot evaluate the solution further left of %1, probably a singularity", evalf[8](_val) elif _dat[4][9] = 2 then error "cannot evaluate the solution further left of %1, maxfun limit exceeded (see ?dsolve,maxfun for details)", evalf[8](_val) elif _dat[4][9] = 3 then if _dat[4][25] = 3 then error "cannot evaluate the solution past the initial point, problem may be initially singular or improperly set up" else error "cannot evaluate the solution past the initial point, problem may be complex, initially singular or improperly set up" end if elif _dat[4][9] = 4 then error "cannot evaluate the solution further left of %1, accuracy goal cannot be achieved with specified 'minstep'", evalf[8](_val) elif _dat[4][9] = 5 then error "cannot evaluate the solution further left of %1, too many step failures, tolerances may be too loose for problem", evalf[8](_val) elif _dat[4][9] = 6 then error "cannot evaluate the solution further left of %1, cannot downgrade delay storage for problems with delay derivative order > 1, try increasing delaypts", evalf[8](_val) elif _dat[4][9] = 10 then error "cannot evaluate the solution further right of %1, interrupt requested", evalf[8](_val) elif 100 < _dat[4][9] then if _dat[4][9]-100 = _nv+1 then error "constraint projection failure on event at t=%1", evalf[8](_val) elif _dat[4][9]-100 = _nv+2 then error "index-1 and derivative evaluation failure on event at t=%1", evalf[8](_val) elif _dat[4][9]-100 = _nv+3 then error "maximum number of event iterations reached (%1) at t=%2", round(_dat[3][1][_nv+1, 3]), evalf[8](_val) else if _Env_dsolve_nowarnstop <> true then `dsolve/numeric/warning`(StringTools:-FormatMessage("cannot evaluate the solution further left of %1, event #%2 triggered a halt", evalf[8](_val), round(_dat[3][1][_dat[4][9]-100, 1]))) end if; Rounding := 'nearest'; _xout := _val end if else error "cannot evaluate the solution further left of %1", evalf[8](_val) end if end if; if _EnvInFsolve = true then _dig := _dat[4][26]; _dat[4][26] := _EnvDSNumericSaveDigits; _Env_dsolve_SC_native := true; if _dat[4][25] = 1 then _i := 1; _dat[4][25] := 2 else _i := _dat[4][25] end if; _val := `dsolve/numeric/SC/IVPval`(_dat, _xout, _src); _dat[4][25] := _i; _dat[4][26] := _dig; [_xout, seq(_val[_vmap[_i]], _i = 1 .. _n-_ne)] else Digits := _dat[4][26]; _val := `dsolve/numeric/SC/IVPval`(eval(_dat, 2), _xout, _src); [_xout, seq(_val[_vmap[_i]], _i = 1 .. _n-_ne)] end if end proc, (2) = Array(0..0, {}), (3) = [x, beta(x), z(x)], (4) = [beta__n = beta__n]}); _vars := _dat[3]; _pars := map(rhs, _dat[4]); _n := nops(_vars)-1; _solnproc := _dat[1]; if not type(_xout, 'numeric') then if member(x_rkf45, ["start", 'start', "method", 'method', "left", 'left', "right", 'right', "leftdata", "rightdata", "enginedata", "eventstop", 'eventstop', "eventclear", 'eventclear', "eventstatus", 'eventstatus', "eventcount", 'eventcount', "laxtol", 'laxtol', "numfun", 'numfun', NULL]) then _res := _solnproc(convert(x_rkf45, 'string')); if 1 < nops([_res]) then return _res elif type(_res, 'array') then return eval(_res, 1) elif _res <> "procname" then return _res end if elif member(x_rkf45, ["last", 'last', "initial", 'initial', "parameters", 'parameters', "initial_and_parameters", 'initial_and_parameters', NULL]) then _xout := convert(x_rkf45, 'string'); _res := _solnproc(_xout); if _xout = "parameters" then return [seq(_pars[_i] = _res[_i], _i = 1 .. nops(_pars))] elif _xout = "initial_and_parameters" then return [seq(_vars[_i+1] = [_res][1][_i+1], _i = 0 .. _n), seq(_pars[_i] = [_res][2][_i], _i = 1 .. nops(_pars))] else return [seq(_vars[_i+1] = _res[_i+1], _i = 0 .. _n)] end if elif type(_xout, `=`) and member(lhs(_xout), ["initial", 'initial', "parameters", 'parameters', "initial_and_parameters", 'initial_and_parameters', NULL]) then _xout := convert(lhs(x_rkf45), 'string') = rhs(x_rkf45); if type(rhs(_xout), 'list') then _res := _solnproc(_xout) else error "initial and/or parameter values must be specified in a list" end if; if lhs(_xout) = "initial" then return [seq(_vars[_i+1] = _res[_i+1], _i = 0 .. _n)] elif lhs(_xout) = "parameters" then return [seq(_pars[_i] = _res[_i], _i = 1 .. nops(_pars))] else return [seq(_vars[_i+1] = [_res][1][_i+1], _i = 0 .. _n), seq(_pars[_i] = [_res][2][_i], _i = 1 .. nops(_pars))] end if elif type(_xout, `=`) and member(lhs(_xout), ["eventdisable", 'eventdisable', "eventenable", 'eventenable', "eventfired", 'eventfired', "direction", 'direction', NULL]) then return _solnproc(convert(lhs(x_rkf45), 'string') = rhs(x_rkf45)) elif _xout = "solnprocedure" then return eval(_solnproc) elif _xout = "sysvars" then return _vars end if; if procname <> unknown then return ('procname')(x_rkf45) else _ndsol; _ndsol := pointto(_dat[2][0]); return ('_ndsol')(x_rkf45) end if end if; try _res := _solnproc(_xout); [seq(_vars[_i+1] = _res[_i+1], _i = 0 .. _n)] catch: error  end try end proc

(2)

# Fix beta__n to some value

B := 2:
sol_1(parameters=[B]);

[beta__n = 2.]

(3)

# Build 2 procedures that return z(x) and beta(x)

__z := proc(__x);
   if not type(evalf(__x),'numeric') then
      'procname'(__x);
   else
      eval(z(x), sol_1(__x));
   end if;
end proc:

__beta := proc(__x);
   if not type(evalf(__x),'numeric') then
      'procname'(__x);
   else
      eval(beta(x), sol_1(__x));
   end if;
end proc:
 

sys_2 := {eval(sys[3..4], [z=(x -> __z(x)), beta=(x -> __beta(x))]), z__p(0)=0, beta__p(0)=1};
sol_2 := dsolve(sys_2, numeric, known=[__z, __beta])

{beta__p(0) = 1, diff(beta__p(x), x) = (1/2)*z__p(x)*((2401/20736)*(-(1/20000)*__z(x)+7/400)^2*(exp(-(1/40000)*(__z(x)-350)^2))^2/(1-(49/144)*exp(-(1/40000)*(__z(x)-350)^2))-(49/2880000)*exp(-(1/40000)*(__z(x)-350)^2)+(49/144)*(-(1/20000)*__z(x)+7/400)^2*exp(-(1/40000)*(__z(x)-350)^2))/(1-(49/144)*exp(-(1/40000)*(__z(x)-350)^2)), diff(z__p(x), x) = -beta__p(x)/sin(__beta(x))^2, z__p(0) = 0}

 

proc (x_rkf45) local _res, _dat, _vars, _solnproc, _xout, _ndsol, _pars, _n, _i; option `Copyright (c) 2000 by Waterloo Maple Inc. All rights reserved.`; if 1 < nargs then error "invalid input: too many arguments" end if; _EnvDSNumericSaveDigits := Digits; Digits := 15; if _EnvInFsolve = true then _xout := evalf[_EnvDSNumericSaveDigits](x_rkf45) else _xout := evalf(x_rkf45) end if; _dat := Array(1..4, {(1) = proc (_xin) local _xout, _dtbl, _dat, _vmap, _x0, _y0, _val, _dig, _n, _ne, _nd, _nv, _pars, _ini, _par, _i, _j, _k, _src; option `Copyright (c) 2002 by Waterloo Maple Inc. All rights reserved.`; table( [( "complex" ) = false ] ) _xout := _xin; _pars := []; _dtbl := array( 1 .. 4, [( 1 ) = (array( 1 .. 24, [( 1 ) = (datatype = float[8], order = C_order, storage = rectangular), ( 2 ) = (datatype = float[8], order = C_order, storage = rectangular), ( 3 ) = ([0, 0, 0, Array(1..0, 1..2, {}, datatype = float[8], order = C_order)]), ( 4 ) = (Array(1..54, {(1) = 2, (2) = 2, (3) = 0, (4) = 0, (5) = 0, (6) = 0, (7) = 1, (8) = 0, (9) = 0, (10) = 0, (11) = 0, (12) = 0, (13) = 0, (14) = 0, (15) = 0, (16) = 0, (17) = 0, (18) = 1, (19) = 30000, (20) = 0, (21) = 0, (22) = 1, (23) = 4, (24) = 0, (25) = 1, (26) = 15, (27) = 1, (28) = 0, (29) = 1, (30) = 3, (31) = 3, (32) = 0, (33) = 1, (34) = 0, (35) = 0, (36) = 0, (37) = 0, (38) = 0, (39) = 0, (40) = 0, (41) = 0, (42) = 0, (43) = 1, (44) = 0, (45) = 0, (46) = 0, (47) = 0, (48) = 0, (49) = 0, (50) = 50, (51) = 1, (52) = 0, (53) = 0, (54) = 0}, datatype = integer[8])), ( 5 ) = (Array(1..28, {(1) = .0, (2) = 0.10e-5, (3) = .0, (4) = 0.500001e-14, (5) = .0, (6) = 0.4173514350946864e-2, (7) = .0, (8) = 0.10e-5, (9) = .0, (10) = .0, (11) = .0, (12) = .0, (13) = 1.0, (14) = .0, (15) = .49999999999999, (16) = .0, (17) = 1.0, (18) = 1.0, (19) = .0, (20) = .0, (21) = 1.0, (22) = 1.0, (23) = .0, (24) = .0, (25) = 0.10e-14, (26) = .0, (27) = .0, (28) = .0}, datatype = float[8], order = C_order)), ( 6 ) = (Array(1..2, {(1) = 1.0, (2) = .0}, datatype = float[8], order = C_order)), ( 7 ) = ([Array(1..4, 1..7, {(1, 1) = .0, (1, 2) = .203125, (1, 3) = .3046875, (1, 4) = .75, (1, 5) = .8125, (1, 6) = .40625, (1, 7) = .8125, (2, 1) = 0.6378173828125e-1, (2, 2) = .0, (2, 3) = .279296875, (2, 4) = .27237892150878906, (2, 5) = -0.9686851501464844e-1, (2, 6) = 0.1956939697265625e-1, (2, 7) = .5381584167480469, (3, 1) = 0.31890869140625e-1, (3, 2) = .0, (3, 3) = -.34375, (3, 4) = -.335235595703125, (3, 5) = .2296142578125, (3, 6) = .41748046875, (3, 7) = 11.480712890625, (4, 1) = 0.9710520505905151e-1, (4, 2) = .0, (4, 3) = .40350341796875, (4, 4) = 0.20297467708587646e-1, (4, 5) = -0.6054282188415527e-2, (4, 6) = -0.4770040512084961e-1, (4, 7) = .77858567237854}, datatype = float[8], order = C_order), Array(1..6, 1..6, {(1, 1) = .0, (1, 2) = .0, (1, 3) = .0, (1, 4) = .0, (1, 5) = .0, (1, 6) = 1.0, (2, 1) = .25, (2, 2) = .0, (2, 3) = .0, (2, 4) = .0, (2, 5) = .0, (2, 6) = 1.0, (3, 1) = .1875, (3, 2) = .5625, (3, 3) = .0, (3, 4) = .0, (3, 5) = .0, (3, 6) = 2.0, (4, 1) = .23583984375, (4, 2) = -.87890625, (4, 3) = .890625, (4, 4) = .0, (4, 5) = .0, (4, 6) = .2681884765625, (5, 1) = .1272735595703125, (5, 2) = -.5009765625, (5, 3) = .44921875, (5, 4) = -0.128936767578125e-1, (5, 5) = .0, (5, 6) = 0.626220703125e-1, (6, 1) = -0.927734375e-1, (6, 2) = .626220703125, (6, 3) = -.4326171875, (6, 4) = .1418304443359375, (6, 5) = -0.861053466796875e-1, (6, 6) = .3131103515625}, datatype = float[8], order = C_order), Array(1..6, {(1) = .0, (2) = .386, (3) = .21, (4) = .63, (5) = 1.0, (6) = 1.0}, datatype = float[8], order = C_order), Array(1..6, {(1) = .25, (2) = -.1043, (3) = .1035, (4) = -0.362e-1, (5) = .0, (6) = .0}, datatype = float[8], order = C_order), Array(1..6, 1..5, {(1, 1) = .0, (1, 2) = .0, (1, 3) = .0, (1, 4) = .0, (1, 5) = .0, (2, 1) = 1.544, (2, 2) = .0, (2, 3) = .0, (2, 4) = .0, (2, 5) = .0, (3, 1) = .9466785280815533, (3, 2) = .25570116989825814, (3, 3) = .0, (3, 4) = .0, (3, 5) = .0, (4, 1) = 3.3148251870684886, (4, 2) = 2.896124015972123, (4, 3) = .9986419139977808, (4, 4) = .0, (4, 5) = .0, (5, 1) = 1.2212245092262748, (5, 2) = 6.019134481287752, (5, 3) = 12.537083329320874, (5, 4) = -.687886036105895, (5, 5) = .0, (6, 1) = 1.2212245092262748, (6, 2) = 6.019134481287752, (6, 3) = 12.537083329320874, (6, 4) = -.687886036105895, (6, 5) = 1.0}, datatype = float[8], order = C_order), Array(1..6, 1..5, {(1, 1) = .0, (1, 2) = .0, (1, 3) = .0, (1, 4) = .0, (1, 5) = .0, (2, 1) = -5.6688, (2, 2) = .0, (2, 3) = .0, (2, 4) = .0, (2, 5) = .0, (3, 1) = -2.4300933568337584, (3, 2) = -.20635991570891224, (3, 3) = .0, (3, 4) = .0, (3, 5) = .0, (4, 1) = -.10735290581452621, (4, 2) = -9.594562251021896, (4, 3) = -20.470286148096154, (4, 4) = .0, (4, 5) = .0, (5, 1) = 7.496443313968615, (5, 2) = -10.246804314641219, (5, 3) = -33.99990352819906, (5, 4) = 11.708908932061595, (5, 5) = .0, (6, 1) = 8.083246795922411, (6, 2) = -7.981132988062785, (6, 3) = -31.52159432874373, (6, 4) = 16.319305431231363, (6, 5) = -6.0588182388340535}, datatype = float[8], order = C_order), Array(1..3, 1..5, {(1, 1) = .0, (1, 2) = .0, (1, 3) = .0, (1, 4) = .0, (1, 5) = .0, (2, 1) = 10.126235083446911, (2, 2) = -7.487995877607633, (2, 3) = -34.800918615557414, (2, 4) = -7.9927717075687275, (2, 5) = 1.0251377232956207, (3, 1) = -.6762803392806898, (3, 2) = 6.087714651678606, (3, 3) = 16.43084320892463, (3, 4) = 24.767225114183653, (3, 5) = -6.5943891257167815}, datatype = float[8], order = C_order)]), ( 9 ) = ([Array(1..2, {(1) = .1, (2) = .1}, datatype = float[8], order = C_order), Array(1..2, {(1) = .0, (2) = .0}, datatype = float[8], order = C_order), Array(1..2, {(1) = .0, (2) = .0}, datatype = float[8], order = C_order), Array(1..2, {(1) = .0, (2) = .0}, datatype = float[8], order = C_order), Array(1..2, {(1) = .0, (2) = .0}, datatype = float[8], order = C_order), Array(1..2, 1..2, {(1, 1) = .0, (1, 2) = .0, (2, 1) = .0, (2, 2) = .0}, datatype = float[8], order = C_order), Array(1..2, 1..2, {(1, 1) = .0, (1, 2) = .0, (2, 1) = .0, (2, 2) = .0}, datatype = float[8], order = C_order), Array(1..2, 1..6, {(1, 1) = .0, (1, 2) = .0, (1, 3) = .0, (1, 4) = .0, (1, 5) = .0, (1, 6) = .0, (2, 1) = .0, (2, 2) = .0, (2, 3) = .0, (2, 4) = .0, (2, 5) = .0, (2, 6) = .0}, datatype = float[8], order = C_order), Array(1..2, {(1) = 0, (2) = 0}, datatype = integer[8]), Array(1..2, {(1) = .0, (2) = .0}, datatype = float[8], order = C_order), Array(1..2, {(1) = .0, (2) = .0}, datatype = float[8], order = C_order), Array(1..2, {(1) = .0, (2) = .0}, datatype = float[8], order = C_order), Array(1..2, {(1) = .0, (2) = .0}, datatype = float[8], order = C_order), Array(1..2, {(1) = .0, (2) = .0}, datatype = float[8], order = C_order)]), ( 8 ) = ([Array(1..2, {(1) = 1.0, (2) = .0}, datatype = float[8], order = C_order), Array(1..2, {(1) = .0, (2) = .0}, datatype = float[8], order = C_order), Array(1..2, {(1) = .0, (2) = -1.209450437063038}, datatype = float[8], order = C_order), 0, 0]), ( 11 ) = (Array(1..6, 0..2, {(1, 1) = .0, (1, 2) = .0, (2, 0) = .0, (2, 1) = .0, (2, 2) = .0, (3, 0) = .0, (3, 1) = .0, (3, 2) = .0, (4, 0) = .0, (4, 1) = .0, (4, 2) = .0, (5, 0) = .0, (5, 1) = .0, (5, 2) = .0, (6, 0) = .0, (6, 1) = .0, (6, 2) = .0}, datatype = float[8], order = C_order)), ( 10 ) = ([proc (N, X, Y, YP) option `[Y[1] = beta__p(x), Y[2] = z__p(x)]`; YP[1] := (1/2)*Y[2]*((2401/20736)*(-(1/20000)*__z(X)+7/400)^2*(exp(-(1/40000)*(__z(X)-350)^2))^2/(1-(49/144)*exp(-(1/40000)*(__z(X)-350)^2))-(49/2880000)*exp(-(1/40000)*(__z(X)-350)^2)+(49/144)*(-(1/20000)*__z(X)+7/400)^2*exp(-(1/40000)*(__z(X)-350)^2))/(1-(49/144)*exp(-(1/40000)*(__z(X)-350)^2)); YP[2] := -Y[1]/sin(__beta(X))^2; 0 end proc, -1, 0, 0, 0, 0, 0, 0]), ( 13 ) = (), ( 12 ) = (), ( 15 ) = ("rkf45"), ( 14 ) = ([0, 0]), ( 18 ) = ([]), ( 19 ) = (0), ( 16 ) = ([0, 0, 0, []]), ( 17 ) = ([proc (N, X, Y, YP) option `[Y[1] = beta__p(x), Y[2] = z__p(x)]`; YP[1] := (1/2)*Y[2]*((2401/20736)*(-(1/20000)*__z(X)+7/400)^2*(exp(-(1/40000)*(__z(X)-350)^2))^2/(1-(49/144)*exp(-(1/40000)*(__z(X)-350)^2))-(49/2880000)*exp(-(1/40000)*(__z(X)-350)^2)+(49/144)*(-(1/20000)*__z(X)+7/400)^2*exp(-(1/40000)*(__z(X)-350)^2))/(1-(49/144)*exp(-(1/40000)*(__z(X)-350)^2)); YP[2] := -Y[1]/sin(__beta(X))^2; 0 end proc, -1, 0, 0, 0, 0, 0, 0]), ( 22 ) = (0), ( 23 ) = (0), ( 20 ) = ([]), ( 21 ) = (0), ( 24 ) = (0)  ] ))  ] ); _y0 := Array(0..2, {(1) = 0., (2) = 1.}); _vmap := array( 1 .. 2, [( 1 ) = (1), ( 2 ) = (2)  ] ); _x0 := _dtbl[1][5][5]; _n := _dtbl[1][4][1]; _ne := _dtbl[1][4][3]; _nd := _dtbl[1][4][4]; _nv := _dtbl[1][4][16]; if not type(_xout, 'numeric') then if member(_xout, ["start", "left", "right"]) then if _Env_smart_dsolve_numeric = true or _dtbl[1][4][10] = 1 then if _xout = "left" then if type(_dtbl[2], 'table') then return _dtbl[2][5][1] end if elif _xout = "right" then if type(_dtbl[3], 'table') then return _dtbl[3][5][1] end if end if end if; return _dtbl[1][5][5] elif _xout = "method" then return _dtbl[1][15] elif _xout = "storage" then return evalb(_dtbl[1][4][10] = 1) elif _xout = "leftdata" then if not type(_dtbl[2], 'array') then return NULL else return eval(_dtbl[2]) end if elif _xout = "rightdata" then if not type(_dtbl[3], 'array') then return NULL else return eval(_dtbl[3]) end if elif _xout = "enginedata" then return eval(_dtbl[1]) elif _xout = "enginereset" then _dtbl[2] := evaln(_dtbl[2]); _dtbl[3] := evaln(_dtbl[3]); return NULL elif _xout = "initial" then return procname(_y0[0]) elif _xout = "laxtol" then return _dtbl[`if`(member(_dtbl[4], {2, 3}), _dtbl[4], 1)][5][18] elif _xout = "numfun" then return `if`(member(_dtbl[4], {2, 3}), _dtbl[_dtbl[4]][4][18], 0) elif _xout = "parameters" then return [seq(_y0[_n+_i], _i = 1 .. nops(_pars))] elif _xout = "initial_and_parameters" then return procname(_y0[0]), [seq(_y0[_n+_i], _i = 1 .. nops(_pars))] elif _xout = "last" then if _dtbl[4] <> 2 and _dtbl[4] <> 3 or _x0-_dtbl[_dtbl[4]][5][1] = 0. then error "no information is available on last computed point" else _xout := _dtbl[_dtbl[4]][5][1] end if elif _xout = "function" then if _dtbl[1][4][33]-2. = 0 then return eval(_dtbl[1][10], 1) else return eval(_dtbl[1][10][1], 1) end if elif _xout = "map" then return copy(_vmap) elif type(_xin, `=`) and type(rhs(_xin), 'list') and member(lhs(_xin), {"initial", "parameters", "initial_and_parameters"}) then _ini, _par := [], []; if lhs(_xin) = "initial" then _ini := rhs(_xin) elif lhs(_xin) = "parameters" then _par := rhs(_xin) elif select(type, rhs(_xin), `=`) <> [] then _par, _ini := selectremove(type, rhs(_xin), `=`) elif nops(rhs(_xin)) < nops(_pars)+1 then error "insufficient data for specification of initial and parameters" else _par := rhs(_xin)[-nops(_pars) .. -1]; _ini := rhs(_xin)[1 .. -nops(_pars)-1] end if; _xout := lhs(_xout); if _par <> [] then `dsolve/numeric/process_parameters`(_n, _pars, _par, _y0) end if; if _ini <> [] then `dsolve/numeric/process_initial`(_n-_ne, _ini, _y0, _pars, _vmap) end if; `dsolve/numeric/SC/reinitialize`(_dtbl, _y0, _n, procname, _pars); if _Env_smart_dsolve_numeric = true and type(_y0[0], 'numeric') and _dtbl[1][4][10] <> 1 then procname("right") := _y0[0]; procname("left") := _y0[0] end if; if _xout = "initial" then return [_y0[0], seq(_y0[_vmap[_i]], _i = 1 .. _n-_ne)] elif _xout = "parameters" then return [seq(_y0[_n+_i], _i = 1 .. nops(_pars))] else return [_y0[0], seq(_y0[_vmap[_i]], _i = 1 .. _n-_ne)], [seq(_y0[_n+_i], _i = 1 .. nops(_pars))] end if elif _xin = "eventstop" then if _nv = 0 then error "this solution has no events" end if; _i := _dtbl[4]; if _i <> 2 and _i <> 3 then return 0 end if; if _dtbl[_i][4][10] = 1 and assigned(_dtbl[5-_i]) and _dtbl[_i][4][9] < 100 and 100 <= _dtbl[5-_i][4][9] then _i := 5-_i; _dtbl[4] := _i; _j := round(_dtbl[_i][4][17]); return round(_dtbl[_i][3][1][_j, 1]) elif 100 <= _dtbl[_i][4][9] then _j := round(_dtbl[_i][4][17]); return round(_dtbl[_i][3][1][_j, 1]) else return 0 end if elif _xin = "eventstatus" then if _nv = 0 then error "this solution has no events" end if; _i := [selectremove(proc (a) options operator, arrow; _dtbl[1][3][1][a, 7] = 1 end proc, {seq(_j, _j = 1 .. round(_dtbl[1][3][1][_nv+1, 1]))})]; return ':-enabled' = _i[1], ':-disabled' = _i[2] elif _xin = "eventclear" then if _nv = 0 then error "this solution has no events" end if; _i := _dtbl[4]; if _i <> 2 and _i <> 3 then error "no events to clear" end if; if _dtbl[_i][4][10] = 1 and assigned(_dtbl[5-_i]) and _dtbl[_i][4][9] < 100 and 100 < _dtbl[5-_i][4][9] then _dtbl[4] := 5-_i; _i := 5-_i end if; if _dtbl[_i][4][9] < 100 then error "no events to clear" elif _nv < _dtbl[_i][4][9]-100 then error "event error condition cannot be cleared" else _j := _dtbl[_i][4][9]-100; if irem(round(_dtbl[_i][3][1][_j, 4]), 2) = 1 then error "retriggerable events cannot be cleared" end if; _j := round(_dtbl[_i][3][1][_j, 1]); for _k to _nv do if _dtbl[_i][3][1][_k, 1] = _j then if _dtbl[_i][3][1][_k, 2] = 3 then error "range events cannot be cleared" end if; _dtbl[_i][3][1][_k, 8] := _dtbl[_i][3][1][_nv+1, 8] end if end do; _dtbl[_i][4][17] := 0; _dtbl[_i][4][9] := 0; if _dtbl[1][4][10] = 1 then if _i = 2 then try procname(procname("left")) catch:  end try else try procname(procname("right")) catch:  end try end if end if end if; return  elif type(_xin, `=`) and member(lhs(_xin), {"eventdisable", "eventenable"}) then if _nv = 0 then error "this solution has no events" end if; if type(rhs(_xin), {('list')('posint'), ('set')('posint')}) then _i := {op(rhs(_xin))} elif type(rhs(_xin), 'posint') then _i := {rhs(_xin)} else error "event identifiers must be integers in the range 1..%1", round(_dtbl[1][3][1][_nv+1, 1]) end if; if select(proc (a) options operator, arrow; _nv < a end proc, _i) <> {} then error "event identifiers must be integers in the range 1..%1", round(_dtbl[1][3][1][_nv+1, 1]) end if; _k := {}; for _j to _nv do if member(round(_dtbl[1][3][1][_j, 1]), _i) then _k := `union`(_k, {_j}) end if end do; _i := _k; if lhs(_xin) = "eventdisable" then _dtbl[4] := 0; _j := [evalb(assigned(_dtbl[2]) and member(_dtbl[2][4][17], _i)), evalb(assigned(_dtbl[3]) and member(_dtbl[3][4][17], _i))]; for _k in _i do _dtbl[1][3][1][_k, 7] := 0; if assigned(_dtbl[2]) then _dtbl[2][3][1][_k, 7] := 0 end if; if assigned(_dtbl[3]) then _dtbl[3][3][1][_k, 7] := 0 end if end do; if _j[1] then for _k to _nv+1 do if _k <= _nv and not type(_dtbl[2][3][4][_k, 1], 'undefined') then userinfo(3, {'events', 'eventreset'}, `reinit #2, event code `, _k, ` to defined init `, _dtbl[2][3][4][_k, 1]); _dtbl[2][3][1][_k, 8] := _dtbl[2][3][4][_k, 1] elif _dtbl[2][3][1][_k, 2] = 0 and irem(iquo(round(_dtbl[2][3][1][_k, 4]), 32), 2) = 1 then userinfo(3, {'events', 'eventreset'}, `reinit #2, event code `, _k, ` to rate hysteresis init `, _dtbl[2][5][24]); _dtbl[2][3][1][_k, 8] := _dtbl[2][5][24] elif _dtbl[2][3][1][_k, 2] = 0 and irem(iquo(round(_dtbl[2][3][1][_k, 4]), 2), 2) = 0 then userinfo(3, {'events', 'eventreset'}, `reinit #2, event code `, _k, ` to initial init `, _x0); _dtbl[2][3][1][_k, 8] := _x0 else userinfo(3, {'events', 'eventreset'}, `reinit #2, event code `, _k, ` to fireinitial init `, _x0-1); _dtbl[2][3][1][_k, 8] := _x0-1 end if end do; _dtbl[2][4][17] := 0; _dtbl[2][4][9] := 0; if _dtbl[1][4][10] = 1 then procname(procname("left")) end if end if; if _j[2] then for _k to _nv+1 do if _k <= _nv and not type(_dtbl[3][3][4][_k, 2], 'undefined') then userinfo(3, {'events', 'eventreset'}, `reinit #3, event code `, _k, ` to defined init `, _dtbl[3][3][4][_k, 2]); _dtbl[3][3][1][_k, 8] := _dtbl[3][3][4][_k, 2] elif _dtbl[3][3][1][_k, 2] = 0 and irem(iquo(round(_dtbl[3][3][1][_k, 4]), 32), 2) = 1 then userinfo(3, {'events', 'eventreset'}, `reinit #3, event code `, _k, ` to rate hysteresis init `, _dtbl[3][5][24]); _dtbl[3][3][1][_k, 8] := _dtbl[3][5][24] elif _dtbl[3][3][1][_k, 2] = 0 and irem(iquo(round(_dtbl[3][3][1][_k, 4]), 2), 2) = 0 then userinfo(3, {'events', 'eventreset'}, `reinit #3, event code `, _k, ` to initial init `, _x0); _dtbl[3][3][1][_k, 8] := _x0 else userinfo(3, {'events', 'eventreset'}, `reinit #3, event code `, _k, ` to fireinitial init `, _x0+1); _dtbl[3][3][1][_k, 8] := _x0+1 end if end do; _dtbl[3][4][17] := 0; _dtbl[3][4][9] := 0; if _dtbl[1][4][10] = 1 then procname(procname("right")) end if end if else for _k in _i do _dtbl[1][3][1][_k, 7] := 1 end do; _dtbl[2] := evaln(_dtbl[2]); _dtbl[3] := evaln(_dtbl[3]); _dtbl[4] := 0; if _dtbl[1][4][10] = 1 then if _x0 <= procname("right") then try procname(procname("right")) catch:  end try end if; if procname("left") <= _x0 then try procname(procname("left")) catch:  end try end if end if end if; return  elif type(_xin, `=`) and lhs(_xin) = "eventfired" then if not type(rhs(_xin), 'list') then error "'eventfired' must be specified as a list" end if; if _nv = 0 then error "this solution has no events" end if; if _dtbl[4] <> 2 and _dtbl[4] <> 3 then error "'direction' must be set prior to calling/setting 'eventfired'" end if; _i := _dtbl[4]; _val := NULL; if not assigned(_EnvEventRetriggerWarned) then _EnvEventRetriggerWarned := false end if; for _k in rhs(_xin) do if type(_k, 'integer') then _src := _k elif type(_k, 'integer' = 'anything') and type(evalf(rhs(_k)), 'numeric') then _k := lhs(_k) = evalf[max(Digits, 18)](rhs(_k)); _src := lhs(_k) else error "'eventfired' entry is not valid: %1", _k end if; if _src < 1 or round(_dtbl[1][3][1][_nv+1, 1]) < _src then error "event identifiers must be integers in the range 1..%1", round(_dtbl[1][3][1][_nv+1, 1]) end if; _src := {seq(`if`(_dtbl[1][3][1][_j, 1]-_src = 0., _j, NULL), _j = 1 .. _nv)}; if nops(_src) <> 1 then error "'eventfired' can only be set/queried for root-finding events and time/interval events" end if; _src := _src[1]; if _dtbl[1][3][1][_src, 2] <> 0. and _dtbl[1][3][1][_src, 2]-2. <> 0. then error "'eventfired' can only be set/queried for root-finding events and time/interval events" elif irem(round(_dtbl[1][3][1][_src, 4]), 2) = 1 then if _EnvEventRetriggerWarned = false then WARNING(`'eventfired' has no effect on events that retrigger`) end if; _EnvEventRetriggerWarned := true end if; if _dtbl[_i][3][1][_src, 2] = 0 and irem(iquo(round(_dtbl[_i][3][1][_src, 4]), 32), 2) = 1 then _val := _val, undefined elif type(_dtbl[_i][3][4][_src, _i-1], 'undefined') or _i = 2 and _dtbl[2][3][1][_src, 8] < _dtbl[2][3][4][_src, 1] or _i = 3 and _dtbl[3][3][4][_src, 2] < _dtbl[3][3][1][_src, 8] then _val := _val, _dtbl[_i][3][1][_src, 8] else _val := _val, _dtbl[_i][3][4][_src, _i-1] end if; if type(_k, `=`) then if _dtbl[_i][3][1][_src, 2] = 0 and irem(iquo(round(_dtbl[_i][3][1][_src, 4]), 32), 2) = 1 then error "cannot set event code for a rate hysteresis event" end if; userinfo(3, {'events', 'eventreset'}, `manual set event code `, _src, ` to value `, rhs(_k)); _dtbl[_i][3][1][_src, 8] := rhs(_k); _dtbl[_i][3][4][_src, _i-1] := rhs(_k) end if end do; return [_val] elif type(_xin, `=`) and lhs(_xin) = "direction" then if not member(rhs(_xin), {-1, 1, ':-left', ':-right'}) then error "'direction' must be specified as either '1' or 'right' (positive) or '-1' or 'left' (negative)" end if; _src := `if`(_dtbl[4] = 2, -1, `if`(_dtbl[4] = 3, 1, undefined)); _i := `if`(member(rhs(_xin), {1, ':-right'}), 3, 2); _dtbl[4] := _i; _dtbl[_i] := `dsolve/numeric/SC/IVPdcopy`(_dtbl[1], `if`(assigned(_dtbl[_i]), _dtbl[_i], NULL)); if 0 < _nv then for _j to _nv+1 do if _j <= _nv and not type(_dtbl[_i][3][4][_j, _i-1], 'undefined') then userinfo(3, {'events', 'eventreset'}, `reinit #4, event code `, _j, ` to defined init `, _dtbl[_i][3][4][_j, _i-1]); _dtbl[_i][3][1][_j, 8] := _dtbl[_i][3][4][_j, _i-1] elif _dtbl[_i][3][1][_j, 2] = 0 and irem(iquo(round(_dtbl[_i][3][1][_j, 4]), 32), 2) = 1 then userinfo(3, {'events', 'eventreset'}, `reinit #4, event code `, _j, ` to rate hysteresis init `, _dtbl[_i][5][24]); _dtbl[_i][3][1][_j, 8] := _dtbl[_i][5][24] elif _dtbl[_i][3][1][_j, 2] = 0 and irem(iquo(round(_dtbl[_i][3][1][_j, 4]), 2), 2) = 0 then userinfo(3, {'events', 'eventreset'}, `reinit #4, event code `, _j, ` to initial init `, _x0); _dtbl[_i][3][1][_j, 8] := _x0 else userinfo(3, {'events', 'eventreset'}, `reinit #4, event code `, _j, ` to fireinitial init `, _x0-2*_i+5.0); _dtbl[_i][3][1][_j, 8] := _x0-2*_i+5.0 end if end do end if; return _src elif _xin = "eventcount" then if _dtbl[1][3][1] = 0 or _dtbl[4] <> 2 and _dtbl[4] <> 3 then return 0 else return round(_dtbl[_dtbl[4]][3][1][_nv+1, 12]) end if else return "procname" end if end if; if _xout = _x0 then return [_x0, seq(evalf(_dtbl[1][6][_vmap[_i]]), _i = 1 .. _n-_ne)] end if; _i := `if`(_x0 <= _xout, 3, 2); if _xin = "last" and 0 < _dtbl[_i][4][9] and _dtbl[_i][4][9] < 100 then _dat := eval(_dtbl[_i], 2); _j := _dat[4][20]; return [_dat[11][_j, 0], seq(_dat[11][_j, _vmap[_i]], _i = 1 .. _n-_ne-_nd), seq(_dat[8][1][_vmap[_i]], _i = _n-_ne-_nd+1 .. _n-_ne)] end if; if not type(_dtbl[_i], 'array') then _dtbl[_i] := `dsolve/numeric/SC/IVPdcopy`(_dtbl[1], `if`(assigned(_dtbl[_i]), _dtbl[_i], NULL)); if 0 < _nv then for _j to _nv+1 do if _j <= _nv and not type(_dtbl[_i][3][4][_j, _i-1], 'undefined') then userinfo(3, {'events', 'eventreset'}, `reinit #5, event code `, _j, ` to defined init `, _dtbl[_i][3][4][_j, _i-1]); _dtbl[_i][3][1][_j, 8] := _dtbl[_i][3][4][_j, _i-1] elif _dtbl[_i][3][1][_j, 2] = 0 and irem(iquo(round(_dtbl[_i][3][1][_j, 4]), 32), 2) = 1 then userinfo(3, {'events', 'eventreset'}, `reinit #5, event code `, _j, ` to rate hysteresis init `, _dtbl[_i][5][24]); _dtbl[_i][3][1][_j, 8] := _dtbl[_i][5][24] elif _dtbl[_i][3][1][_j, 2] = 0 and irem(iquo(round(_dtbl[_i][3][1][_j, 4]), 2), 2) = 0 then userinfo(3, {'events', 'eventreset'}, `reinit #5, event code `, _j, ` to initial init `, _x0); _dtbl[_i][3][1][_j, 8] := _x0 else userinfo(3, {'events', 'eventreset'}, `reinit #5, event code `, _j, ` to fireinitial init `, _x0-2*_i+5.0); _dtbl[_i][3][1][_j, 8] := _x0-2*_i+5.0 end if end do end if end if; if _xin <> "last" then if 0 < 0 then if `dsolve/numeric/checkglobals`(op(_dtbl[1][14]), _pars, _n, _y0) then `dsolve/numeric/SC/reinitialize`(_dtbl, _y0, _n, procname, _pars, _i) end if end if; if _dtbl[1][4][7] = 0 then error "parameters must be initialized before solution can be computed" end if end if; _dat := eval(_dtbl[_i], 2); _dtbl[4] := _i; try _src := `dsolve/numeric/SC/IVPrun`(_dat, _xout) catch: userinfo(2, `dsolve/debug`, print(`Exception in solnproc:`, [lastexception][2 .. -1])); error  end try; if _src = 0 and 100 < _dat[4][9] then _val := _dat[3][1][_nv+1, 8] else _val := _dat[11][_dat[4][20], 0] end if; if _src <> 0 or _dat[4][9] <= 0 then _dtbl[1][5][1] := _xout else _dtbl[1][5][1] := _val end if; if _i = 3 and _val < _xout then Rounding := -infinity; if _dat[4][9] = 1 then error "cannot evaluate the solution further right of %1, probably a singularity", evalf[8](_val) elif _dat[4][9] = 2 then error "cannot evaluate the solution further right of %1, maxfun limit exceeded (see ?dsolve,maxfun for details)", evalf[8](_val) elif _dat[4][9] = 3 then if _dat[4][25] = 3 then error "cannot evaluate the solution past the initial point, problem may be initially singular or improperly set up" else error "cannot evaluate the solution past the initial point, problem may be complex, initially singular or improperly set up" end if elif _dat[4][9] = 4 then error "cannot evaluate the solution further right of %1, accuracy goal cannot be achieved with specified 'minstep'", evalf[8](_val) elif _dat[4][9] = 5 then error "cannot evaluate the solution further right of %1, too many step failures, tolerances may be too loose for problem", evalf[8](_val) elif _dat[4][9] = 6 then error "cannot evaluate the solution further right of %1, cannot downgrade delay storage for problems with delay derivative order > 1, try increasing delaypts", evalf[8](_val) elif _dat[4][9] = 10 then error "cannot evaluate the solution further right of %1, interrupt requested", evalf[8](_val) elif 100 < _dat[4][9] then if _dat[4][9]-100 = _nv+1 then error "constraint projection failure on event at t=%1", evalf[8](_val) elif _dat[4][9]-100 = _nv+2 then error "index-1 and derivative evaluation failure on event at t=%1", evalf[8](_val) elif _dat[4][9]-100 = _nv+3 then error "maximum number of event iterations reached (%1) at t=%2", round(_dat[3][1][_nv+1, 3]), evalf[8](_val) else if _Env_dsolve_nowarnstop <> true then `dsolve/numeric/warning`(StringTools:-FormatMessage("cannot evaluate the solution further right of %1, event #%2 triggered a halt", evalf[8](_val), round(_dat[3][1][_dat[4][9]-100, 1]))) end if; Rounding := 'nearest'; _xout := _val end if else error "cannot evaluate the solution further right of %1", evalf[8](_val) end if elif _i = 2 and _xout < _val then Rounding := infinity; if _dat[4][9] = 1 then error "cannot evaluate the solution further left of %1, probably a singularity", evalf[8](_val) elif _dat[4][9] = 2 then error "cannot evaluate the solution further left of %1, maxfun limit exceeded (see ?dsolve,maxfun for details)", evalf[8](_val) elif _dat[4][9] = 3 then if _dat[4][25] = 3 then error "cannot evaluate the solution past the initial point, problem may be initially singular or improperly set up" else error "cannot evaluate the solution past the initial point, problem may be complex, initially singular or improperly set up" end if elif _dat[4][9] = 4 then error "cannot evaluate the solution further left of %1, accuracy goal cannot be achieved with specified 'minstep'", evalf[8](_val) elif _dat[4][9] = 5 then error "cannot evaluate the solution further left of %1, too many step failures, tolerances may be too loose for problem", evalf[8](_val) elif _dat[4][9] = 6 then error "cannot evaluate the solution further left of %1, cannot downgrade delay storage for problems with delay derivative order > 1, try increasing delaypts", evalf[8](_val) elif _dat[4][9] = 10 then error "cannot evaluate the solution further right of %1, interrupt requested", evalf[8](_val) elif 100 < _dat[4][9] then if _dat[4][9]-100 = _nv+1 then error "constraint projection failure on event at t=%1", evalf[8](_val) elif _dat[4][9]-100 = _nv+2 then error "index-1 and derivative evaluation failure on event at t=%1", evalf[8](_val) elif _dat[4][9]-100 = _nv+3 then error "maximum number of event iterations reached (%1) at t=%2", round(_dat[3][1][_nv+1, 3]), evalf[8](_val) else if _Env_dsolve_nowarnstop <> true then `dsolve/numeric/warning`(StringTools:-FormatMessage("cannot evaluate the solution further left of %1, event #%2 triggered a halt", evalf[8](_val), round(_dat[3][1][_dat[4][9]-100, 1]))) end if; Rounding := 'nearest'; _xout := _val end if else error "cannot evaluate the solution further left of %1", evalf[8](_val) end if end if; if _EnvInFsolve = true then _dig := _dat[4][26]; _dat[4][26] := _EnvDSNumericSaveDigits; _Env_dsolve_SC_native := true; if _dat[4][25] = 1 then _i := 1; _dat[4][25] := 2 else _i := _dat[4][25] end if; _val := `dsolve/numeric/SC/IVPval`(_dat, _xout, _src); _dat[4][25] := _i; _dat[4][26] := _dig; [_xout, seq(_val[_vmap[_i]], _i = 1 .. _n-_ne)] else Digits := _dat[4][26]; _val := `dsolve/numeric/SC/IVPval`(eval(_dat, 2), _xout, _src); [_xout, seq(_val[_vmap[_i]], _i = 1 .. _n-_ne)] end if end proc, (2) = Array(0..0, {}), (3) = [x, beta__p(x), z__p(x)], (4) = []}); _vars := _dat[3]; _pars := map(rhs, _dat[4]); _n := nops(_vars)-1; _solnproc := _dat[1]; if not type(_xout, 'numeric') then if member(x_rkf45, ["start", 'start', "method", 'method', "left", 'left', "right", 'right', "leftdata", "rightdata", "enginedata", "eventstop", 'eventstop', "eventclear", 'eventclear', "eventstatus", 'eventstatus', "eventcount", 'eventcount', "laxtol", 'laxtol', "numfun", 'numfun', NULL]) then _res := _solnproc(convert(x_rkf45, 'string')); if 1 < nops([_res]) then return _res elif type(_res, 'array') then return eval(_res, 1) elif _res <> "procname" then return _res end if elif member(x_rkf45, ["last", 'last', "initial", 'initial', "parameters", 'parameters', "initial_and_parameters", 'initial_and_parameters', NULL]) then _xout := convert(x_rkf45, 'string'); _res := _solnproc(_xout); if _xout = "parameters" then return [seq(_pars[_i] = _res[_i], _i = 1 .. nops(_pars))] elif _xout = "initial_and_parameters" then return [seq(_vars[_i+1] = [_res][1][_i+1], _i = 0 .. _n), seq(_pars[_i] = [_res][2][_i], _i = 1 .. nops(_pars))] else return [seq(_vars[_i+1] = _res[_i+1], _i = 0 .. _n)] end if elif type(_xout, `=`) and member(lhs(_xout), ["initial", 'initial', "parameters", 'parameters', "initial_and_parameters", 'initial_and_parameters', NULL]) then _xout := convert(lhs(x_rkf45), 'string') = rhs(x_rkf45); if type(rhs(_xout), 'list') then _res := _solnproc(_xout) else error "initial and/or parameter values must be specified in a list" end if; if lhs(_xout) = "initial" then return [seq(_vars[_i+1] = _res[_i+1], _i = 0 .. _n)] elif lhs(_xout) = "parameters" then return [seq(_pars[_i] = _res[_i], _i = 1 .. nops(_pars))] else return [seq(_vars[_i+1] = [_res][1][_i+1], _i = 0 .. _n), seq(_pars[_i] = [_res][2][_i], _i = 1 .. nops(_pars))] end if elif type(_xout, `=`) and member(lhs(_xout), ["eventdisable", 'eventdisable', "eventenable", 'eventenable', "eventfired", 'eventfired', "direction", 'direction', NULL]) then return _solnproc(convert(lhs(x_rkf45), 'string') = rhs(x_rkf45)) elif _xout = "solnprocedure" then return eval(_solnproc) elif _xout = "sysvars" then return _vars end if; if procname <> unknown then return ('procname')(x_rkf45) else _ndsol; _ndsol := pointto(_dat[2][0]); return ('_ndsol')(x_rkf45) end if end if; try _res := _solnproc(_xout); [seq(_vars[_i+1] = _res[_i+1], _i = 0 .. _n)] catch: error  end try end proc

(4)

with(plots):

xmax := 1;
display(
  odeplot(sol_1, [x, z(x)], x=0..xmax, color=red, linestyle=1, legend=typeset('z(x)')),
  odeplot(sol_2, [x, z__p(x)], x=0..xmax, color=red, linestyle=3, legend=typeset('z__p(x)')),
  odeplot(sol_1, [x, beta(x)], x=0..xmax, color=blue, linestyle=1, legend=typeset('beta(x)')),
  odeplot(sol_2, [x, beta__p(x)], x=0..xmax, color=blue, linestyle=3, legend=typeset('beta__p(x)')),
  title=typeset(beta__n=B)
)

1

 

 

 


 

Download Solution_mmcdra.mw


UPDATED VERSION OF THE PREVIOUS WORKSHEET
(values of the parameter have been changed to obtain more complex figures)
Solution_2_mmcdara.mw


Begin to observe what happens here:

  • when theta(x) is aliased as theta, dsolve can't solve equation b5 even after f(=f(x)) has been set to an explicit expression (which is of course necessary because dsolve/bvp doesn't handle the parameters option);
  • but as soon as theta is "unaliased", the solution is computed.

 

restart

alias(theta=theta(x))

theta

(1)

# Equation b5 with f set to 1

b5 := {1.116150082*(diff(theta, x, x))+3.100000000*(diff(theta, x)) = 0, theta(0) = 1, theta(10) = 0};
dsolve(%, numeric)

{1.116150082*(diff(diff(theta, x), x))+3.100000000*(diff(theta, x)) = 0, theta(0) = 1, theta(10) = 0}

 

Error, (in dsolve/numeric/type_check) insufficient initial/boundary value information for procedure defined problem

 

alias(theta=theta)

b5 := {1.116150082*(diff(theta(x), x, x))+3.100000000*(diff(theta(x), x)) = 0, theta(0) = 1, theta(10) = 0};
dsolve(%, numeric)

{1.116150082*(diff(diff(theta(x), x), x))+3.100000000*(diff(theta(x), x)) = 0, theta(0) = 1, theta(10) = 0}

 

proc (x_bvp) local res, data, solnproc, _ndsol, outpoint, i; option `Copyright (c) 2000 by Waterloo Maple Inc. All rights reserved.`; _EnvDSNumericSaveDigits := Digits; Digits := 15; if _EnvInFsolve = true then outpoint := evalf[_EnvDSNumericSaveDigits](x_bvp) else outpoint := evalf(x_bvp) end if; data := Array(1..4, {(1) = proc (outpoint) local X, Y, YP, yout, errproc, L, V, i; option `Copyright (c) 2000 by Waterloo Maple Inc. All rights reserved.`; X := Vector(29, {(1) = .0, (2) = .24374318067304568, (3) = .49274258355762024, (4) = .7473536706781976, (5) = 1.0079738719876108, (6) = 1.2750498684188607, (7) = 1.5495922123637438, (8) = 1.8365692463351309, (9) = 2.1388880659925067, (10) = 2.459308706102226, (11) = 2.8015337294128964, (12) = 3.165425757696352, (13) = 3.5454274940529715, (14) = 3.943679148413142, (15) = 4.362789400269794, (16) = 4.793431473452039, (17) = 5.229970482881859, (18) = 5.67265552097828, (19) = 6.119529799129436, (20) = 6.567544795324417, (21) = 7.016685779715024, (22) = 7.466703281363788, (23) = 7.916902261881447, (24) = 8.367243768736527, (25) = 8.80161892669395, (26) = 9.162214840757322, (27) = 9.472273694773964, (28) = 9.74849145932385, (29) = 10.0}, datatype = float[8], order = C_order); Y := Matrix(29, 2, {(1, 1) = 1.0, (1, 2) = -2.7774042666805845, (2, 1) = .508152675715705, (2, 2) = -1.4113454096591374, (3, 1) = .25447686909782924, (3, 2) = -.7067851420056209, (4, 1) = .12546815948499368, (4, 2) = -.3484758014882851, (5, 1) = 0.60837376408102974e-1, (5, 2) = -.16896998881177702, (6, 1) = 0.28974795019104462e-1, (6, 2) = -0.8047471931459176e-1, (7, 1) = 0.13516500838472782e-1, (7, 2) = -0.3754078710173882e-1, (8, 1) = 0.6091290595553212e-2, (8, 2) = -0.169179764920715e-1, (9, 1) = 0.26305643698211712e-2, (9, 2) = -0.7306140706918243e-2, (10, 1) = 0.10803237905302751e-2, (10, 2) = -0.30004959076180542e-2, (11, 1) = 0.4175978688863679e-3, (11, 2) = -0.11598381052060388e-2, (12, 1) = 0.1519944214917592e-3, (12, 2) = -0.4221499571678193e-3, (13, 1) = 0.5290117663947534e-4, (13, 2) = -0.14692795611610045e-3, (14, 1) = 0.17502082688580547e-4, (14, 2) = -0.48610361540343545e-4, (15, 1) = 0.5464545779075538e-5, (15, 2) = -0.15177255167588248e-4, (16, 1) = 0.16523725776950877e-5, (16, 2) = -0.4589309052757969e-5, (17, 1) = 0.4915270467377551e-6, (17, 2) = -0.13651717221227766e-5, (18, 1) = 0.14373746579469595e-6, (18, 2) = -0.3992194561053079e-6, (19, 1) = 0.41546199234580085e-7, (19, 2) = -0.11539299634399499e-6, (20, 1) = 0.1197003903545623e-7, (20, 2) = -0.33248042814991e-7, (21, 1) = 0.34374706753914073e-8, (21, 2) = -0.9549651046023708e-8, (22, 1) = 0.9842865766510807e-9, (22, 2) = -0.27361670632352488e-8, (23, 1) = 0.28125060673050934e-9, (23, 2) = -0.7835519607496222e-9, (24, 1) = 0.7988887568723668e-10, (24, 2) = -0.22428902980433255e-9, (25, 1) = 0.23297431915229132e-10, (25, 2) = -0.6711171241448045e-10, (26, 1) = 0.8008779251018597e-11, (26, 2) = -0.24648943273141375e-10, (27, 1) = 0.2884816962118233e-11, (27, 2) = -0.10417628549651404e-10, (28, 1) = 0.8754822865787816e-12, (28, 2) = -0.4836893848623719e-11, (29, 1) = .0, (29, 2) = -0.24053256104786425e-11}, datatype = float[8], order = C_order); YP := Matrix(29, 2, {(1, 1) = -2.7774042666805845, (1, 2) = 7.713974460568838, (2, 1) = -1.4113454096591374, (2, 2) = 3.9198767625439523, (3, 1) = -.7067851420056209, (3, 2) = 1.963028069031155, (4, 1) = -.3484758014882851, (4, 2) = .9678581778876616, (5, 1) = -.16896998881177702, (5, 2) = .4692979678663939, (6, 1) = -0.8047471931459176e-1, (6, 2) = .2235108287840761, (7, 1) = -0.3754078710173882e-1, (7, 2) = .10426594227082658, (8, 1) = -0.169179764920715e-1, (8, 2) = 0.4698806009264053e-1, (9, 1) = -0.7306140706918243e-2, (9, 2) = 0.20292106372345863e-1, (10, 1) = -0.30004959076180542e-2, (10, 2) = 0.8333590135968802e-2, (11, 1) = -0.11598381052060388e-2, (11, 2) = 0.32213393020551883e-2, (12, 1) = -0.4221499571678193e-3, (12, 2) = 0.11724810922159124e-2, (13, 1) = -0.14692795611610045e-3, (13, 2) = 0.4080783322111618e-3, (14, 1) = -0.48610361540343545e-4, (14, 2) = 0.13501062554691908e-3, (15, 1) = -0.15177255167588248e-4, (15, 2) = 0.4215337325892306e-4, (16, 1) = -0.4589309052757969e-5, (16, 2) = 0.1274636654423478e-4, (17, 1) = -0.13651717221227766e-5, (17, 2) = 0.37916337657721987e-5, (18, 1) = -0.3992194561053079e-6, (18, 2) = 0.11087938207278246e-5, (19, 1) = -0.11539299634399499e-6, (19, 2) = 0.3204930003905913e-6, (20, 1) = -0.33248042814991e-7, (20, 2) = 0.9234325597305482e-7, (21, 1) = -0.9549651046023708e-8, (21, 2) = 0.26523241560513994e-7, (22, 1) = -0.27361670632352488e-8, (22, 2) = 0.7599442075773886e-8, (23, 1) = -0.7835519607496222e-9, (23, 2) = 0.21762405589500546e-8, (24, 1) = -0.22428902980433255e-9, (24, 2) = 0.6229413083476627e-9, (25, 1) = -0.6711171241448045e-10, (25, 2) = 0.18639635640405699e-9, (26, 1) = -0.24648943273141375e-10, (26, 2) = 0.6846008021593128e-10, (27, 1) = -0.10417628549651404e-10, (27, 2) = 0.28933965982470232e-10, (28, 1) = -0.4836893848623719e-11, (28, 2) = 0.13434009612636961e-10, (29, 1) = -0.24053256104786425e-11, (29, 2) = 0.668056161329368e-11}, datatype = float[8], order = C_order); errproc := proc (x_bvp) local outpoint, X, Y, yout, L, V, i; option `Copyright (c) 2000 by Waterloo Maple Inc. All rights reserved.`; Digits := 15; outpoint := evalf(x_bvp); X := Vector(29, {(1) = .0, (2) = .24374318067304568, (3) = .49274258355762024, (4) = .7473536706781976, (5) = 1.0079738719876108, (6) = 1.2750498684188607, (7) = 1.5495922123637438, (8) = 1.8365692463351309, (9) = 2.1388880659925067, (10) = 2.459308706102226, (11) = 2.8015337294128964, (12) = 3.165425757696352, (13) = 3.5454274940529715, (14) = 3.943679148413142, (15) = 4.362789400269794, (16) = 4.793431473452039, (17) = 5.229970482881859, (18) = 5.67265552097828, (19) = 6.119529799129436, (20) = 6.567544795324417, (21) = 7.016685779715024, (22) = 7.466703281363788, (23) = 7.916902261881447, (24) = 8.367243768736527, (25) = 8.80161892669395, (26) = 9.162214840757322, (27) = 9.472273694773964, (28) = 9.74849145932385, (29) = 10.0}, datatype = float[8], order = C_order); Y := Matrix(29, 2, {(1, 1) = .0, (1, 2) = -0.31693074070918097e-14, (2, 1) = -0.8243242401984923e-8, (2, 2) = 0.2289481322531172e-7, (3, 1) = -0.49004930607605776e-8, (3, 2) = 0.13610648375542583e-7, (4, 1) = -0.1482142899585946e-8, (4, 2) = 0.4116508265787089e-8, (5, 1) = 0.1568678759376235e-9, (5, 2) = -0.4356874594753211e-9, (6, 1) = 0.5634571260431073e-9, (6, 2) = -0.15649501243504979e-8, (7, 1) = 0.45119030505136056e-9, (7, 2) = -0.12531398378009672e-8, (8, 1) = 0.23371097033722147e-9, (8, 2) = -0.6491117443051906e-9, (9, 1) = 0.6776214667421635e-10, (9, 2) = -0.18820480945831416e-9, (10, 1) = -0.19051746353603593e-10, (10, 2) = 0.5291246663229192e-10, (11, 1) = -0.46410867369253413e-10, (11, 2) = 0.12889981062099028e-9, (12, 1) = -0.4151473514184431e-10, (12, 2) = 0.11530127227904955e-9, (13, 1) = -0.25900002434956175e-10, (13, 2) = 0.7193284673686757e-10, (14, 1) = -0.11713699078368515e-10, (14, 2) = 0.3253174735405454e-10, (15, 1) = -0.27124714163739563e-11, (15, 2) = 0.7531699243385192e-11, (16, 1) = 0.13799130331293455e-11, (16, 2) = -0.3834506794712402e-11, (17, 1) = 0.2355274387904194e-11, (17, 2) = -0.6543479578650267e-11, (18, 1) = 0.19701608920243074e-11, (18, 2) = -0.547386371195775e-11, (19, 1) = 0.12788816288556007e-11, (19, 2) = -0.35539017366550764e-11, (20, 1) = 0.7145061767316719e-12, (20, 2) = -0.19864029478984788e-11, (21, 1) = 0.3596424654902743e-12, (21, 2) = -0.10008029622618168e-11, (22, 1) = 0.16727966544831917e-12, (22, 2) = -0.4665337006953898e-12, (23, 1) = 0.7302291972677383e-13, (23, 2) = -0.20474461296145014e-12, (24, 1) = 0.3013170464138281e-13, (24, 2) = -0.856183691803639e-13, (25, 1) = 0.11914618066995778e-13, (25, 2) = -0.3502215520236234e-13, (26, 1) = 0.4847317767785468e-14, (26, 2) = -0.153934051974487e-13, (27, 1) = 0.19278929262192103e-14, (27, 2) = -0.728498218625995e-14, (28, 1) = 0.6227825505178523e-15, (28, 2) = -0.3660163060293613e-14, (29, 1) = .0, (29, 2) = -0.19304441472717095e-14}, datatype = float[8], order = C_order); if not type(outpoint, 'numeric') then if outpoint = "start" or outpoint = "left" then return X[1] elif outpoint = "right" then return X[29] elif outpoint = "order" then return 8 elif outpoint = "error" then return HFloat(2.289481322531172e-8) elif outpoint = "errorproc" then error "this is already the error procedure" elif outpoint = "rawdata" then return [2, 29, [theta(x), diff(theta(x), x)], X, Y] else return ('procname')(x_bvp) end if end if; if outpoint < X[1] or X[29] < outpoint then error "solution is only defined in the range %1..%2", X[1], X[29] end if; V := array([1 = 4, 2 = 0]); if Digits <= trunc(evalhf(Digits)) then L := Vector(4, 'datatype' = 'float'[8]); yout := Vector(2, 'datatype' = 'float'[8]); evalhf(`dsolve/numeric/lagrange`(29, 2, X, Y, outpoint, var(yout), var(L), var(V))) else L := Vector(4, 'datatype' = 'sfloat'); yout := Vector(2, 'datatype' = 'sfloat'); `dsolve/numeric/lagrange`(29, 2, X, Y, outpoint, yout, L, V) end if; [x = outpoint, seq('[theta(x), diff(theta(x), x)]'[i] = yout[i], i = 1 .. 2)] end proc; if not type(outpoint, 'numeric') then if outpoint = "start" or outpoint = "left" then return X[1] elif outpoint = "method" then return "bvp" elif outpoint = "right" then return X[29] elif outpoint = "order" then return 8 elif outpoint = "error" then return HFloat(2.289481322531172e-8) elif outpoint = "errorproc" then return eval(errproc) elif outpoint = "rawdata" then return [2, 29, "depnames", X, Y, YP] else error "non-numeric value" end if end if; if outpoint < X[1] or X[29] < outpoint then error "solution is only defined in the range %1..%2", X[1], X[29] end if; if Digits <= trunc(evalhf(Digits)) and (_EnvInFsolve <> true or _EnvDSNumericSaveDigits <= trunc(evalhf(Digits))) then V := array( 1 .. 6, [( 1 ) = (7), ( 2 ) = (0), ( 3 ) = (false), ( 4 ) = (false), ( 5 ) = (false), ( 6 ) = (false)  ] ); L := Matrix(7, 2, {(1, 1) = .0, (1, 2) = .0, (2, 1) = .0, (2, 2) = .0, (3, 1) = .0, (3, 2) = .0, (4, 1) = .0, (4, 2) = .0, (5, 1) = .0, (5, 2) = .0, (6, 1) = .0, (6, 2) = .0, (7, 1) = .0, (7, 2) = .0}, datatype = float[8], order = C_order); yout := Vector(2, {(1) = .0, (2) = .0}, datatype = float[8]); evalhf(`dsolve/numeric/hermite`(29, 2, X, Y, YP, outpoint, var(yout), var(L), var(V))) else if _EnvInFsolve = true then Digits := _EnvDSNumericSaveDigits end if; V := array( 1 .. 6, [( 1 ) = (7), ( 2 ) = (0), ( 3 ) = (false), ( 4 ) = (false), ( 5 ) = (false), ( 6 ) = (false)  ] ); L := Matrix(7, 2, {(1, 1) = 0., (1, 2) = 0., (2, 1) = 0., (2, 2) = 0., (3, 1) = 0., (3, 2) = 0., (4, 1) = 0., (4, 2) = 0., (5, 1) = 0., (5, 2) = 0., (6, 1) = 0., (6, 2) = 0., (7, 1) = 0., (7, 2) = 0.}, order = C_order); yout := Vector(2, {(1) = 0., (2) = 0.}); `dsolve/numeric/hermite`(29, 2, X, Y, YP, outpoint, yout, L, V) end if; [outpoint, seq(yout[i], i = 1 .. 2)] end proc, (2) = Array(0..0, {}), (3) = [x, theta(x), diff(theta(x), x)], (4) = 0}); solnproc := data[1]; if not type(outpoint, 'numeric') then if outpoint = "solnprocedure" then return eval(solnproc) elif member(outpoint, ["start", "left", "right", "errorproc", "rawdata", "order", "error"]) then return solnproc(x_bvp) elif outpoint = "sysvars" then return data[3] elif procname <> unknown then return ('procname')(x_bvp) else _ndsol := pointto(data[2][0]); return ('_ndsol')(x_bvp) end if end if; try res := solnproc(outpoint); [x = res[1], seq('[theta(x), diff(theta(x), x)]'[i] = res[i+1], i = 1 .. 2)] catch: error  end try end proc

(2)

 

 

Download Aliased_vs_Unaliased.mw

With this in mind you can rewrite your code this way (I did not do the job for all your equations, only b1 and b5).
I assumed that the function f you use in b5 is the solution of equation b1.
There are two ways to plug this solution into b5:

  1. One is to post-processd this solution by constructing a (for instance) Spline approximation; this is the "Method 1".
  2. More elegant is "Method 2" based on the use of the known option.


 

restart

with(PDETools, declare):

with(LinearAlgebra):

with(PolynomialIdeals):

with(plots):

alias(f=f(x), theta=theta(x));

f, theta

(1)

eq1 := diff(f, x, x, x)+(1/2)*(1-phi)^2.5*(1-phi+phi*rho[s]/rho[fl])*(eta*cos(omega)+f*sin(omega))*(diff(f, x, x))+(1-phi)^2.5*M*sin(alpha)^2*(1-(diff(f, x)))+(1-phi)^2.5*(1-phi+phi*`&rho;&beta;`[s]/`&rho;&beta;`[fl])*Gr[x]*`cos&gamma;`*theta = 0:

eq2 := K[nf]*(diff(theta, x, x))/K[f]+(1/2)*Pr*(eta*cos(omega)+f*sin(omega))*(diff(theta, x)) = 0:

bcs := f(0) = 0, (D(f))(0) = 0, (D(f))(10) = 1:

a1 := [phi = .1, rho[s] = 5200, rho[fl] = 997.1, `&rho;&beta;`[s] = 6500, `&rho;&beta;`[fl] = 20939.1, M = 0, sin(alpha) = 0, cos(omega) = 1, sin(omega) = 0, Gr[x] = 0, Pr = 6.2, cos*gamma = 1, eta = 3]:

b1 := subs(a1, eq1):

alias(theta=theta, f=f);
b5;
bcs1; # wrong expression

# Redefine bcs1
bcs1 := theta(0) = 1, theta(10) = 0;


# 1st try (fails because f(x) is undefined)
dsolve({b5, bcs1}, numeric);

# 2nd try: give f(x) an explicit expression, for instance f(x)=x

{eval(b5, f=(x-> x)), bcs1};
dsolve(%, numeric)

1.116150082*(diff(diff(theta(x), x), x))+3.100000000*f(x)*(diff(theta(x), x)) = 0

 

(theta(x))(0) = 1, (theta(x))(10) = 0

 

theta(0) = 1, theta(10) = 0

 

Error, (in dsolve/numeric/bvp/convertsys) the ODE system does not contain derivatives of the unknown function f

 

{1.116150082*(diff(diff(theta(x), x), x))+3.100000000*x*(diff(theta(x), x)) = 0, theta(0) = 1, theta(10) = 0}

 

proc (x_bvp) local res, data, solnproc, _ndsol, outpoint, i; option `Copyright (c) 2000 by Waterloo Maple Inc. All rights reserved.`; _EnvDSNumericSaveDigits := Digits; Digits := 15; if _EnvInFsolve = true then outpoint := evalf[_EnvDSNumericSaveDigits](x_bvp) else outpoint := evalf(x_bvp) end if; data := Array(1..4, {(1) = proc (outpoint) local X, Y, YP, yout, errproc, L, V, i; option `Copyright (c) 2000 by Waterloo Maple Inc. All rights reserved.`; X := Vector(35, {(1) = .0, (2) = .2427328648224338, (3) = .48735863201069407, (4) = .7359461415582672, (5) = .9897901295169931, (6) = 1.2502025649411728, (7) = 1.5181834925133584, (8) = 1.794267229767137, (9) = 2.078582328214079, (10) = 2.3702560725449464, (11) = 2.6676604337931513, (12) = 2.9692476686888374, (13) = 3.273517057716359, (14) = 3.5793933611415785, (15) = 3.886242838752695, (16) = 4.19370608862414, (17) = 4.501550367396039, (18) = 4.809634641228868, (19) = 5.117862003643149, (20) = 5.426168486674517, (21) = 5.734509596432851, (22) = 6.042867134137938, (23) = 6.351236001902038, (24) = 6.659611337370647, (25) = 6.9679863294987765, (26) = 7.276350813373745, (27) = 7.584694336942331, (28) = 7.893019634939578, (29) = 8.201339875813002, (30) = 8.509678007900146, (31) = 8.818051148007882, (32) = 9.126467394183015, (33) = 9.434927187905142, (34) = 9.738519730173229, (35) = 10.0}, datatype = float[8], order = C_order); Y := Matrix(35, 2, {(1, 1) = 1.0, (1, 2) = -1.329718192803346, (2, 1) = .6858248045701448, (2, 2) = -1.2252510417869678, (3, 1) = .4166712714730749, (3, 2) = -.9561166782027788, (4, 1) = .22001266888905546, (4, 2) = -.6267689775726901, (5, 1) = 0.9903719876120984e-1, (5, 2) = -.3411193321077973, (6, 1) = 0.3720286208685336e-1, (6, 2) = -.15174051187414864, (7, 1) = 0.11401841206463462e-1, (7, 2) = -0.54159257640465114e-1, (8, 1) = 0.27875447327001786e-2, (8, 2) = -0.15209830699141344e-1, (9, 1) = 0.5320670264751371e-3, (9, 2) = -0.3296396467297987e-2, (10, 1) = 0.7809833406022415e-4, (10, 2) = -0.5438038828922491e-3, (11, 1) = 0.8756226240778076e-5, (11, 2) = -0.6788938334468882e-4, (12, 1) = 0.7482809107822378e-6, (12, 2) = -0.640557746592634e-5, (13, 1) = 0.4887533339771034e-7, (13, 2) = -0.4583564802915334e-6, (14, 1) = 0.2437801946825723e-8, (14, 2) = -0.24867889694913757e-7, (15, 1) = 0.9161263335918904e-10, (15, 2) = -0.10102136355576419e-8, (16, 1) = 0.25578760529215827e-11, (16, 2) = -0.3030868671679089e-10, (17, 1) = 0.4603441111620771e-13, (17, 2) = -0.5869979980334518e-12, (18, 1) = 0.19129211666581337e-14, (18, 2) = -0.24914448970721944e-13, (19, 1) = -0.37482167080075273e-15, (19, 2) = 0.5068146954423413e-14, (20, 1) = 0.12915954784076187e-15, (20, 2) = -0.18505763365322117e-14, (21, 1) = -0.46854903611428463e-16, (21, 2) = 0.7085349115339349e-15, (22, 1) = 0.18064057760519244e-16, (22, 2) = -0.28747358389025184e-15, (23, 1) = -0.7340774262153665e-17, (23, 2) = 0.1227044688635285e-15, (24, 1) = 0.313127779787792e-17, (24, 2) = -0.5478689664355503e-16, (25, 1) = -0.13894479510369669e-17, (25, 2) = 0.25467231532462892e-16, (26, 1) = 0.644528506668701e-18, (26, 2) = -0.12275203500269613e-16, (27, 1) = -0.30535143800889083e-18, (27, 2) = 0.6114023698701317e-17, (28, 1) = 0.15349284252835988e-18, (28, 2) = -0.31376589078930027e-17, (29, 1) = -0.7509013692023456e-19, (29, 2) = 0.16548955395131925e-17, (30, 1) = 0.4204603976519501e-19, (30, 2) = -0.8951051373819569e-18, (31, 1) = -0.19561570763375146e-19, (31, 2) = 0.4955397893296053e-18, (32, 1) = 0.13628819583128876e-19, (32, 2) = -0.2803086479217416e-18, (33, 1) = -0.46545549684332235e-20, (33, 2) = 0.16176240673458255e-18, (34, 1) = 0.5579532777811873e-20, (34, 2) = -0.9434251776242529e-19, (35, 1) = .0, (35, 2) = 0.51666006976289026e-19}, datatype = float[8], order = C_order); YP := Matrix(35, 2, {(1, 1) = -1.329718192803346, (1, 2) = .0, (2, 1) = -1.2252510417869678, (2, 2) = .8260241798278425, (3, 1) = -.9561166782027788, (3, 2) = 1.2941918330905053, (4, 1) = -.6267689775726901, (4, 2) = 1.281128296461863, (5, 1) = -.3411193321077973, (5, 2) = .9377531887454125, (6, 1) = -.15174051187414864, (6, 2) = .5268913013139895, (7, 1) = -0.54159257640465114e-1, (7, 2) = .22836842997360424, (8, 1) = -0.15209830699141344e-1, (8, 2) = 0.7579675334441632e-1, (9, 1) = -0.3296396467297987e-2, (9, 2) = 0.19030305886327963e-1, (10, 1) = -0.5438038828922491e-3, (10, 2) = 0.3579947604811905e-2, (11, 1) = -0.6788938334468882e-4, (11, 2) = 0.5030040822521309e-3, (12, 1) = -0.640557746592634e-5, (12, 2) = 0.5282552357296102e-4, (13, 1) = -0.4583564802915334e-6, (13, 2) = 0.4167322227480173e-5, (14, 1) = -0.24867889694913757e-7, (14, 2) = 0.24722219548847705e-6, (15, 1) = -0.10102136355576419e-8, (15, 2) = 0.1090391002727916e-7, (16, 1) = -0.3030868671679089e-10, (16, 2) = 0.353023980219054e-9, (17, 1) = -0.5869979980334518e-12, (17, 2) = 0.7339015960844142e-11, (18, 1) = -0.24914448970721944e-13, (18, 2) = 0.33281467804776e-12, (19, 1) = 0.5068146954423413e-14, (19, 2) = -0.7204052497078285e-13, (20, 1) = -0.18505763365322117e-14, (20, 2) = 0.27889413261161828e-13, (21, 1) = 0.7085349115339349e-15, (21, 2) = -0.11284871969177581e-13, (22, 1) = -0.28747358389025184e-15, (22, 2) = 0.4824808571999971e-14, (23, 1) = 0.1227044688635285e-15, (23, 2) = -0.21645006918925813e-14, (24, 1) = -0.5478689664355503e-16, (24, 2) = 0.10133621599133621e-14, (25, 1) = 0.25467231532462892e-16, (25, 2) = -0.4928651661578098e-15, (26, 1) = -0.12275203500269613e-16, (26, 2) = 0.24807410229433347e-15, (27, 1) = 0.6114023698701317e-17, (27, 2) = -0.12879657062351977e-15, (28, 1) = -0.31376589078930027e-17, (28, 2) = 0.6878409246042765e-16, (29, 1) = 0.16548955395131925e-17, (29, 2) = -0.3769593273514208e-16, (30, 1) = -0.8951051373819569e-18, (30, 2) = 0.2115564522912144e-16, (31, 1) = 0.4955397893296053e-18, (31, 2) = -0.12136410115286525e-16, (32, 1) = -0.2803086479217416e-18, (32, 2) = 0.7105232627893527e-17, (33, 1) = 0.16176240673458255e-18, (33, 2) = -0.4238920300300043e-17, (34, 1) = -0.9434251776242529e-19, (34, 2) = 0.25517581415481644e-17, (35, 1) = 0.51666006976289026e-19, (35, 2) = -0.14349738821816977e-17}, datatype = float[8], order = C_order); errproc := proc (x_bvp) local outpoint, X, Y, yout, L, V, i; option `Copyright (c) 2000 by Waterloo Maple Inc. All rights reserved.`; Digits := 15; outpoint := evalf(x_bvp); X := Vector(35, {(1) = .0, (2) = .2427328648224338, (3) = .48735863201069407, (4) = .7359461415582672, (5) = .9897901295169931, (6) = 1.2502025649411728, (7) = 1.5181834925133584, (8) = 1.794267229767137, (9) = 2.078582328214079, (10) = 2.3702560725449464, (11) = 2.6676604337931513, (12) = 2.9692476686888374, (13) = 3.273517057716359, (14) = 3.5793933611415785, (15) = 3.886242838752695, (16) = 4.19370608862414, (17) = 4.501550367396039, (18) = 4.809634641228868, (19) = 5.117862003643149, (20) = 5.426168486674517, (21) = 5.734509596432851, (22) = 6.042867134137938, (23) = 6.351236001902038, (24) = 6.659611337370647, (25) = 6.9679863294987765, (26) = 7.276350813373745, (27) = 7.584694336942331, (28) = 7.893019634939578, (29) = 8.201339875813002, (30) = 8.509678007900146, (31) = 8.818051148007882, (32) = 9.126467394183015, (33) = 9.434927187905142, (34) = 9.738519730173229, (35) = 10.0}, datatype = float[8], order = C_order); Y := Matrix(35, 2, {(1, 1) = .0, (1, 2) = 0.9322860662476395e-10, (2, 1) = 0.23552156665027704e-9, (2, 2) = -0.19395450767685846e-9, (3, 1) = 0.22856005569205564e-9, (3, 2) = -0.574987450992247e-9, (4, 1) = -0.5097474744153764e-9, (4, 2) = 0.8700060984334014e-9, (5, 1) = -0.5603656722080146e-9, (5, 2) = 0.20004740656351813e-8, (6, 1) = 0.8416861821739159e-9, (6, 2) = -0.2130381427590431e-8, (7, 1) = 0.8427208209568499e-9, (7, 2) = -0.3690785565037934e-8, (8, 1) = -0.8903265489524921e-9, (8, 2) = 0.3288234436892247e-8, (9, 1) = -0.8999082960675877e-9, (9, 2) = 0.4624477399506359e-8, (10, 1) = 0.2472640919488809e-9, (10, 2) = -0.12102799435273939e-8, (11, 1) = 0.24175235121057535e-9, (11, 2) = -0.1449984732752724e-8, (12, 1) = -0.7328781844480877e-10, (12, 2) = 0.5781195596509252e-9, (13, 1) = -0.39043418896305955e-10, (13, 2) = 0.28965937122420823e-9, (14, 1) = 0.492157646297709e-11, (14, 2) = -0.6467592134220928e-10, (15, 1) = 0.21879315251971158e-11, (15, 2) = -0.25277832889771064e-10, (16, 1) = 0.2024855740349173e-12, (16, 2) = -0.24703506291125855e-11, (17, 1) = 0.16003107647479276e-13, (17, 2) = -0.20145031092680016e-12, (18, 1) = -0.9253845503146431e-15, (18, 2) = 0.1149387381259964e-13, (19, 1) = 0.4034834220553831e-15, (19, 2) = -0.546696985736166e-14, (20, 1) = -0.13442704331956957e-15, (20, 2) = 0.19259457160288285e-14, (21, 1) = 0.48807891894688016e-16, (21, 2) = -0.7380684557384003e-15, (22, 1) = -0.18816723869927514e-16, (22, 2) = 0.299451599770376e-15, (23, 1) = 0.7646639864929445e-17, (23, 2) = -0.12781715521740927e-15, (24, 1) = -0.32617477061064784e-17, (24, 2) = 0.5706968400339933e-16, (25, 1) = 0.1447341615663568e-17, (25, 2) = -0.2652836617965026e-16, (26, 1) = -0.6713838611132635e-18, (26, 2) = 0.12786670312781307e-16, (27, 1) = 0.31807441459260812e-18, (27, 2) = -0.6368774686147445e-17, (28, 1) = -0.15988837763371426e-18, (28, 2) = 0.32683946957219826e-17, (29, 1) = 0.78218892625248e-19, (29, 2) = -0.17238495203263485e-17, (30, 1) = -0.4379795808874651e-19, (30, 2) = 0.932401184772898e-18, (31, 1) = 0.20376636211849666e-19, (31, 2) = -0.516187280551683e-18, (32, 1) = -0.14196687065760115e-19, (32, 2) = 0.2919881749184929e-18, (33, 1) = 0.4848494758784855e-20, (33, 2) = -0.16850250701519606e-18, (34, 1) = -0.58120133102209794e-20, (34, 2) = 0.9827345600253129e-19, (35, 1) = .0, (35, 2) = -0.53818757266969385e-19}, datatype = float[8], order = C_order); if not type(outpoint, 'numeric') then if outpoint = "start" or outpoint = "left" then return X[1] elif outpoint = "right" then return X[35] elif outpoint = "order" then return 8 elif outpoint = "error" then return HFloat(4.624477399506359e-9) elif outpoint = "errorproc" then error "this is already the error procedure" elif outpoint = "rawdata" then return [2, 35, [theta(x), diff(theta(x), x)], X, Y] else return ('procname')(x_bvp) end if end if; if outpoint < X[1] or X[35] < outpoint then error "solution is only defined in the range %1..%2", X[1], X[35] end if; V := array([1 = 4, 2 = 0]); if Digits <= trunc(evalhf(Digits)) then L := Vector(4, 'datatype' = 'float'[8]); yout := Vector(2, 'datatype' = 'float'[8]); evalhf(`dsolve/numeric/lagrange`(35, 2, X, Y, outpoint, var(yout), var(L), var(V))) else L := Vector(4, 'datatype' = 'sfloat'); yout := Vector(2, 'datatype' = 'sfloat'); `dsolve/numeric/lagrange`(35, 2, X, Y, outpoint, yout, L, V) end if; [x = outpoint, seq('[theta(x), diff(theta(x), x)]'[i] = yout[i], i = 1 .. 2)] end proc; if not type(outpoint, 'numeric') then if outpoint = "start" or outpoint = "left" then return X[1] elif outpoint = "method" then return "bvp" elif outpoint = "right" then return X[35] elif outpoint = "order" then return 8 elif outpoint = "error" then return HFloat(4.624477399506359e-9) elif outpoint = "errorproc" then return eval(errproc) elif outpoint = "rawdata" then return [2, 35, "depnames", X, Y, YP] else error "non-numeric value" end if end if; if outpoint < X[1] or X[35] < outpoint then error "solution is only defined in the range %1..%2", X[1], X[35] end if; if Digits <= trunc(evalhf(Digits)) and (_EnvInFsolve <> true or _EnvDSNumericSaveDigits <= trunc(evalhf(Digits))) then V := array( 1 .. 6, [( 1 ) = (7), ( 2 ) = (0), ( 3 ) = (false), ( 4 ) = (false), ( 5 ) = (false), ( 6 ) = (false)  ] ); L := Matrix(7, 2, {(1, 1) = .0, (1, 2) = .0, (2, 1) = .0, (2, 2) = .0, (3, 1) = .0, (3, 2) = .0, (4, 1) = .0, (4, 2) = .0, (5, 1) = .0, (5, 2) = .0, (6, 1) = .0, (6, 2) = .0, (7, 1) = .0, (7, 2) = .0}, datatype = float[8], order = C_order); yout := Vector(2, {(1) = .0, (2) = .0}, datatype = float[8]); evalhf(`dsolve/numeric/hermite`(35, 2, X, Y, YP, outpoint, var(yout), var(L), var(V))) else if _EnvInFsolve = true then Digits := _EnvDSNumericSaveDigits end if; V := array( 1 .. 6, [( 1 ) = (7), ( 2 ) = (0), ( 3 ) = (false), ( 4 ) = (false), ( 5 ) = (false), ( 6 ) = (false)  ] ); L := Matrix(7, 2, {(1, 1) = 0., (1, 2) = 0., (2, 1) = 0., (2, 2) = 0., (3, 1) = 0., (3, 2) = 0., (4, 1) = 0., (4, 2) = 0., (5, 1) = 0., (5, 2) = 0., (6, 1) = 0., (6, 2) = 0., (7, 1) = 0., (7, 2) = 0.}, order = C_order); yout := Vector(2, {(1) = 0., (2) = 0.}); `dsolve/numeric/hermite`(35, 2, X, Y, YP, outpoint, yout, L, V) end if; [outpoint, seq(yout[i], i = 1 .. 2)] end proc, (2) = Array(0..0, {}), (3) = [x, theta(x), diff(theta(x), x)], (4) = 0}); solnproc := data[1]; if not type(outpoint, 'numeric') then if outpoint = "solnprocedure" then return eval(solnproc) elif member(outpoint, ["start", "left", "right", "errorproc", "rawdata", "order", "error"]) then return solnproc(x_bvp) elif outpoint = "sysvars" then return data[3] elif procname <> unknown then return ('procname')(x_bvp) else _ndsol := pointto(data[2][0]); return ('_ndsol')(x_bvp) end if end if; try res := solnproc(outpoint); [x = res[1], seq('[theta(x), diff(theta(x), x)]'[i] = res[i+1], i = 1 .. 2)] catch: error  end try end proc

(2)

# If f(x) is the solution from another ode, for instance
#
# Method 1


bcs := f(0) = 0, (D(f))(0) = 0, (D(f))(10) = 1;
c1  := dsolve({b1, bcs}, numeric);

__f := proc(__x);
   if not type(evalf(__x),'numeric') then
      'procname'(__x);
   else
      eval(f(x), c1(__x));
   end if;
end proc:

# usage

c1(2);
'f(2)' = __f(2);
plot(__f(x), x=0..10, title="f as the solution of b1");

# Represent __f(x) by a spline function (the higher the number of discretizationpoints
# the higher the cvalue of maxmesh).

F := unapply( CurveFitting:-Spline([seq([__x, __f(__x)], __x in [seq](0..10, 0.1))], x, degree=3), x):
{eval(b5, f=(x-> F(x))), bcs1}:
c5 := dsolve(%, numeric, maxmesh=1024, abserr=1e-4):

odeplot(c5, [x, theta(x)], 0 .. 7, colour = blue, title="solution of b5 with f solution of b1")

f(0) = 0, (D(f))(0) = 0, (D(f))(10) = 1

 

proc (x_bvp) local res, data, solnproc, _ndsol, outpoint, i; option `Copyright (c) 2000 by Waterloo Maple Inc. All rights reserved.`; _EnvDSNumericSaveDigits := Digits; Digits := 15; if _EnvInFsolve = true then outpoint := evalf[_EnvDSNumericSaveDigits](x_bvp) else outpoint := evalf(x_bvp) end if; data := Array(1..4, {(1) = proc (outpoint) local X, Y, YP, yout, errproc, L, V, i; option `Copyright (c) 2000 by Waterloo Maple Inc. All rights reserved.`; X := Vector(18, {(1) = .0, (2) = .5484314081865154, (3) = 1.1031257206438942, (4) = 1.6646772880487695, (5) = 2.2366376010334714, (6) = 2.8203948925988187, (7) = 3.4135959755145016, (8) = 4.012694132365692, (9) = 4.617073093079587, (10) = 5.222947664591086, (11) = 5.82977930750296, (12) = 6.436995581743898, (13) = 7.044308271902464, (14) = 7.6516849455373706, (15) = 8.259066764177797, (16) = 8.863066973830218, (17) = 9.443565381178733, (18) = 10.0}, datatype = float[8], order = C_order); Y := Matrix(18, 3, {(1, 1) = .0, (1, 2) = .0, (1, 3) = 1.6385066714568874, (2, 1) = .1865994181937416, (2, 2) = .5928641529598639, (2, 3) = .6670948759434057, (3, 1) = .5929461137706181, (3, 2) = .8359327638922891, (3, 3) = .26882536580349964, (4, 1) = 1.0942658621489547, (4, 2) = .9346230640952723, (4, 3) = .10712066289420687, (5, 1) = 1.641956359720967, (5, 2) = .9743893872755373, (5, 3) = 0.41963282052991345e-1, (6, 1) = 2.2160890406100706, (6, 2) = .9901594481076353, (6, 3) = 0.16123934148780324e-1, (7, 1) = 2.8055565667142535, (7, 2) = .9962769798043033, (7, 3) = 0.6100318418427125e-2, (8, 1) = 3.4032339344695086, (8, 2) = .998605027199471, (8, 3) = 0.22857975220465423e-2, (9, 1) = 4.0070778042330675, (9, 2) = .9994818530478067, (9, 3) = 0.849112629846561e-3, (10, 1) = 4.612753345419058, (10, 2) = .9998080415501446, (10, 3) = 0.3146506335361642e-3, (11, 1) = 5.2195111960586535, (11, 2) = .99992902680252, (11, 3) = 0.11641550554964439e-3, (12, 1) = 5.826700187574041, (12, 2) = .9999738059063931, (12, 3) = 0.4304465072985871e-4, (13, 1) = 6.434002818309967, (13, 2) = .9999903645277998, (13, 3) = 0.15913241162221728e-4, (14, 1) = 7.041375802144528, (14, 2) = .999996486489409, (14, 3) = 0.5882366991142752e-5, (15, 1) = 7.64875628614861, (15, 2) = .9999987495000272, (15, 3) = 0.21744092796990014e-5, (16, 1) = 8.252756033173478, (16, 2) = .9999995832942872, (16, 3) = 0.8082319266162002e-6, (17, 1) = 8.833254300212813, (17, 2) = .9999998860193208, (17, 3) = 0.3122149768237039e-6, (18, 1) = 9.389688892075311, (18, 2) = 1.0, (18, 3) = 0.12545688814716578e-6}, datatype = float[8], order = C_order); YP := Matrix(18, 3, {(1, 1) = .0, (1, 2) = 1.6385066714568874, (1, 3) = -2.684703906846781, (2, 1) = .5928641529598639, (2, 2) = .6670948759434057, (2, 3) = -1.093039321036328, (3, 1) = .8359327638922891, (3, 2) = .26882536580349964, (3, 3) = -.4404721215998787, (4, 1) = .9346230640952723, (4, 2) = .10712066289420687, (4, 3) = -.17551790736401723, (5, 1) = .9743893872755373, (5, 2) = 0.41963282052991345e-1, (5, 3) = -0.6875711233547063e-1, (6, 1) = .9901594481076353, (6, 2) = 0.16123934148780324e-1, (6, 3) = -0.264191716500495e-1, (7, 1) = .9962769798043033, (7, 2) = 0.6100318418427125e-2, (7, 3) = -0.9995411661277211e-2, (8, 1) = .998605027199471, (8, 2) = 0.22857975220465423e-2, (8, 3) = -0.37452942027038387e-2, (9, 1) = .9994818530478067, (9, 2) = 0.849112629846561e-3, (9, 3) = -0.13912766022948651e-2, (10, 1) = .9998080415501446, (10, 2) = 0.3146506335361642e-3, (10, 3) = -0.5155571227520522e-3, (11, 1) = .99992902680252, (11, 2) = 0.11641550554964439e-3, (11, 3) = -0.19074756789899165e-3, (12, 1) = .9999738059063931, (12, 2) = 0.4304465072985871e-4, (12, 3) = -0.7052894199115717e-4, (13, 1) = .9999903645277998, (13, 2) = 0.15913241162221728e-4, (13, 3) = -0.2607394981237695e-4, (14, 1) = .999996486489409, (14, 2) = 0.5882366991142752e-5, (14, 3) = -0.9638296820961723e-5, (15, 1) = .9999987495000272, (15, 2) = 0.21744092796990014e-5, (15, 3) = -0.35627838384699585e-5, (16, 1) = .9999995832942872, (16, 2) = 0.8082319266162002e-6, (16, 3) = -0.13242933024468355e-5, (17, 1) = .9999998860193208, (17, 2) = 0.3122149768237039e-6, (17, 3) = -0.5115662832848772e-6, (18, 1) = 1.0, (18, 2) = 0.12545688814716578e-6, (18, 3) = -0.20556193246992092e-6}, datatype = float[8], order = C_order); errproc := proc (x_bvp) local outpoint, X, Y, yout, L, V, i; option `Copyright (c) 2000 by Waterloo Maple Inc. All rights reserved.`; Digits := 15; outpoint := evalf(x_bvp); X := Vector(18, {(1) = .0, (2) = .5484314081865154, (3) = 1.1031257206438942, (4) = 1.6646772880487695, (5) = 2.2366376010334714, (6) = 2.8203948925988187, (7) = 3.4135959755145016, (8) = 4.012694132365692, (9) = 4.617073093079587, (10) = 5.222947664591086, (11) = 5.82977930750296, (12) = 6.436995581743898, (13) = 7.044308271902464, (14) = 7.6516849455373706, (15) = 8.259066764177797, (16) = 8.863066973830218, (17) = 9.443565381178733, (18) = 10.0}, datatype = float[8], order = C_order); Y := Matrix(18, 3, {(1, 1) = .0, (1, 2) = .0, (1, 3) = 0.2946023868864439e-11, (2, 1) = -0.47774203028197214e-7, (2, 2) = 0.782799596177991e-7, (2, 3) = -0.128259281465364e-6, (3, 1) = -0.14644880503753375e-7, (3, 2) = 0.23998981563602782e-7, (3, 3) = -0.39319542968475e-7, (4, 1) = 0.6768906668526081e-9, (4, 2) = -0.11041862608122967e-8, (4, 3) = 0.18121607643070676e-8, (5, 1) = 0.2994857118580283e-8, (5, 2) = -0.4900506572558289e-8, (5, 3) = 0.803245612956675e-8, (6, 1) = 0.1720978279117689e-8, (6, 2) = -0.28115248152417434e-8, (6, 3) = 0.4609646547825811e-8, (7, 1) = 0.5033000952078005e-9, (7, 2) = -0.8146063617863207e-9, (7, 3) = 0.13376830814079997e-8, (8, 1) = -0.38815334729871443e-10, (8, 2) = 0.7541690966830913e-10, (8, 3) = -0.12062518485027127e-9, (9, 1) = -0.15399062952597835e-9, (9, 2) = 0.26590700251366544e-9, (9, 3) = -0.4327446320103398e-9, (10, 1) = -0.11430815959127977e-9, (10, 2) = 0.20266873889877397e-9, (10, 3) = -0.32912919659250085e-9, (11, 1) = -0.54630659643753844e-10, (11, 2) = 0.10669434249675227e-9, (11, 3) = -0.17187484620088734e-9, (12, 1) = -0.14273514094803324e-10, (12, 2) = 0.4234544692474086e-10, (12, 3) = -0.6643916595339093e-10, (13, 1) = 0.6056124951499228e-11, (13, 2) = 0.10828655975493386e-10, (13, 3) = -0.1479861935288903e-10, (14, 1) = 0.14259060119068991e-10, (14, 2) = -0.8307793632436555e-12, (14, 3) = 0.4305309198788365e-11, (15, 1) = 0.16865703949895138e-10, (15, 2) = -0.33158266910753918e-11, (15, 3) = 0.837636658403607e-11, (16, 1) = 0.1748551880835066e-10, (16, 2) = -0.25516372473542857e-11, (16, 3) = 0.7125069288186768e-11, (17, 1) = 0.17671657793034712e-10, (17, 2) = -0.11464248008960765e-11, (17, 3) = 0.4823460413032649e-11, (18, 1) = 0.17975640844382702e-10, (18, 2) = .0, (18, 3) = 0.2944653219022549e-11}, datatype = float[8], order = C_order); if not type(outpoint, 'numeric') then if outpoint = "start" or outpoint = "left" then return X[1] elif outpoint = "right" then return X[18] elif outpoint = "order" then return 8 elif outpoint = "error" then return HFloat(1.28259281465364e-7) elif outpoint = "errorproc" then error "this is already the error procedure" elif outpoint = "rawdata" then return [3, 18, [f(x), diff(f(x), x), diff(diff(f(x), x), x)], X, Y] else return ('procname')(x_bvp) end if end if; if outpoint < X[1] or X[18] < outpoint then error "solution is only defined in the range %1..%2", X[1], X[18] end if; V := array([1 = 4, 2 = 0]); if Digits <= trunc(evalhf(Digits)) then L := Vector(4, 'datatype' = 'float'[8]); yout := Vector(3, 'datatype' = 'float'[8]); evalhf(`dsolve/numeric/lagrange`(18, 3, X, Y, outpoint, var(yout), var(L), var(V))) else L := Vector(4, 'datatype' = 'sfloat'); yout := Vector(3, 'datatype' = 'sfloat'); `dsolve/numeric/lagrange`(18, 3, X, Y, outpoint, yout, L, V) end if; [x = outpoint, seq('[f(x), diff(f(x), x), diff(diff(f(x), x), x)]'[i] = yout[i], i = 1 .. 3)] end proc; if not type(outpoint, 'numeric') then if outpoint = "start" or outpoint = "left" then return X[1] elif outpoint = "method" then return "bvp" elif outpoint = "right" then return X[18] elif outpoint = "order" then return 8 elif outpoint = "error" then return HFloat(1.28259281465364e-7) elif outpoint = "errorproc" then return eval(errproc) elif outpoint = "rawdata" then return [3, 18, "depnames", X, Y, YP] else error "non-numeric value" end if end if; if outpoint < X[1] or X[18] < outpoint then error "solution is only defined in the range %1..%2", X[1], X[18] end if; if Digits <= trunc(evalhf(Digits)) and (_EnvInFsolve <> true or _EnvDSNumericSaveDigits <= trunc(evalhf(Digits))) then V := array( 1 .. 6, [( 1 ) = (7), ( 2 ) = (0), ( 3 ) = (false), ( 4 ) = (false), ( 5 ) = (false), ( 6 ) = (false)  ] ); L := Matrix(7, 2, {(1, 1) = .0, (1, 2) = .0, (2, 1) = .0, (2, 2) = .0, (3, 1) = .0, (3, 2) = .0, (4, 1) = .0, (4, 2) = .0, (5, 1) = .0, (5, 2) = .0, (6, 1) = .0, (6, 2) = .0, (7, 1) = .0, (7, 2) = .0}, datatype = float[8], order = C_order); yout := Vector(3, {(1) = .0, (2) = .0, (3) = .0}, datatype = float[8]); evalhf(`dsolve/numeric/hermite`(18, 3, X, Y, YP, outpoint, var(yout), var(L), var(V))) else if _EnvInFsolve = true then Digits := _EnvDSNumericSaveDigits end if; V := array( 1 .. 6, [( 1 ) = (7), ( 2 ) = (0), ( 3 ) = (false), ( 4 ) = (false), ( 5 ) = (false), ( 6 ) = (false)  ] ); L := Matrix(7, 2, {(1, 1) = 0., (1, 2) = 0., (2, 1) = 0., (2, 2) = 0., (3, 1) = 0., (3, 2) = 0., (4, 1) = 0., (4, 2) = 0., (5, 1) = 0., (5, 2) = 0., (6, 1) = 0., (6, 2) = 0., (7, 1) = 0., (7, 2) = 0.}, order = C_order); yout := Vector(3, {(1) = 0., (2) = 0., (3) = 0.}); `dsolve/numeric/hermite`(18, 3, X, Y, YP, outpoint, yout, L, V) end if; [outpoint, seq(yout[i], i = 1 .. 3)] end proc, (2) = Array(0..0, {}), (3) = [x, f(x), diff(f(x), x), diff(diff(f(x), x), x)], (4) = 0}); solnproc := data[1]; if not type(outpoint, 'numeric') then if outpoint = "solnprocedure" then return eval(solnproc) elif member(outpoint, ["start", "left", "right", "errorproc", "rawdata", "order", "error"]) then return solnproc(x_bvp) elif outpoint = "sysvars" then return data[3] elif procname <> unknown then return ('procname')(x_bvp) else _ndsol := pointto(data[2][0]); return ('_ndsol')(x_bvp) end if end if; try res := solnproc(outpoint); [x = res[1], seq('[f(x), diff(f(x), x), diff(diff(f(x), x), x)]'[i] = res[i+1], i = 1 .. 3)] catch: error  end try end proc

 

[x = 2., f(x) = HFloat(1.412721902088078), diff(f(x), x) = HFloat(0.9622592586648903), diff(diff(f(x), x), x) = HFloat(0.06183857718535878)]

 

f(2) = HFloat(1.412721902088078)

 

 

 

# If f(x) is the solution from another ode, for instance
#
# Method 2: use optio known 

c5 := dsolve({eval(b5, f=__f), bcs1}, numeric, known=__f);
odeplot(c5, [x, theta(x)], 0 .. 7, colour = blue, title="solution of b5 with f solution of b1")

proc (x_bvp) local res, data, solnproc, _ndsol, outpoint, i; option `Copyright (c) 2000 by Waterloo Maple Inc. All rights reserved.`; _EnvDSNumericSaveDigits := Digits; Digits := 15; if _EnvInFsolve = true then outpoint := evalf[_EnvDSNumericSaveDigits](x_bvp) else outpoint := evalf(x_bvp) end if; data := Array(1..4, {(1) = proc (outpoint) local X, Y, YP, yout, errproc, L, V, i; option `Copyright (c) 2000 by Waterloo Maple Inc. All rights reserved.`; X := Vector(33, {(1) = .0, (2) = .28233496496470245, (3) = .5658952869558942, (4) = .8519883779158955, (5) = 1.1415062842989359, (6) = 1.4351451304095157, (7) = 1.733419997003576, (8) = 2.0364801144877913, (9) = 2.3442169724464077, (10) = 2.6561367742708955, (11) = 2.9713075044778314, (12) = 3.2888150379618755, (13) = 3.6078656622419722, (14) = 3.927799466451855, (15) = 4.248248454734752, (16) = 4.5690132642794, (17) = 4.889960432688388, (18) = 5.211017055510866, (19) = 5.532140607350383, (20) = 5.853305107785229, (21) = 6.174491973151275, (22) = 6.495692055882912, (23) = 6.816897584684449, (24) = 7.138099869835251, (25) = 7.459286674103036, (26) = 7.780454001865076, (27) = 8.101610883576061, (28) = 8.422778379870405, (29) = 8.743976754956115, (30) = 9.065216808588955, (31) = 9.386501674602233, (32) = 9.705336219112802, (33) = 10.0}, datatype = float[8], order = C_order); Y := Matrix(33, 2, {(1, 1) = 1.0, (1, 2) = -.8772924552331877, (2, 1) = .7532717259476802, (2, 2) = -.864002150268244, (3, 1) = .5174249135482837, (3, 2) = -.7853649036057604, (4, 1) = .31423378869995183, (4, 2) = -.6230347230247992, (5, 1) = .16375995113733796, (5, 2) = -.41451793276646715, (6, 1) = 0.7119757945613565e-1, (6, 2) = -.2243678996909551, (7, 1) = 0.25158326951573336e-1, (7, 2) = -0.963835497013202e-1, (8, 1) = 0.70608944026935095e-2, (8, 2) = -0.32194483355498904e-1, (9, 1) = 0.15432596154012065e-2, (9, 2) = -0.822153935364156e-2, (10, 1) = 0.2587302280393987e-3, (10, 2) = -0.15850701513114474e-2, (11, 1) = 0.3297216499370152e-4, (11, 2) = -0.22911633649960213e-3, (12, 1) = 0.31781730424411226e-5, (12, 2) = -0.24753042799688467e-4, (13, 1) = 0.23132909598555663e-6, (13, 2) = -0.1998661164665881e-5, (14, 1) = 0.12715549881422354e-7, (14, 2) = -0.1207616150564729e-6, (15, 1) = 0.52178541274423e-9, (15, 2) = -0.5404475947358991e-8, (16, 1) = 0.15778348161257118e-10, (16, 2) = -0.17692612071304702e-9, (17, 1) = 0.307466608296045e-12, (17, 2) = -0.3732656707319858e-11, (18, 1) = 0.11631647320858e-13, (18, 2) = -0.14511575347757843e-12, (19, 1) = -0.2066120597895542e-14, (19, 2) = 0.26751567148550323e-13, (20, 1) = 0.7113253503153256e-15, (20, 2) = -0.9806192937337492e-14, (21, 1) = -0.2579309444800299e-15, (21, 2) = 0.3768351479875404e-14, (22, 1) = 0.9987165048972809e-16, (22, 2) = -0.15404505533281173e-14, (23, 1) = -0.40833246469920144e-16, (23, 2) = 0.6643454522363756e-15, (24, 1) = 0.17625402423139746e-16, (24, 2) = -0.3003464921471493e-15, (25, 1) = -0.786919032600911e-17, (25, 2) = 0.14159406265505698e-15, (26, 1) = 0.373949019007683e-17, (26, 2) = -0.6930351805341326e-16, (27, 1) = -0.17548637809431955e-17, (27, 2) = 0.35087505357383474e-16, (28, 1) = 0.9380368338531094e-18, (28, 2) = -0.18318058599121008e-16, (29, 1) = -0.42436483692446576e-18, (29, 2) = 0.9834817235187775e-17, (30, 1) = 0.28516238110336396e-18, (30, 2) = -0.5417390391904137e-17, (31, 1) = -0.9429304468171444e-19, (31, 2) = 0.3055278347887694e-17, (32, 1) = 0.11316527493049244e-18, (32, 2) = -0.17539242557164286e-17, (33, 1) = .0, (33, 2) = 0.985826632114588e-18}, datatype = float[8], order = C_order); YP := Matrix(33, 2, {(1, 1) = -.8772924552331877, (1, 2) = .0, (2, 1) = -.864002150268244, (2, 2) = .1351013128641334, (3, 1) = -.7853649036057604, (3, 2) = .4298288883360616, (4, 1) = -.6230347230247992, (4, 2) = .6796785089085157, (5, 1) = -.41451793276646715, (5, 2) = .7198098458000008, (6, 1) = -.2243678996909551, (6, 2) = .5502202676455906, (7, 1) = -0.963835497013202e-1, (7, 2) = .3101950423844574, (8, 1) = -0.32194483355498904e-1, (8, 2) = .12946393377087215, (9, 1) = -0.822153935364156e-2, (9, 2) = 0.39892160778379045e-1, (10, 1) = -0.15850701513114474e-2, (10, 2) = 0.9041106228810243e-2, (11, 1) = -0.22911633649960213e-3, (11, 2) = 0.1505401159651923e-2, (12, 1) = -0.24753042799688467e-4, (12, 2) = 0.18433663547198184e-3, (13, 1) = -0.1998661164665881e-5, (13, 2) = 0.16648867002077256e-4, (14, 1) = -0.1207616150564729e-6, (14, 2) = 0.11130262988584572e-5, (15, 1) = -0.5404475947358991e-8, (15, 2) = 0.5461562829303927e-7, (16, 1) = -0.17692612071304702e-9, (16, 2) = 0.1945455804923299e-8, (17, 1) = -0.3732656707319858e-11, (17, 2) = 0.44369630423885995e-10, (18, 1) = -0.14511575347757843e-12, (18, 2) = 0.18543400511974227e-11, (19, 1) = 0.26751567148550323e-13, (19, 2) = -0.3656967399934146e-12, (20, 1) = -0.9806192937337492e-14, (20, 2) = 0.14279806372564047e-12, (21, 1) = 0.3768351479875404e-14, (21, 2) = -0.5823628161975935e-13, (22, 1) = -0.15404505533281173e-14, (22, 2) = 0.25180392261547706e-13, (23, 1) = 0.6643454522363756e-15, (23, 2) = -0.114521349559479e-13, (24, 1) = -0.3003464921471493e-15, (24, 2) = 0.5445378535648286e-14, (25, 1) = 0.14159406265505698e-15, (25, 2) = -0.2693456296440379e-14, (26, 1) = -0.6930351805341326e-16, (26, 2) = 0.13801372725032498e-14, (27, 1) = 0.35087505357383474e-16, (27, 2) = -0.7300436307002091e-15, (28, 1) = -0.18318058599121008e-16, (28, 2) = 0.39747221813386455e-15, (29, 1) = 0.9834817235187775e-17, (29, 2) = -0.2221732252495002e-15, (30, 1) = -0.5417390391904137e-17, (30, 2) = 0.12721490697874184e-15, (31, 1) = 0.3055278347887694e-17, (31, 2) = -0.7447249900337262e-16, (32, 1) = -0.17539242557164286e-17, (32, 2) = 0.44305111645855503e-16, (33, 1) = 0.985826632114588e-18, (33, 2) = -0.2570933526925362e-16}, datatype = float[8], order = C_order); errproc := proc (x_bvp) local outpoint, X, Y, yout, L, V, i; option `Copyright (c) 2000 by Waterloo Maple Inc. All rights reserved.`; Digits := 15; outpoint := evalf(x_bvp); X := Vector(33, {(1) = .0, (2) = .28233496496470245, (3) = .5658952869558942, (4) = .8519883779158955, (5) = 1.1415062842989359, (6) = 1.4351451304095157, (7) = 1.733419997003576, (8) = 2.0364801144877913, (9) = 2.3442169724464077, (10) = 2.6561367742708955, (11) = 2.9713075044778314, (12) = 3.2888150379618755, (13) = 3.6078656622419722, (14) = 3.927799466451855, (15) = 4.248248454734752, (16) = 4.5690132642794, (17) = 4.889960432688388, (18) = 5.211017055510866, (19) = 5.532140607350383, (20) = 5.853305107785229, (21) = 6.174491973151275, (22) = 6.495692055882912, (23) = 6.816897584684449, (24) = 7.138099869835251, (25) = 7.459286674103036, (26) = 7.780454001865076, (27) = 8.101610883576061, (28) = 8.422778379870405, (29) = 8.743976754956115, (30) = 9.065216808588955, (31) = 9.386501674602233, (32) = 9.705336219112802, (33) = 10.0}, datatype = float[8], order = C_order); Y := Matrix(33, 2, {(1, 1) = .0, (1, 2) = 0.14669478714556444e-9, (2, 1) = -0.1320349829409252e-9, (2, 2) = 0.18351137059203102e-9, (3, 1) = 0.6992228386771754e-11, (3, 2) = 0.22755699987587638e-10, (4, 1) = 0.29277225606276225e-9, (4, 2) = -0.5106736112367138e-9, (5, 1) = -0.1898523690495055e-9, (5, 2) = 0.16927709921890168e-10, (6, 1) = -0.8846183458401529e-9, (6, 2) = 0.24406010637764106e-8, (7, 1) = 0.5099594781145903e-9, (7, 2) = -0.6580495685568509e-9, (8, 1) = 0.11127454329484344e-8, (8, 2) = -0.43358703200253965e-8, (9, 1) = -0.7335220888709085e-9, (9, 2) = 0.24966378626939707e-8, (10, 1) = -0.6786499395706225e-9, (10, 2) = 0.3448808260379694e-8, (11, 1) = 0.34316274325041773e-9, (11, 2) = -0.18148373204801812e-8, (12, 1) = 0.13521011553266648e-9, (12, 2) = -0.7902805925000925e-9, (13, 1) = -0.7764324575855586e-10, (13, 2) = 0.5901645483530738e-9, (14, 1) = -0.14100667803985136e-10, (14, 2) = 0.8986738664486018e-10, (15, 1) = 0.48600179783131e-11, (15, 2) = -0.55115096829304256e-10, (16, 1) = 0.6764817169802964e-12, (16, 2) = -0.7969354349574233e-11, (17, 1) = 0.7905182793622629e-13, (17, 2) = -0.946270891053416e-12, (18, 1) = -0.5253014845203794e-14, (18, 2) = 0.6209294293120555e-13, (19, 1) = 0.2237031281255525e-14, (19, 2) = -0.2904094929530438e-13, (20, 1) = -0.7402308834923597e-15, (20, 2) = 0.10203992630860957e-13, (21, 1) = 0.26868238067487595e-15, (21, 2) = -0.3925433401246394e-14, (22, 1) = -0.10403295235872169e-15, (22, 2) = 0.16046357146302695e-14, (23, 1) = 0.4253463178280752e-16, (23, 2) = -0.6920265134976699e-15, (24, 1) = -0.18359794190699864e-16, (24, 2) = 0.31286092931866044e-15, (25, 1) = 0.8197073256259701e-17, (25, 2) = -0.14749381526569245e-15, (26, 1) = -0.3895302281330191e-17, (26, 2) = 0.7219116463897593e-16, (27, 1) = 0.18279831051492376e-17, (27, 2) = -0.3654948474727552e-16, (28, 1) = -0.9771217019303491e-18, (28, 2) = 0.19081311040751836e-16, (29, 1) = 0.4420467051296714e-18, (29, 2) = -0.10244601286654223e-16, (30, 1) = -0.2970441469826846e-18, (30, 2) = 0.5643114991567017e-17, (31, 1) = 0.9822192154345644e-19, (31, 2) = -0.31825816123831257e-17, (32, 1) = -0.11788049471926902e-18, (32, 2) = 0.1827004433038027e-17, (33, 1) = .0, (33, 2) = -0.10269027417860591e-17}, datatype = float[8], order = C_order); if not type(outpoint, 'numeric') then if outpoint = "start" or outpoint = "left" then return X[1] elif outpoint = "right" then return X[33] elif outpoint = "order" then return 8 elif outpoint = "error" then return HFloat(4.3358703200253965e-9) elif outpoint = "errorproc" then error "this is already the error procedure" elif outpoint = "rawdata" then return [2, 33, [theta(x), diff(theta(x), x)], X, Y] else return ('procname')(x_bvp) end if end if; if outpoint < X[1] or X[33] < outpoint then error "solution is only defined in the range %1..%2", X[1], X[33] end if; V := array([1 = 4, 2 = 0]); if Digits <= trunc(evalhf(Digits)) then L := Vector(4, 'datatype' = 'float'[8]); yout := Vector(2, 'datatype' = 'float'[8]); evalhf(`dsolve/numeric/lagrange`(33, 2, X, Y, outpoint, var(yout), var(L), var(V))) else L := Vector(4, 'datatype' = 'sfloat'); yout := Vector(2, 'datatype' = 'sfloat'); `dsolve/numeric/lagrange`(33, 2, X, Y, outpoint, yout, L, V) end if; [x = outpoint, seq('[theta(x), diff(theta(x), x)]'[i] = yout[i], i = 1 .. 2)] end proc; if not type(outpoint, 'numeric') then if outpoint = "start" or outpoint = "left" then return X[1] elif outpoint = "method" then return "bvp" elif outpoint = "right" then return X[33] elif outpoint = "order" then return 8 elif outpoint = "error" then return HFloat(4.3358703200253965e-9) elif outpoint = "errorproc" then return eval(errproc) elif outpoint = "rawdata" then return [2, 33, "depnames", X, Y, YP] else error "non-numeric value" end if end if; if outpoint < X[1] or X[33] < outpoint then error "solution is only defined in the range %1..%2", X[1], X[33] end if; if Digits <= trunc(evalhf(Digits)) and (_EnvInFsolve <> true or _EnvDSNumericSaveDigits <= trunc(evalhf(Digits))) then V := array( 1 .. 6, [( 1 ) = (7), ( 2 ) = (0), ( 3 ) = (false), ( 4 ) = (false), ( 5 ) = (false), ( 6 ) = (false)  ] ); L := Matrix(7, 2, {(1, 1) = .0, (1, 2) = .0, (2, 1) = .0, (2, 2) = .0, (3, 1) = .0, (3, 2) = .0, (4, 1) = .0, (4, 2) = .0, (5, 1) = .0, (5, 2) = .0, (6, 1) = .0, (6, 2) = .0, (7, 1) = .0, (7, 2) = .0}, datatype = float[8], order = C_order); yout := Vector(2, {(1) = .0, (2) = .0}, datatype = float[8]); evalhf(`dsolve/numeric/hermite`(33, 2, X, Y, YP, outpoint, var(yout), var(L), var(V))) else if _EnvInFsolve = true then Digits := _EnvDSNumericSaveDigits end if; V := array( 1 .. 6, [( 1 ) = (7), ( 2 ) = (0), ( 3 ) = (false), ( 4 ) = (false), ( 5 ) = (false), ( 6 ) = (false)  ] ); L := Matrix(7, 2, {(1, 1) = 0., (1, 2) = 0., (2, 1) = 0., (2, 2) = 0., (3, 1) = 0., (3, 2) = 0., (4, 1) = 0., (4, 2) = 0., (5, 1) = 0., (5, 2) = 0., (6, 1) = 0., (6, 2) = 0., (7, 1) = 0., (7, 2) = 0.}, order = C_order); yout := Vector(2, {(1) = 0., (2) = 0.}); `dsolve/numeric/hermite`(33, 2, X, Y, YP, outpoint, yout, L, V) end if; [outpoint, seq(yout[i], i = 1 .. 2)] end proc, (2) = Array(0..0, {}), (3) = [x, theta(x), diff(theta(x), x)], (4) = 0}); solnproc := data[1]; if not type(outpoint, 'numeric') then if outpoint = "solnprocedure" then return eval(solnproc) elif member(outpoint, ["start", "left", "right", "errorproc", "rawdata", "order", "error"]) then return solnproc(x_bvp) elif outpoint = "sysvars" then return data[3] elif procname <> unknown then return ('procname')(x_bvp) else _ndsol := pointto(data[2][0]); return ('_ndsol')(x_bvp) end if end if; try res := solnproc(outpoint); [x = res[1], seq('[theta(x), diff(theta(x), x)]'[i] = res[i+1], i = 1 .. 2)] catch: error  end try end proc

 

 

 


 

Download IP-TEMP_mmcdara.mw

The possibility that a solution exists in the range -(1+x^2/2)..+(1+x^2/2) seems very small if we randomly choose the values of k, x and beta.

You will find in the attached file the "classical" dsolve/numeric method (look to the continuation option, it could help), and further an alternative method which seems more promising.
But the problem is far from being completely solved.

restart;

kernelopts(version):

de := diff(u(y), y, y) + 4*beta*diff(u(y), y)^(4 - 1)*diff(u(y), y, y)+3=0;
de := isolate(de, diff(u(y), y, y)):

de := unapply(de, beta);

diff(diff(u(y), y), y)+4*beta*(diff(u(y), y))^3*(diff(diff(u(y), y), y))+3 = 0

 

proc (beta) options operator, arrow; diff(diff(u(y), y), y) = -3/(4*beta*(diff(u(y), y))^3+1) end proc

(1)

desol := proc(x, k, beta, N, e)
  local sigma := 1+x^2/2:
  dsolve({de(beta), u(-sigma)=1, u(sigma)=k}, numeric, output=listprocedure, maxmesh=N, abserr=e):
end proc:

# Data for which the Newton converges

X   := 0:
r   := -(1+X^2/2)..(1+X^2/2);
sol := desol(X, 3, 3/2, 10^4, 1e-6);
f1  := eval(u(y), sol):
f2  := eval(diff(u(y), y), sol):
plots:-dualaxisplot(plot(f1(y), y=r, color=blue), plot(f2(y), y=r, color=red))

-1 .. 1

 

[y = proc (y) local _res, _dat, _solnproc; option `Copyright (c) 1993 by the University of Waterloo. All rights reserved.`; _dat := Array(1..4, {(1) = proc (outpoint) local X, Y, YP, yout, errproc, L, V, i; option `Copyright (c) 2000 by Waterloo Maple Inc. All rights reserved.`; X := Vector(33, {(1) = -1.0, (2) = -.9458237203209267, (3) = -.8833630821725733, (4) = -.8202835535984881, (5) = -.756998214608357, (6) = -.693497339143695, (7) = -.6297616335570171, (8) = -.5657527546155252, (9) = -.5014532814936776, (10) = -.43685151757840085, (11) = -.37193725679169987, (12) = -.30670114550426375, (13) = -.24113562010242523, (14) = -.17524043355031438, (15) = -.10901230687751673, (16) = -0.42445726882400274e-1, (17) = 0.24454802356500084e-1, (18) = 0.9165104365169818e-1, (19) = .159087205170514, (20) = .22667268475501368, (21) = .2942466246367966, (22) = .3615615510986431, (23) = .42840829102523054, (24) = .4943840805083813, (25) = .5589971745924702, (26) = .6217192632450719, (27) = .6820627227515441, (28) = .7397944949099737, (29) = .7950154929196104, (30) = .848093904895967, (31) = .8995681973776464, (32) = .9500119511244636, (33) = 1.0}, datatype = float[8], order = C_order); Y := Matrix(33, 2, {(1, 1) = 1.0, (1, 2) = 1.3363521043188489, (2, 1) = 1.0721090308189354, (2, 2) = 1.3256223638771518, (3, 1) = 1.1545140200940989, (3, 2) = 1.3129422573726228, (4, 1) = 1.2369205934812009, (4, 2) = 1.2997794687530284, (5, 1) = 1.3187496464691046, (5, 2) = 1.2861892928864853, (6, 1) = 1.3999799599748963, (6, 2) = 1.2721390351452777, (7, 1) = 1.4805994543861765, (7, 2) = 1.2575899473949241, (8, 1) = 1.5606159256208683, (8, 2) = 1.2424939373383608, (9, 1) = 1.6400060793913456, (9, 2) = 1.2268018374557819, (10, 1) = 1.7187350038406513, (10, 2) = 1.2104592737268622, (11, 1) = 1.7967611076083612, (11, 2) = 1.1934045191013942, (12, 1) = 1.8740363279643568, (12, 2) = 1.1755668155752497, (13, 1) = 1.9505043254495205, (13, 2) = 1.1568647054587482, (14, 1) = 2.0260934090823004, (14, 2) = 1.13720528856234, (15, 1) = 2.1007276793555016, (15, 2) = 1.116478168491131, (16, 1) = 2.174324454638837, (16, 2) = 1.094551239538847, (17, 1) = 2.2467791187732518, (17, 2) = 1.071269119225075, (18, 1) = 2.317939248331829, (18, 2) = 1.046455414760916, (19, 1) = 2.3876227791536064, (19, 2) = 1.019899902278849, (20, 1) = 2.455600357117798, (20, 2) = .9913551014193845, (21, 1) = 2.521562933811539, (21, 2) = .960540605714957, (22, 1) = 2.5851141229057544, (22, 2) = .9271415673688796, (23, 1) = 2.6458934140049903, (23, 2) = .8907285595127856, (24, 1) = 2.7033686316790333, (24, 2) = .8508551428375233, (25, 1) = 2.756957138181792, (25, 2) = .8069983367424449, (26, 1) = 2.8060879246634367, (26, 2) = .7585058534506953, (27, 1) = 2.8502713490817806, (27, 2) = .7044947232385035, (28, 1) = 2.889234791497566, (28, 2) = .6435309492162128, (29, 1) = 2.9228937633575036, (29, 2) = .5732001163967434, (30, 1) = 2.951183634049377, (30, 2) = .489659128459701, (31, 1) = 2.973864534993095, (31, 2) = .38760934801125446, (32, 1) = 2.990376431636008, (32, 2) = .26296404254458466, (33, 1) = 3.0, (33, 2) = .11986289594785787}, datatype = float[8], order = C_order); YP := Matrix(33, 2, {(1, 1) = 1.3363521043188489, (1, 2) = -.19583470330480324, (2, 1) = 1.3256223638771518, (2, 2) = -.2003085356928717, (3, 1) = 1.3129422573726228, (3, 2) = -.20576645364131696, (4, 1) = 1.2997794687530284, (4, 2) = -.2116358433951971, (5, 1) = 1.2861892928864853, (5, 2) = -.21792307299474237, (6, 1) = 1.2721390351452777, (6, 2) = -.2246769670372416, (7, 1) = 1.2575899473949241, (7, 2) = -.2319554857707718, (8, 1) = 1.2424939373383608, (8, 2) = -.23982910502790494, (9, 1) = 1.2268018374557819, (9, 2) = -.2483785999197207, (10, 1) = 1.2104592737268622, (10, 2) = -.257699321218442, (11, 1) = 1.1934045191013942, (11, 2) = -.2679053892299843, (12, 1) = 1.1755668155752497, (12, 2) = -.27913470529486034, (13, 1) = 1.1568647054587482, (13, 2) = -.29155534081661294, (14, 1) = 1.13720528856234, (14, 2) = -.30537310037977394, (15, 1) = 1.116478168491131, (15, 2) = -.3208454010959337, (16, 1) = 1.094551239538847, (16, 2) = -.33829831714247927, (17, 1) = 1.071269119225075, (17, 2) = -.3581472343121855, (18, 1) = 1.046455414760916, (18, 2) = -.38092118653421203, (19, 1) = 1.019899902278849, (19, 2) = -.4073113122446764, (20, 1) = .9913551014193845, (20, 2) = -.4382291753487525, (21, 1) = .960540605714957, (21, 2) = -.47487972890233343, (22, 1) = .9271415673688796, (22, 2) = -.5188715318283793, (23, 1) = .8907285595127856, (23, 2) = -.5724961227733896, (24, 1) = .8508551428375233, (24, 2) = -.63885757617328, (25, 1) = .8069983367424449, (25, 2) = -.7223122960779227, (26, 1) = .7585058534506953, (26, 2) = -.8291066908163034, (27, 1) = .7044947232385035, (27, 2) = -.9683983984638299, (28, 1) = .6435309492162128, (28, 2) = -1.1542719588692818, (29, 1) = .5732001163967434, (29, 2) = -1.408465127844524, (30, 1) = .489659128459701, (30, 2) = -1.7601276392352694, (31, 1) = .38760934801125446, (31, 2) = -2.223195633066229, (32, 1) = .26296404254458466, (32, 2) = -2.704886302395077, (33, 1) = .11986289594785787, (33, 2) = -2.969319496747946}, datatype = float[8], order = C_order); errproc := proc (x_bvp) local outpoint, X, Y, yout, L, V, i; option `Copyright (c) 2000 by Waterloo Maple Inc. All rights reserved.`; Digits := 15; outpoint := evalf(x_bvp); X := Vector(33, {(1) = -1.0, (2) = -.9458237203209267, (3) = -.8833630821725733, (4) = -.8202835535984881, (5) = -.756998214608357, (6) = -.693497339143695, (7) = -.6297616335570171, (8) = -.5657527546155252, (9) = -.5014532814936776, (10) = -.43685151757840085, (11) = -.37193725679169987, (12) = -.30670114550426375, (13) = -.24113562010242523, (14) = -.17524043355031438, (15) = -.10901230687751673, (16) = -0.42445726882400274e-1, (17) = 0.24454802356500084e-1, (18) = 0.9165104365169818e-1, (19) = .159087205170514, (20) = .22667268475501368, (21) = .2942466246367966, (22) = .3615615510986431, (23) = .42840829102523054, (24) = .4943840805083813, (25) = .5589971745924702, (26) = .6217192632450719, (27) = .6820627227515441, (28) = .7397944949099737, (29) = .7950154929196104, (30) = .848093904895967, (31) = .8995681973776464, (32) = .9500119511244636, (33) = 1.0}, datatype = float[8], order = C_order); Y := Matrix(33, 2, {(1, 1) = .0, (1, 2) = 0.2530972060632872e-9, (2, 1) = 0.13849467702830243e-10, (2, 2) = 0.2590654789650105e-9, (3, 1) = 0.30191183319124696e-10, (3, 2) = 0.26637147750259445e-9, (4, 1) = 0.4716003062802634e-10, (4, 2) = 0.2742498508200518e-9, (5, 1) = 0.6468458852543919e-10, (5, 2) = 0.2827104658855037e-9, (6, 1) = 0.828071398408526e-10, (6, 2) = 0.2918261678004611e-9, (7, 1) = 0.10157402287488117e-9, (7, 2) = 0.3016807236308871e-9, (8, 1) = 0.1210430755189599e-9, (8, 2) = 0.31237951195205355e-9, (9, 1) = 0.14127504203720697e-9, (9, 2) = 0.3240398148692722e-9, (10, 1) = 0.16232924991820434e-9, (10, 2) = 0.3368017093074951e-9, (11, 1) = 0.18427386305946326e-9, (11, 2) = 0.3508356769677666e-9, (12, 1) = 0.20717745361774073e-9, (12, 2) = 0.3663426312772277e-9, (13, 1) = 0.23111503274302897e-9, (13, 2) = 0.38356658306617057e-9, (14, 1) = 0.25615856570455645e-9, (14, 2) = 0.4027953585330765e-9, (15, 1) = 0.2823754619834763e-9, (15, 2) = 0.42438090508498705e-9, (16, 1) = 0.3098141601595754e-9, (16, 2) = 0.44873246295371593e-9, (17, 1) = 0.33848370221495083e-9, (17, 2) = 0.4763122179931222e-9, (18, 1) = 0.36832307015743584e-9, (18, 2) = 0.5075909155393642e-9, (19, 1) = 0.39912694763274873e-9, (19, 2) = 0.542944265395166e-9, (20, 1) = 0.43047980282076466e-9, (20, 2) = 0.5824049389153127e-9, (21, 1) = 0.4616357628278712e-9, (21, 2) = 0.625116429978663e-9, (22, 1) = 0.4914430988281275e-9, (22, 2) = 0.6682760797209705e-9, (23, 1) = 0.5183930270947873e-9, (23, 2) = 0.7049675854461973e-9, (24, 1) = 0.5415198212998602e-9, (24, 2) = 0.721143088229846e-9, (25, 1) = 0.5635382382002747e-9, (25, 2) = 0.6934464140488544e-9, (26, 1) = 0.6002639062718956e-9, (26, 2) = 0.5989210661963517e-9, (27, 1) = 0.706098567596946e-9, (27, 2) = 0.4809828861155193e-9, (28, 1) = 0.10421392991659514e-8, (28, 2) = 0.7253655635047217e-9, (29, 1) = 0.20265104122627437e-8, (29, 2) = 0.2957165045513383e-8, (30, 1) = 0.4269667485564131e-8, (30, 2) = 0.10940520569194152e-7, (31, 1) = 0.5656402540311171e-8, (31, 2) = 0.20993295699570182e-7, (32, 1) = -0.17310141265090707e-8, (32, 2) = 0.9759760596876067e-8, (33, 1) = .0, (33, 2) = -0.8332371640072365e-8}, datatype = float[8], order = C_order); if not type(outpoint, 'numeric') then if outpoint = "start" or outpoint = "left" then return X[1] elif outpoint = "right" then return X[33] elif outpoint = "order" then return 6 elif outpoint = "error" then return HFloat(2.0993295699570182e-8) elif outpoint = "errorproc" then error "this is already the error procedure" elif outpoint = "rawdata" then return [2, 33, [u(y), diff(u(y), y)], X, Y] else return ('procname')(x_bvp) end if end if; if outpoint < X[1] or X[33] < outpoint then error "solution is only defined in the range %1..%2", X[1], X[33] end if; V := array([1 = 4, 2 = 0]); if Digits <= trunc(evalhf(Digits)) then L := Vector(4, 'datatype' = 'float'[8]); yout := Vector(2, 'datatype' = 'float'[8]); evalhf(`dsolve/numeric/lagrange`(33, 2, X, Y, outpoint, var(yout), var(L), var(V))) else L := Vector(4, 'datatype' = 'sfloat'); yout := Vector(2, 'datatype' = 'sfloat'); `dsolve/numeric/lagrange`(33, 2, X, Y, outpoint, yout, L, V) end if; [y = outpoint, seq('[u(y), diff(u(y), y)]'[i] = yout[i], i = 1 .. 2)] end proc; if not type(outpoint, 'numeric') then if outpoint = "start" or outpoint = "left" then return X[1] elif outpoint = "method" then return "bvp" elif outpoint = "right" then return X[33] elif outpoint = "order" then return 6 elif outpoint = "error" then return HFloat(2.0993295699570182e-8) elif outpoint = "errorproc" then return eval(errproc) elif outpoint = "rawdata" then return [2, 33, "depnames", X, Y, YP] else error "non-numeric value" end if end if; if outpoint < X[1] or X[33] < outpoint then error "solution is only defined in the range %1..%2", X[1], X[33] end if; if Digits <= trunc(evalhf(Digits)) and (_EnvInFsolve <> true or _EnvDSNumericSaveDigits <= trunc(evalhf(Digits))) then V := array( 1 .. 6, [( 1 ) = (7), ( 2 ) = (0), ( 3 ) = (false), ( 4 ) = (false), ( 5 ) = (false), ( 6 ) = (false)  ] ); L := Matrix(7, 2, {(1, 1) = .0, (1, 2) = .0, (2, 1) = .0, (2, 2) = .0, (3, 1) = .0, (3, 2) = .0, (4, 1) = .0, (4, 2) = .0, (5, 1) = .0, (5, 2) = .0, (6, 1) = .0, (6, 2) = .0, (7, 1) = .0, (7, 2) = .0}, datatype = float[8], order = C_order); yout := Vector(2, {(1) = .0, (2) = .0}, datatype = float[8]); evalhf(`dsolve/numeric/hermite`(33, 2, X, Y, YP, outpoint, var(yout), var(L), var(V))) else if _EnvInFsolve = true then Digits := _EnvDSNumericSaveDigits end if; V := array( 1 .. 6, [( 1 ) = (7), ( 2 ) = (0), ( 3 ) = (false), ( 4 ) = (false), ( 5 ) = (false), ( 6 ) = (false)  ] ); L := Matrix(7, 2, {(1, 1) = 0., (1, 2) = 0., (2, 1) = 0., (2, 2) = 0., (3, 1) = 0., (3, 2) = 0., (4, 1) = 0., (4, 2) = 0., (5, 1) = 0., (5, 2) = 0., (6, 1) = 0., (6, 2) = 0., (7, 1) = 0., (7, 2) = 0.}, order = C_order); yout := Vector(2, {(1) = 0., (2) = 0.}); `dsolve/numeric/hermite`(33, 2, X, Y, YP, outpoint, yout, L, V) end if; [outpoint, seq(yout[i], i = 1 .. 2)] end proc, (2) = Array(1..3, {(1) = 18446744078115923854, (2) = 18446744078115924382, (3) = 18446744078115924558}), (3) = [y, u(y), diff(u(y), y)], (4) = 0}); _solnproc := _dat[1]; if member(y, ["last", 'last']) then _res := _solnproc("last"); if type(_res, 'list') then return _res[1] end if elif type(y, `=`) and member(lhs(y), ["initial", 'initial']) then if type(rhs(y), 'list') then _res := _solnproc("initial" = [0, op(rhs(y))]) else _res := _solnproc("initial" = [1, rhs(y)]) end if; if type(_res, 'list') then return _res[1] end if elif y = "sysvars" then return _dat[3] end if; y end proc, u(y) = proc (y) local res, data, solnproc, `u(y)`, outpoint; option `Copyright (c) 2000 by Waterloo Maple Inc. All rights reserved.`; _EnvDSNumericSaveDigits := Digits; Digits := 15; if _EnvInFsolve = true then outpoint := evalf[_EnvDSNumericSaveDigits](y) else outpoint := evalf(y) end if; data := Array(1..4, {(1) = proc (outpoint) local X, Y, YP, yout, errproc, L, V, i; option `Copyright (c) 2000 by Waterloo Maple Inc. All rights reserved.`; X := Vector(33, {(1) = -1.0, (2) = -.9458237203209267, (3) = -.8833630821725733, (4) = -.8202835535984881, (5) = -.756998214608357, (6) = -.693497339143695, (7) = -.6297616335570171, (8) = -.5657527546155252, (9) = -.5014532814936776, (10) = -.43685151757840085, (11) = -.37193725679169987, (12) = -.30670114550426375, (13) = -.24113562010242523, (14) = -.17524043355031438, (15) = -.10901230687751673, (16) = -0.42445726882400274e-1, (17) = 0.24454802356500084e-1, (18) = 0.9165104365169818e-1, (19) = .159087205170514, (20) = .22667268475501368, (21) = .2942466246367966, (22) = .3615615510986431, (23) = .42840829102523054, (24) = .4943840805083813, (25) = .5589971745924702, (26) = .6217192632450719, (27) = .6820627227515441, (28) = .7397944949099737, (29) = .7950154929196104, (30) = .848093904895967, (31) = .8995681973776464, (32) = .9500119511244636, (33) = 1.0}, datatype = float[8], order = C_order); Y := Matrix(33, 2, {(1, 1) = 1.0, (1, 2) = 1.3363521043188489, (2, 1) = 1.0721090308189354, (2, 2) = 1.3256223638771518, (3, 1) = 1.1545140200940989, (3, 2) = 1.3129422573726228, (4, 1) = 1.2369205934812009, (4, 2) = 1.2997794687530284, (5, 1) = 1.3187496464691046, (5, 2) = 1.2861892928864853, (6, 1) = 1.3999799599748963, (6, 2) = 1.2721390351452777, (7, 1) = 1.4805994543861765, (7, 2) = 1.2575899473949241, (8, 1) = 1.5606159256208683, (8, 2) = 1.2424939373383608, (9, 1) = 1.6400060793913456, (9, 2) = 1.2268018374557819, (10, 1) = 1.7187350038406513, (10, 2) = 1.2104592737268622, (11, 1) = 1.7967611076083612, (11, 2) = 1.1934045191013942, (12, 1) = 1.8740363279643568, (12, 2) = 1.1755668155752497, (13, 1) = 1.9505043254495205, (13, 2) = 1.1568647054587482, (14, 1) = 2.0260934090823004, (14, 2) = 1.13720528856234, (15, 1) = 2.1007276793555016, (15, 2) = 1.116478168491131, (16, 1) = 2.174324454638837, (16, 2) = 1.094551239538847, (17, 1) = 2.2467791187732518, (17, 2) = 1.071269119225075, (18, 1) = 2.317939248331829, (18, 2) = 1.046455414760916, (19, 1) = 2.3876227791536064, (19, 2) = 1.019899902278849, (20, 1) = 2.455600357117798, (20, 2) = .9913551014193845, (21, 1) = 2.521562933811539, (21, 2) = .960540605714957, (22, 1) = 2.5851141229057544, (22, 2) = .9271415673688796, (23, 1) = 2.6458934140049903, (23, 2) = .8907285595127856, (24, 1) = 2.7033686316790333, (24, 2) = .8508551428375233, (25, 1) = 2.756957138181792, (25, 2) = .8069983367424449, (26, 1) = 2.8060879246634367, (26, 2) = .7585058534506953, (27, 1) = 2.8502713490817806, (27, 2) = .7044947232385035, (28, 1) = 2.889234791497566, (28, 2) = .6435309492162128, (29, 1) = 2.9228937633575036, (29, 2) = .5732001163967434, (30, 1) = 2.951183634049377, (30, 2) = .489659128459701, (31, 1) = 2.973864534993095, (31, 2) = .38760934801125446, (32, 1) = 2.990376431636008, (32, 2) = .26296404254458466, (33, 1) = 3.0, (33, 2) = .11986289594785787}, datatype = float[8], order = C_order); YP := Matrix(33, 2, {(1, 1) = 1.3363521043188489, (1, 2) = -.19583470330480324, (2, 1) = 1.3256223638771518, (2, 2) = -.2003085356928717, (3, 1) = 1.3129422573726228, (3, 2) = -.20576645364131696, (4, 1) = 1.2997794687530284, (4, 2) = -.2116358433951971, (5, 1) = 1.2861892928864853, (5, 2) = -.21792307299474237, (6, 1) = 1.2721390351452777, (6, 2) = -.2246769670372416, (7, 1) = 1.2575899473949241, (7, 2) = -.2319554857707718, (8, 1) = 1.2424939373383608, (8, 2) = -.23982910502790494, (9, 1) = 1.2268018374557819, (9, 2) = -.2483785999197207, (10, 1) = 1.2104592737268622, (10, 2) = -.257699321218442, (11, 1) = 1.1934045191013942, (11, 2) = -.2679053892299843, (12, 1) = 1.1755668155752497, (12, 2) = -.27913470529486034, (13, 1) = 1.1568647054587482, (13, 2) = -.29155534081661294, (14, 1) = 1.13720528856234, (14, 2) = -.30537310037977394, (15, 1) = 1.116478168491131, (15, 2) = -.3208454010959337, (16, 1) = 1.094551239538847, (16, 2) = -.33829831714247927, (17, 1) = 1.071269119225075, (17, 2) = -.3581472343121855, (18, 1) = 1.046455414760916, (18, 2) = -.38092118653421203, (19, 1) = 1.019899902278849, (19, 2) = -.4073113122446764, (20, 1) = .9913551014193845, (20, 2) = -.4382291753487525, (21, 1) = .960540605714957, (21, 2) = -.47487972890233343, (22, 1) = .9271415673688796, (22, 2) = -.5188715318283793, (23, 1) = .8907285595127856, (23, 2) = -.5724961227733896, (24, 1) = .8508551428375233, (24, 2) = -.63885757617328, (25, 1) = .8069983367424449, (25, 2) = -.7223122960779227, (26, 1) = .7585058534506953, (26, 2) = -.8291066908163034, (27, 1) = .7044947232385035, (27, 2) = -.9683983984638299, (28, 1) = .6435309492162128, (28, 2) = -1.1542719588692818, (29, 1) = .5732001163967434, (29, 2) = -1.408465127844524, (30, 1) = .489659128459701, (30, 2) = -1.7601276392352694, (31, 1) = .38760934801125446, (31, 2) = -2.223195633066229, (32, 1) = .26296404254458466, (32, 2) = -2.704886302395077, (33, 1) = .11986289594785787, (33, 2) = -2.969319496747946}, datatype = float[8], order = C_order); errproc := proc (x_bvp) local outpoint, X, Y, yout, L, V, i; option `Copyright (c) 2000 by Waterloo Maple Inc. All rights reserved.`; Digits := 15; outpoint := evalf(x_bvp); X := Vector(33, {(1) = -1.0, (2) = -.9458237203209267, (3) = -.8833630821725733, (4) = -.8202835535984881, (5) = -.756998214608357, (6) = -.693497339143695, (7) = -.6297616335570171, (8) = -.5657527546155252, (9) = -.5014532814936776, (10) = -.43685151757840085, (11) = -.37193725679169987, (12) = -.30670114550426375, (13) = -.24113562010242523, (14) = -.17524043355031438, (15) = -.10901230687751673, (16) = -0.42445726882400274e-1, (17) = 0.24454802356500084e-1, (18) = 0.9165104365169818e-1, (19) = .159087205170514, (20) = .22667268475501368, (21) = .2942466246367966, (22) = .3615615510986431, (23) = .42840829102523054, (24) = .4943840805083813, (25) = .5589971745924702, (26) = .6217192632450719, (27) = .6820627227515441, (28) = .7397944949099737, (29) = .7950154929196104, (30) = .848093904895967, (31) = .8995681973776464, (32) = .9500119511244636, (33) = 1.0}, datatype = float[8], order = C_order); Y := Matrix(33, 2, {(1, 1) = .0, (1, 2) = 0.2530972060632872e-9, (2, 1) = 0.13849467702830243e-10, (2, 2) = 0.2590654789650105e-9, (3, 1) = 0.30191183319124696e-10, (3, 2) = 0.26637147750259445e-9, (4, 1) = 0.4716003062802634e-10, (4, 2) = 0.2742498508200518e-9, (5, 1) = 0.6468458852543919e-10, (5, 2) = 0.2827104658855037e-9, (6, 1) = 0.828071398408526e-10, (6, 2) = 0.2918261678004611e-9, (7, 1) = 0.10157402287488117e-9, (7, 2) = 0.3016807236308871e-9, (8, 1) = 0.1210430755189599e-9, (8, 2) = 0.31237951195205355e-9, (9, 1) = 0.14127504203720697e-9, (9, 2) = 0.3240398148692722e-9, (10, 1) = 0.16232924991820434e-9, (10, 2) = 0.3368017093074951e-9, (11, 1) = 0.18427386305946326e-9, (11, 2) = 0.3508356769677666e-9, (12, 1) = 0.20717745361774073e-9, (12, 2) = 0.3663426312772277e-9, (13, 1) = 0.23111503274302897e-9, (13, 2) = 0.38356658306617057e-9, (14, 1) = 0.25615856570455645e-9, (14, 2) = 0.4027953585330765e-9, (15, 1) = 0.2823754619834763e-9, (15, 2) = 0.42438090508498705e-9, (16, 1) = 0.3098141601595754e-9, (16, 2) = 0.44873246295371593e-9, (17, 1) = 0.33848370221495083e-9, (17, 2) = 0.4763122179931222e-9, (18, 1) = 0.36832307015743584e-9, (18, 2) = 0.5075909155393642e-9, (19, 1) = 0.39912694763274873e-9, (19, 2) = 0.542944265395166e-9, (20, 1) = 0.43047980282076466e-9, (20, 2) = 0.5824049389153127e-9, (21, 1) = 0.4616357628278712e-9, (21, 2) = 0.625116429978663e-9, (22, 1) = 0.4914430988281275e-9, (22, 2) = 0.6682760797209705e-9, (23, 1) = 0.5183930270947873e-9, (23, 2) = 0.7049675854461973e-9, (24, 1) = 0.5415198212998602e-9, (24, 2) = 0.721143088229846e-9, (25, 1) = 0.5635382382002747e-9, (25, 2) = 0.6934464140488544e-9, (26, 1) = 0.6002639062718956e-9, (26, 2) = 0.5989210661963517e-9, (27, 1) = 0.706098567596946e-9, (27, 2) = 0.4809828861155193e-9, (28, 1) = 0.10421392991659514e-8, (28, 2) = 0.7253655635047217e-9, (29, 1) = 0.20265104122627437e-8, (29, 2) = 0.2957165045513383e-8, (30, 1) = 0.4269667485564131e-8, (30, 2) = 0.10940520569194152e-7, (31, 1) = 0.5656402540311171e-8, (31, 2) = 0.20993295699570182e-7, (32, 1) = -0.17310141265090707e-8, (32, 2) = 0.9759760596876067e-8, (33, 1) = .0, (33, 2) = -0.8332371640072365e-8}, datatype = float[8], order = C_order); if not type(outpoint, 'numeric') then if outpoint = "start" or outpoint = "left" then return X[1] elif outpoint = "right" then return X[33] elif outpoint = "order" then return 6 elif outpoint = "error" then return HFloat(2.0993295699570182e-8) elif outpoint = "errorproc" then error "this is already the error procedure" elif outpoint = "rawdata" then return [2, 33, [u(y), diff(u(y), y)], X, Y] else return ('procname')(x_bvp) end if end if; if outpoint < X[1] or X[33] < outpoint then error "solution is only defined in the range %1..%2", X[1], X[33] end if; V := array([1 = 4, 2 = 0]); if Digits <= trunc(evalhf(Digits)) then L := Vector(4, 'datatype' = 'float'[8]); yout := Vector(2, 'datatype' = 'float'[8]); evalhf(`dsolve/numeric/lagrange`(33, 2, X, Y, outpoint, var(yout), var(L), var(V))) else L := Vector(4, 'datatype' = 'sfloat'); yout := Vector(2, 'datatype' = 'sfloat'); `dsolve/numeric/lagrange`(33, 2, X, Y, outpoint, yout, L, V) end if; [y = outpoint, seq('[u(y), diff(u(y), y)]'[i] = yout[i], i = 1 .. 2)] end proc; if not type(outpoint, 'numeric') then if outpoint = "start" or outpoint = "left" then return X[1] elif outpoint = "method" then return "bvp" elif outpoint = "right" then return X[33] elif outpoint = "order" then return 6 elif outpoint = "error" then return HFloat(2.0993295699570182e-8) elif outpoint = "errorproc" then return eval(errproc) elif outpoint = "rawdata" then return [2, 33, "depnames", X, Y, YP] else error "non-numeric value" end if end if; if outpoint < X[1] or X[33] < outpoint then error "solution is only defined in the range %1..%2", X[1], X[33] end if; if Digits <= trunc(evalhf(Digits)) and (_EnvInFsolve <> true or _EnvDSNumericSaveDigits <= trunc(evalhf(Digits))) then V := array( 1 .. 6, [( 1 ) = (7), ( 2 ) = (0), ( 3 ) = (false), ( 4 ) = (false), ( 5 ) = (false), ( 6 ) = (false)  ] ); L := Matrix(7, 2, {(1, 1) = .0, (1, 2) = .0, (2, 1) = .0, (2, 2) = .0, (3, 1) = .0, (3, 2) = .0, (4, 1) = .0, (4, 2) = .0, (5, 1) = .0, (5, 2) = .0, (6, 1) = .0, (6, 2) = .0, (7, 1) = .0, (7, 2) = .0}, datatype = float[8], order = C_order); yout := Vector(2, {(1) = .0, (2) = .0}, datatype = float[8]); evalhf(`dsolve/numeric/hermite`(33, 2, X, Y, YP, outpoint, var(yout), var(L), var(V))) else if _EnvInFsolve = true then Digits := _EnvDSNumericSaveDigits end if; V := array( 1 .. 6, [( 1 ) = (7), ( 2 ) = (0), ( 3 ) = (false), ( 4 ) = (false), ( 5 ) = (false), ( 6 ) = (false)  ] ); L := Matrix(7, 2, {(1, 1) = 0., (1, 2) = 0., (2, 1) = 0., (2, 2) = 0., (3, 1) = 0., (3, 2) = 0., (4, 1) = 0., (4, 2) = 0., (5, 1) = 0., (5, 2) = 0., (6, 1) = 0., (6, 2) = 0., (7, 1) = 0., (7, 2) = 0.}, order = C_order); yout := Vector(2, {(1) = 0., (2) = 0.}); `dsolve/numeric/hermite`(33, 2, X, Y, YP, outpoint, yout, L, V) end if; [outpoint, seq(yout[i], i = 1 .. 2)] end proc, (2) = Array(1..3, {(1) = 18446744078115923854, (2) = 18446744078115924382, (3) = 18446744078115924558}), (3) = [y, u(y), diff(u(y), y)], (4) = 0}); solnproc := data[1]; if not type(outpoint, 'numeric') then if outpoint = "solnprocedure" then return eval(solnproc) elif member(outpoint, ["start", "left", "right", "errorproc", "rawdata", "order", "error"]) then return solnproc(y) elif outpoint = "sysvars" then return data[3] elif procname <> unknown then return ('procname')(y) else `u(y)` := pointto(data[2][2]); return ('`u(y)`')(y) end if end if; try res := solnproc(outpoint); res[2] catch: error  end try end proc, diff(u(y), y) = proc (y) local res, data, solnproc, `diff(u(y),y)`, outpoint; option `Copyright (c) 2000 by Waterloo Maple Inc. All rights reserved.`; _EnvDSNumericSaveDigits := Digits; Digits := 15; if _EnvInFsolve = true then outpoint := evalf[_EnvDSNumericSaveDigits](y) else outpoint := evalf(y) end if; data := Array(1..4, {(1) = proc (outpoint) local X, Y, YP, yout, errproc, L, V, i; option `Copyright (c) 2000 by Waterloo Maple Inc. All rights reserved.`; X := Vector(33, {(1) = -1.0, (2) = -.9458237203209267, (3) = -.8833630821725733, (4) = -.8202835535984881, (5) = -.756998214608357, (6) = -.693497339143695, (7) = -.6297616335570171, (8) = -.5657527546155252, (9) = -.5014532814936776, (10) = -.43685151757840085, (11) = -.37193725679169987, (12) = -.30670114550426375, (13) = -.24113562010242523, (14) = -.17524043355031438, (15) = -.10901230687751673, (16) = -0.42445726882400274e-1, (17) = 0.24454802356500084e-1, (18) = 0.9165104365169818e-1, (19) = .159087205170514, (20) = .22667268475501368, (21) = .2942466246367966, (22) = .3615615510986431, (23) = .42840829102523054, (24) = .4943840805083813, (25) = .5589971745924702, (26) = .6217192632450719, (27) = .6820627227515441, (28) = .7397944949099737, (29) = .7950154929196104, (30) = .848093904895967, (31) = .8995681973776464, (32) = .9500119511244636, (33) = 1.0}, datatype = float[8], order = C_order); Y := Matrix(33, 2, {(1, 1) = 1.0, (1, 2) = 1.3363521043188489, (2, 1) = 1.0721090308189354, (2, 2) = 1.3256223638771518, (3, 1) = 1.1545140200940989, (3, 2) = 1.3129422573726228, (4, 1) = 1.2369205934812009, (4, 2) = 1.2997794687530284, (5, 1) = 1.3187496464691046, (5, 2) = 1.2861892928864853, (6, 1) = 1.3999799599748963, (6, 2) = 1.2721390351452777, (7, 1) = 1.4805994543861765, (7, 2) = 1.2575899473949241, (8, 1) = 1.5606159256208683, (8, 2) = 1.2424939373383608, (9, 1) = 1.6400060793913456, (9, 2) = 1.2268018374557819, (10, 1) = 1.7187350038406513, (10, 2) = 1.2104592737268622, (11, 1) = 1.7967611076083612, (11, 2) = 1.1934045191013942, (12, 1) = 1.8740363279643568, (12, 2) = 1.1755668155752497, (13, 1) = 1.9505043254495205, (13, 2) = 1.1568647054587482, (14, 1) = 2.0260934090823004, (14, 2) = 1.13720528856234, (15, 1) = 2.1007276793555016, (15, 2) = 1.116478168491131, (16, 1) = 2.174324454638837, (16, 2) = 1.094551239538847, (17, 1) = 2.2467791187732518, (17, 2) = 1.071269119225075, (18, 1) = 2.317939248331829, (18, 2) = 1.046455414760916, (19, 1) = 2.3876227791536064, (19, 2) = 1.019899902278849, (20, 1) = 2.455600357117798, (20, 2) = .9913551014193845, (21, 1) = 2.521562933811539, (21, 2) = .960540605714957, (22, 1) = 2.5851141229057544, (22, 2) = .9271415673688796, (23, 1) = 2.6458934140049903, (23, 2) = .8907285595127856, (24, 1) = 2.7033686316790333, (24, 2) = .8508551428375233, (25, 1) = 2.756957138181792, (25, 2) = .8069983367424449, (26, 1) = 2.8060879246634367, (26, 2) = .7585058534506953, (27, 1) = 2.8502713490817806, (27, 2) = .7044947232385035, (28, 1) = 2.889234791497566, (28, 2) = .6435309492162128, (29, 1) = 2.9228937633575036, (29, 2) = .5732001163967434, (30, 1) = 2.951183634049377, (30, 2) = .489659128459701, (31, 1) = 2.973864534993095, (31, 2) = .38760934801125446, (32, 1) = 2.990376431636008, (32, 2) = .26296404254458466, (33, 1) = 3.0, (33, 2) = .11986289594785787}, datatype = float[8], order = C_order); YP := Matrix(33, 2, {(1, 1) = 1.3363521043188489, (1, 2) = -.19583470330480324, (2, 1) = 1.3256223638771518, (2, 2) = -.2003085356928717, (3, 1) = 1.3129422573726228, (3, 2) = -.20576645364131696, (4, 1) = 1.2997794687530284, (4, 2) = -.2116358433951971, (5, 1) = 1.2861892928864853, (5, 2) = -.21792307299474237, (6, 1) = 1.2721390351452777, (6, 2) = -.2246769670372416, (7, 1) = 1.2575899473949241, (7, 2) = -.2319554857707718, (8, 1) = 1.2424939373383608, (8, 2) = -.23982910502790494, (9, 1) = 1.2268018374557819, (9, 2) = -.2483785999197207, (10, 1) = 1.2104592737268622, (10, 2) = -.257699321218442, (11, 1) = 1.1934045191013942, (11, 2) = -.2679053892299843, (12, 1) = 1.1755668155752497, (12, 2) = -.27913470529486034, (13, 1) = 1.1568647054587482, (13, 2) = -.29155534081661294, (14, 1) = 1.13720528856234, (14, 2) = -.30537310037977394, (15, 1) = 1.116478168491131, (15, 2) = -.3208454010959337, (16, 1) = 1.094551239538847, (16, 2) = -.33829831714247927, (17, 1) = 1.071269119225075, (17, 2) = -.3581472343121855, (18, 1) = 1.046455414760916, (18, 2) = -.38092118653421203, (19, 1) = 1.019899902278849, (19, 2) = -.4073113122446764, (20, 1) = .9913551014193845, (20, 2) = -.4382291753487525, (21, 1) = .960540605714957, (21, 2) = -.47487972890233343, (22, 1) = .9271415673688796, (22, 2) = -.5188715318283793, (23, 1) = .8907285595127856, (23, 2) = -.5724961227733896, (24, 1) = .8508551428375233, (24, 2) = -.63885757617328, (25, 1) = .8069983367424449, (25, 2) = -.7223122960779227, (26, 1) = .7585058534506953, (26, 2) = -.8291066908163034, (27, 1) = .7044947232385035, (27, 2) = -.9683983984638299, (28, 1) = .6435309492162128, (28, 2) = -1.1542719588692818, (29, 1) = .5732001163967434, (29, 2) = -1.408465127844524, (30, 1) = .489659128459701, (30, 2) = -1.7601276392352694, (31, 1) = .38760934801125446, (31, 2) = -2.223195633066229, (32, 1) = .26296404254458466, (32, 2) = -2.704886302395077, (33, 1) = .11986289594785787, (33, 2) = -2.969319496747946}, datatype = float[8], order = C_order); errproc := proc (x_bvp) local outpoint, X, Y, yout, L, V, i; option `Copyright (c) 2000 by Waterloo Maple Inc. All rights reserved.`; Digits := 15; outpoint := evalf(x_bvp); X := Vector(33, {(1) = -1.0, (2) = -.9458237203209267, (3) = -.8833630821725733, (4) = -.8202835535984881, (5) = -.756998214608357, (6) = -.693497339143695, (7) = -.6297616335570171, (8) = -.5657527546155252, (9) = -.5014532814936776, (10) = -.43685151757840085, (11) = -.37193725679169987, (12) = -.30670114550426375, (13) = -.24113562010242523, (14) = -.17524043355031438, (15) = -.10901230687751673, (16) = -0.42445726882400274e-1, (17) = 0.24454802356500084e-1, (18) = 0.9165104365169818e-1, (19) = .159087205170514, (20) = .22667268475501368, (21) = .2942466246367966, (22) = .3615615510986431, (23) = .42840829102523054, (24) = .4943840805083813, (25) = .5589971745924702, (26) = .6217192632450719, (27) = .6820627227515441, (28) = .7397944949099737, (29) = .7950154929196104, (30) = .848093904895967, (31) = .8995681973776464, (32) = .9500119511244636, (33) = 1.0}, datatype = float[8], order = C_order); Y := Matrix(33, 2, {(1, 1) = .0, (1, 2) = 0.2530972060632872e-9, (2, 1) = 0.13849467702830243e-10, (2, 2) = 0.2590654789650105e-9, (3, 1) = 0.30191183319124696e-10, (3, 2) = 0.26637147750259445e-9, (4, 1) = 0.4716003062802634e-10, (4, 2) = 0.2742498508200518e-9, (5, 1) = 0.6468458852543919e-10, (5, 2) = 0.2827104658855037e-9, (6, 1) = 0.828071398408526e-10, (6, 2) = 0.2918261678004611e-9, (7, 1) = 0.10157402287488117e-9, (7, 2) = 0.3016807236308871e-9, (8, 1) = 0.1210430755189599e-9, (8, 2) = 0.31237951195205355e-9, (9, 1) = 0.14127504203720697e-9, (9, 2) = 0.3240398148692722e-9, (10, 1) = 0.16232924991820434e-9, (10, 2) = 0.3368017093074951e-9, (11, 1) = 0.18427386305946326e-9, (11, 2) = 0.3508356769677666e-9, (12, 1) = 0.20717745361774073e-9, (12, 2) = 0.3663426312772277e-9, (13, 1) = 0.23111503274302897e-9, (13, 2) = 0.38356658306617057e-9, (14, 1) = 0.25615856570455645e-9, (14, 2) = 0.4027953585330765e-9, (15, 1) = 0.2823754619834763e-9, (15, 2) = 0.42438090508498705e-9, (16, 1) = 0.3098141601595754e-9, (16, 2) = 0.44873246295371593e-9, (17, 1) = 0.33848370221495083e-9, (17, 2) = 0.4763122179931222e-9, (18, 1) = 0.36832307015743584e-9, (18, 2) = 0.5075909155393642e-9, (19, 1) = 0.39912694763274873e-9, (19, 2) = 0.542944265395166e-9, (20, 1) = 0.43047980282076466e-9, (20, 2) = 0.5824049389153127e-9, (21, 1) = 0.4616357628278712e-9, (21, 2) = 0.625116429978663e-9, (22, 1) = 0.4914430988281275e-9, (22, 2) = 0.6682760797209705e-9, (23, 1) = 0.5183930270947873e-9, (23, 2) = 0.7049675854461973e-9, (24, 1) = 0.5415198212998602e-9, (24, 2) = 0.721143088229846e-9, (25, 1) = 0.5635382382002747e-9, (25, 2) = 0.6934464140488544e-9, (26, 1) = 0.6002639062718956e-9, (26, 2) = 0.5989210661963517e-9, (27, 1) = 0.706098567596946e-9, (27, 2) = 0.4809828861155193e-9, (28, 1) = 0.10421392991659514e-8, (28, 2) = 0.7253655635047217e-9, (29, 1) = 0.20265104122627437e-8, (29, 2) = 0.2957165045513383e-8, (30, 1) = 0.4269667485564131e-8, (30, 2) = 0.10940520569194152e-7, (31, 1) = 0.5656402540311171e-8, (31, 2) = 0.20993295699570182e-7, (32, 1) = -0.17310141265090707e-8, (32, 2) = 0.9759760596876067e-8, (33, 1) = .0, (33, 2) = -0.8332371640072365e-8}, datatype = float[8], order = C_order); if not type(outpoint, 'numeric') then if outpoint = "start" or outpoint = "left" then return X[1] elif outpoint = "right" then return X[33] elif outpoint = "order" then return 6 elif outpoint = "error" then return HFloat(2.0993295699570182e-8) elif outpoint = "errorproc" then error "this is already the error procedure" elif outpoint = "rawdata" then return [2, 33, [u(y), diff(u(y), y)], X, Y] else return ('procname')(x_bvp) end if end if; if outpoint < X[1] or X[33] < outpoint then error "solution is only defined in the range %1..%2", X[1], X[33] end if; V := array([1 = 4, 2 = 0]); if Digits <= trunc(evalhf(Digits)) then L := Vector(4, 'datatype' = 'float'[8]); yout := Vector(2, 'datatype' = 'float'[8]); evalhf(`dsolve/numeric/lagrange`(33, 2, X, Y, outpoint, var(yout), var(L), var(V))) else L := Vector(4, 'datatype' = 'sfloat'); yout := Vector(2, 'datatype' = 'sfloat'); `dsolve/numeric/lagrange`(33, 2, X, Y, outpoint, yout, L, V) end if; [y = outpoint, seq('[u(y), diff(u(y), y)]'[i] = yout[i], i = 1 .. 2)] end proc; if not type(outpoint, 'numeric') then if outpoint = "start" or outpoint = "left" then return X[1] elif outpoint = "method" then return "bvp" elif outpoint = "right" then return X[33] elif outpoint = "order" then return 6 elif outpoint = "error" then return HFloat(2.0993295699570182e-8) elif outpoint = "errorproc" then return eval(errproc) elif outpoint = "rawdata" then return [2, 33, "depnames", X, Y, YP] else error "non-numeric value" end if end if; if outpoint < X[1] or X[33] < outpoint then error "solution is only defined in the range %1..%2", X[1], X[33] end if; if Digits <= trunc(evalhf(Digits)) and (_EnvInFsolve <> true or _EnvDSNumericSaveDigits <= trunc(evalhf(Digits))) then V := array( 1 .. 6, [( 1 ) = (7), ( 2 ) = (0), ( 3 ) = (false), ( 4 ) = (false), ( 5 ) = (false), ( 6 ) = (false)  ] ); L := Matrix(7, 2, {(1, 1) = .0, (1, 2) = .0, (2, 1) = .0, (2, 2) = .0, (3, 1) = .0, (3, 2) = .0, (4, 1) = .0, (4, 2) = .0, (5, 1) = .0, (5, 2) = .0, (6, 1) = .0, (6, 2) = .0, (7, 1) = .0, (7, 2) = .0}, datatype = float[8], order = C_order); yout := Vector(2, {(1) = .0, (2) = .0}, datatype = float[8]); evalhf(`dsolve/numeric/hermite`(33, 2, X, Y, YP, outpoint, var(yout), var(L), var(V))) else if _EnvInFsolve = true then Digits := _EnvDSNumericSaveDigits end if; V := array( 1 .. 6, [( 1 ) = (7), ( 2 ) = (0), ( 3 ) = (false), ( 4 ) = (false), ( 5 ) = (false), ( 6 ) = (false)  ] ); L := Matrix(7, 2, {(1, 1) = 0., (1, 2) = 0., (2, 1) = 0., (2, 2) = 0., (3, 1) = 0., (3, 2) = 0., (4, 1) = 0., (4, 2) = 0., (5, 1) = 0., (5, 2) = 0., (6, 1) = 0., (6, 2) = 0., (7, 1) = 0., (7, 2) = 0.}, order = C_order); yout := Vector(2, {(1) = 0., (2) = 0.}); `dsolve/numeric/hermite`(33, 2, X, Y, YP, outpoint, yout, L, V) end if; [outpoint, seq(yout[i], i = 1 .. 2)] end proc, (2) = Array(1..3, {(1) = 18446744078115923854, (2) = 18446744078115924382, (3) = 18446744078115924558}), (3) = [y, u(y), diff(u(y), y)], (4) = 0}); solnproc := data[1]; if not type(outpoint, 'numeric') then if outpoint = "solnprocedure" then return eval(solnproc) elif member(outpoint, ["start", "left", "right", "errorproc", "rawdata", "order", "error"]) then return solnproc(y) elif outpoint = "sysvars" then return data[3] elif procname <> unknown then return ('procname')(y) else `diff(u(y),y)` := pointto(data[2][3]); return ('`diff(u(y),y)`')(y) end if end if; try res := solnproc(outpoint); res[3] catch: error  end try end proc]

 

 

# Another data for which the Newton still converges


X   := 0:
r   := -(1+X^2/2)..(1+X^2/2);
sol := desol(X, -5, 1/2, 10^4, 1e-6);
f1  := eval(u(y), sol):
f2  := eval(diff(u(y), y), sol):
plots:-dualaxisplot(plot(f1(y), y=r, color=blue), plot(f2(y), y=r, color=red))

-1 .. 1

 

[y = proc (y) local _res, _dat, _solnproc; option `Copyright (c) 1993 by the University of Waterloo. All rights reserved.`; _dat := Array(1..4, {(1) = proc (outpoint) local X, Y, YP, yout, errproc, L, V, i; option `Copyright (c) 2000 by Waterloo Maple Inc. All rights reserved.`; X := Vector(8, {(1) = -1.0, (2) = -.7168751416903357, (3) = -.4330566056110218, (4) = -.14814426160629363, (5) = .13799752611323132, (6) = .4254039189214197, (7) = .7139977024276131, (8) = 1.0}, datatype = float[8], order = C_order); Y := Matrix(8, 2, {(1, 1) = 1.0, (1, 2) = -3.055556208188536, (2, 1) = .13705199705608748, (2, 2) = -3.040287843587664, (3, 1) = -.7236378942464567, (3, 2) = -3.0247433282398206, (4, 1) = -1.5831721731327253, (4, 2) = -3.008889488245128, (5, 1) = -2.4418321743415667, (5, 2) = -2.9927060610954594, (6, 1) = -3.29958648818893, (6, 2) = -2.9761772451876283, (7, 1) = -4.156063429318509, (7, 2) = -2.9592927749240108, (8, 1) = -5.0, (8, 2) = -2.9422640420696937}, datatype = float[8], order = C_order); YP := Matrix(8, 2, {(1, 1) = -3.055556208188536, (1, 2) = 0.53517972669454114e-1, (2, 1) = -3.040287843587664, (2, 2) = 0.54343011686857234e-1, (3, 1) = -3.0247433282398206, (3, 2) = 0.5520064586162285e-1, (4, 1) = -3.008889488245128, (4, 2) = 0.5609420935860491e-1, (5, 1) = -2.9927060610954594, (5, 2) = 0.5702654021646268e-1, (6, 1) = -2.9761772451876283, (6, 2) = 0.58000424209347715e-1, (7, 1) = -2.9592927749240108, (7, 2) = 0.59018519259218555e-1, (8, 1) = -2.9422640420696937, (8, 2) = 0.6006983083228045e-1}, datatype = float[8], order = C_order); errproc := proc (x_bvp) local outpoint, X, Y, yout, L, V, i; option `Copyright (c) 2000 by Waterloo Maple Inc. All rights reserved.`; Digits := 15; outpoint := evalf(x_bvp); X := Vector(8, {(1) = -1.0, (2) = -.7168751416903357, (3) = -.4330566056110218, (4) = -.14814426160629363, (5) = .13799752611323132, (6) = .4254039189214197, (7) = .7139977024276131, (8) = 1.0}, datatype = float[8], order = C_order); Y := Matrix(8, 2, {(1, 1) = .0, (1, 2) = -0.8429929421232053e-9, (2, 1) = -0.679848427556603e-10, (2, 2) = -0.8574034149384255e-9, (3, 1) = -0.11970074931302716e-9, (3, 2) = -0.8717471078387462e-9, (4, 1) = -0.15090015903551692e-9, (4, 2) = -0.8858575206768151e-9, (5, 1) = -0.1572896146668349e-9, (5, 2) = -0.8995178935094313e-9, (6, 1) = -0.13411202148861663e-9, (6, 2) = -0.9124538458186702e-9, (7, 1) = -0.7628198073235423e-10, (7, 2) = -0.9243209198090386e-9, (8, 1) = .0, (8, 2) = -0.9353527286084252e-9}, datatype = float[8], order = C_order); if not type(outpoint, 'numeric') then if outpoint = "start" or outpoint = "left" then return X[1] elif outpoint = "right" then return X[8] elif outpoint = "order" then return 4 elif outpoint = "error" then return HFloat(9.353527286084252e-10) elif outpoint = "errorproc" then error "this is already the error procedure" elif outpoint = "rawdata" then return [2, 8, [u(y), diff(u(y), y)], X, Y] else return ('procname')(x_bvp) end if end if; if outpoint < X[1] or X[8] < outpoint then error "solution is only defined in the range %1..%2", X[1], X[8] end if; V := array([1 = 4, 2 = 0]); if Digits <= trunc(evalhf(Digits)) then L := Vector(4, 'datatype' = 'float'[8]); yout := Vector(2, 'datatype' = 'float'[8]); evalhf(`dsolve/numeric/lagrange`(8, 2, X, Y, outpoint, var(yout), var(L), var(V))) else L := Vector(4, 'datatype' = 'sfloat'); yout := Vector(2, 'datatype' = 'sfloat'); `dsolve/numeric/lagrange`(8, 2, X, Y, outpoint, yout, L, V) end if; [y = outpoint, seq('[u(y), diff(u(y), y)]'[i] = yout[i], i = 1 .. 2)] end proc; if not type(outpoint, 'numeric') then if outpoint = "start" or outpoint = "left" then return X[1] elif outpoint = "method" then return "bvp" elif outpoint = "right" then return X[8] elif outpoint = "order" then return 4 elif outpoint = "error" then return HFloat(9.353527286084252e-10) elif outpoint = "errorproc" then return eval(errproc) elif outpoint = "rawdata" then return [2, 8, "depnames", X, Y, YP] else error "non-numeric value" end if end if; if outpoint < X[1] or X[8] < outpoint then error "solution is only defined in the range %1..%2", X[1], X[8] end if; if Digits <= trunc(evalhf(Digits)) and (_EnvInFsolve <> true or _EnvDSNumericSaveDigits <= trunc(evalhf(Digits))) then V := array( 1 .. 6, [( 1 ) = (7), ( 2 ) = (0), ( 3 ) = (false), ( 4 ) = (false), ( 5 ) = (false), ( 6 ) = (false)  ] ); L := Matrix(7, 2, {(1, 1) = .0, (1, 2) = .0, (2, 1) = .0, (2, 2) = .0, (3, 1) = .0, (3, 2) = .0, (4, 1) = .0, (4, 2) = .0, (5, 1) = .0, (5, 2) = .0, (6, 1) = .0, (6, 2) = .0, (7, 1) = .0, (7, 2) = .0}, datatype = float[8], order = C_order); yout := Vector(2, {(1) = .0, (2) = .0}, datatype = float[8]); evalhf(`dsolve/numeric/hermite`(8, 2, X, Y, YP, outpoint, var(yout), var(L), var(V))) else if _EnvInFsolve = true then Digits := _EnvDSNumericSaveDigits end if; V := array( 1 .. 6, [( 1 ) = (7), ( 2 ) = (0), ( 3 ) = (false), ( 4 ) = (false), ( 5 ) = (false), ( 6 ) = (false)  ] ); L := Matrix(7, 2, {(1, 1) = 0., (1, 2) = 0., (2, 1) = 0., (2, 2) = 0., (3, 1) = 0., (3, 2) = 0., (4, 1) = 0., (4, 2) = 0., (5, 1) = 0., (5, 2) = 0., (6, 1) = 0., (6, 2) = 0., (7, 1) = 0., (7, 2) = 0.}, order = C_order); yout := Vector(2, {(1) = 0., (2) = 0.}); `dsolve/numeric/hermite`(8, 2, X, Y, YP, outpoint, yout, L, V) end if; [outpoint, seq(yout[i], i = 1 .. 2)] end proc, (2) = Array(1..3, {(1) = 18446744078181100198, (2) = 18446744078181100374, (3) = 18446744078181100550}), (3) = [y, u(y), diff(u(y), y)], (4) = 0}); _solnproc := _dat[1]; if member(y, ["last", 'last']) then _res := _solnproc("last"); if type(_res, 'list') then return _res[1] end if elif type(y, `=`) and member(lhs(y), ["initial", 'initial']) then if type(rhs(y), 'list') then _res := _solnproc("initial" = [0, op(rhs(y))]) else _res := _solnproc("initial" = [1, rhs(y)]) end if; if type(_res, 'list') then return _res[1] end if elif y = "sysvars" then return _dat[3] end if; y end proc, u(y) = proc (y) local res, data, solnproc, `u(y)`, outpoint; option `Copyright (c) 2000 by Waterloo Maple Inc. All rights reserved.`; _EnvDSNumericSaveDigits := Digits; Digits := 15; if _EnvInFsolve = true then outpoint := evalf[_EnvDSNumericSaveDigits](y) else outpoint := evalf(y) end if; data := Array(1..4, {(1) = proc (outpoint) local X, Y, YP, yout, errproc, L, V, i; option `Copyright (c) 2000 by Waterloo Maple Inc. All rights reserved.`; X := Vector(8, {(1) = -1.0, (2) = -.7168751416903357, (3) = -.4330566056110218, (4) = -.14814426160629363, (5) = .13799752611323132, (6) = .4254039189214197, (7) = .7139977024276131, (8) = 1.0}, datatype = float[8], order = C_order); Y := Matrix(8, 2, {(1, 1) = 1.0, (1, 2) = -3.055556208188536, (2, 1) = .13705199705608748, (2, 2) = -3.040287843587664, (3, 1) = -.7236378942464567, (3, 2) = -3.0247433282398206, (4, 1) = -1.5831721731327253, (4, 2) = -3.008889488245128, (5, 1) = -2.4418321743415667, (5, 2) = -2.9927060610954594, (6, 1) = -3.29958648818893, (6, 2) = -2.9761772451876283, (7, 1) = -4.156063429318509, (7, 2) = -2.9592927749240108, (8, 1) = -5.0, (8, 2) = -2.9422640420696937}, datatype = float[8], order = C_order); YP := Matrix(8, 2, {(1, 1) = -3.055556208188536, (1, 2) = 0.53517972669454114e-1, (2, 1) = -3.040287843587664, (2, 2) = 0.54343011686857234e-1, (3, 1) = -3.0247433282398206, (3, 2) = 0.5520064586162285e-1, (4, 1) = -3.008889488245128, (4, 2) = 0.5609420935860491e-1, (5, 1) = -2.9927060610954594, (5, 2) = 0.5702654021646268e-1, (6, 1) = -2.9761772451876283, (6, 2) = 0.58000424209347715e-1, (7, 1) = -2.9592927749240108, (7, 2) = 0.59018519259218555e-1, (8, 1) = -2.9422640420696937, (8, 2) = 0.6006983083228045e-1}, datatype = float[8], order = C_order); errproc := proc (x_bvp) local outpoint, X, Y, yout, L, V, i; option `Copyright (c) 2000 by Waterloo Maple Inc. All rights reserved.`; Digits := 15; outpoint := evalf(x_bvp); X := Vector(8, {(1) = -1.0, (2) = -.7168751416903357, (3) = -.4330566056110218, (4) = -.14814426160629363, (5) = .13799752611323132, (6) = .4254039189214197, (7) = .7139977024276131, (8) = 1.0}, datatype = float[8], order = C_order); Y := Matrix(8, 2, {(1, 1) = .0, (1, 2) = -0.8429929421232053e-9, (2, 1) = -0.679848427556603e-10, (2, 2) = -0.8574034149384255e-9, (3, 1) = -0.11970074931302716e-9, (3, 2) = -0.8717471078387462e-9, (4, 1) = -0.15090015903551692e-9, (4, 2) = -0.8858575206768151e-9, (5, 1) = -0.1572896146668349e-9, (5, 2) = -0.8995178935094313e-9, (6, 1) = -0.13411202148861663e-9, (6, 2) = -0.9124538458186702e-9, (7, 1) = -0.7628198073235423e-10, (7, 2) = -0.9243209198090386e-9, (8, 1) = .0, (8, 2) = -0.9353527286084252e-9}, datatype = float[8], order = C_order); if not type(outpoint, 'numeric') then if outpoint = "start" or outpoint = "left" then return X[1] elif outpoint = "right" then return X[8] elif outpoint = "order" then return 4 elif outpoint = "error" then return HFloat(9.353527286084252e-10) elif outpoint = "errorproc" then error "this is already the error procedure" elif outpoint = "rawdata" then return [2, 8, [u(y), diff(u(y), y)], X, Y] else return ('procname')(x_bvp) end if end if; if outpoint < X[1] or X[8] < outpoint then error "solution is only defined in the range %1..%2", X[1], X[8] end if; V := array([1 = 4, 2 = 0]); if Digits <= trunc(evalhf(Digits)) then L := Vector(4, 'datatype' = 'float'[8]); yout := Vector(2, 'datatype' = 'float'[8]); evalhf(`dsolve/numeric/lagrange`(8, 2, X, Y, outpoint, var(yout), var(L), var(V))) else L := Vector(4, 'datatype' = 'sfloat'); yout := Vector(2, 'datatype' = 'sfloat'); `dsolve/numeric/lagrange`(8, 2, X, Y, outpoint, yout, L, V) end if; [y = outpoint, seq('[u(y), diff(u(y), y)]'[i] = yout[i], i = 1 .. 2)] end proc; if not type(outpoint, 'numeric') then if outpoint = "start" or outpoint = "left" then return X[1] elif outpoint = "method" then return "bvp" elif outpoint = "right" then return X[8] elif outpoint = "order" then return 4 elif outpoint = "error" then return HFloat(9.353527286084252e-10) elif outpoint = "errorproc" then return eval(errproc) elif outpoint = "rawdata" then return [2, 8, "depnames", X, Y, YP] else error "non-numeric value" end if end if; if outpoint < X[1] or X[8] < outpoint then error "solution is only defined in the range %1..%2", X[1], X[8] end if; if Digits <= trunc(evalhf(Digits)) and (_EnvInFsolve <> true or _EnvDSNumericSaveDigits <= trunc(evalhf(Digits))) then V := array( 1 .. 6, [( 1 ) = (7), ( 2 ) = (0), ( 3 ) = (false), ( 4 ) = (false), ( 5 ) = (false), ( 6 ) = (false)  ] ); L := Matrix(7, 2, {(1, 1) = .0, (1, 2) = .0, (2, 1) = .0, (2, 2) = .0, (3, 1) = .0, (3, 2) = .0, (4, 1) = .0, (4, 2) = .0, (5, 1) = .0, (5, 2) = .0, (6, 1) = .0, (6, 2) = .0, (7, 1) = .0, (7, 2) = .0}, datatype = float[8], order = C_order); yout := Vector(2, {(1) = .0, (2) = .0}, datatype = float[8]); evalhf(`dsolve/numeric/hermite`(8, 2, X, Y, YP, outpoint, var(yout), var(L), var(V))) else if _EnvInFsolve = true then Digits := _EnvDSNumericSaveDigits end if; V := array( 1 .. 6, [( 1 ) = (7), ( 2 ) = (0), ( 3 ) = (false), ( 4 ) = (false), ( 5 ) = (false), ( 6 ) = (false)  ] ); L := Matrix(7, 2, {(1, 1) = 0., (1, 2) = 0., (2, 1) = 0., (2, 2) = 0., (3, 1) = 0., (3, 2) = 0., (4, 1) = 0., (4, 2) = 0., (5, 1) = 0., (5, 2) = 0., (6, 1) = 0., (6, 2) = 0., (7, 1) = 0., (7, 2) = 0.}, order = C_order); yout := Vector(2, {(1) = 0., (2) = 0.}); `dsolve/numeric/hermite`(8, 2, X, Y, YP, outpoint, yout, L, V) end if; [outpoint, seq(yout[i], i = 1 .. 2)] end proc, (2) = Array(1..3, {(1) = 18446744078181100198, (2) = 18446744078181100374, (3) = 18446744078181100550}), (3) = [y, u(y), diff(u(y), y)], (4) = 0}); solnproc := data[1]; if not type(outpoint, 'numeric') then if outpoint = "solnprocedure" then return eval(solnproc) elif member(outpoint, ["start", "left", "right", "errorproc", "rawdata", "order", "error"]) then return solnproc(y) elif outpoint = "sysvars" then return data[3] elif procname <> unknown then return ('procname')(y) else `u(y)` := pointto(data[2][2]); return ('`u(y)`')(y) end if end if; try res := solnproc(outpoint); res[2] catch: error  end try end proc, diff(u(y), y) = proc (y) local res, data, solnproc, `diff(u(y),y)`, outpoint; option `Copyright (c) 2000 by Waterloo Maple Inc. All rights reserved.`; _EnvDSNumericSaveDigits := Digits; Digits := 15; if _EnvInFsolve = true then outpoint := evalf[_EnvDSNumericSaveDigits](y) else outpoint := evalf(y) end if; data := Array(1..4, {(1) = proc (outpoint) local X, Y, YP, yout, errproc, L, V, i; option `Copyright (c) 2000 by Waterloo Maple Inc. All rights reserved.`; X := Vector(8, {(1) = -1.0, (2) = -.7168751416903357, (3) = -.4330566056110218, (4) = -.14814426160629363, (5) = .13799752611323132, (6) = .4254039189214197, (7) = .7139977024276131, (8) = 1.0}, datatype = float[8], order = C_order); Y := Matrix(8, 2, {(1, 1) = 1.0, (1, 2) = -3.055556208188536, (2, 1) = .13705199705608748, (2, 2) = -3.040287843587664, (3, 1) = -.7236378942464567, (3, 2) = -3.0247433282398206, (4, 1) = -1.5831721731327253, (4, 2) = -3.008889488245128, (5, 1) = -2.4418321743415667, (5, 2) = -2.9927060610954594, (6, 1) = -3.29958648818893, (6, 2) = -2.9761772451876283, (7, 1) = -4.156063429318509, (7, 2) = -2.9592927749240108, (8, 1) = -5.0, (8, 2) = -2.9422640420696937}, datatype = float[8], order = C_order); YP := Matrix(8, 2, {(1, 1) = -3.055556208188536, (1, 2) = 0.53517972669454114e-1, (2, 1) = -3.040287843587664, (2, 2) = 0.54343011686857234e-1, (3, 1) = -3.0247433282398206, (3, 2) = 0.5520064586162285e-1, (4, 1) = -3.008889488245128, (4, 2) = 0.5609420935860491e-1, (5, 1) = -2.9927060610954594, (5, 2) = 0.5702654021646268e-1, (6, 1) = -2.9761772451876283, (6, 2) = 0.58000424209347715e-1, (7, 1) = -2.9592927749240108, (7, 2) = 0.59018519259218555e-1, (8, 1) = -2.9422640420696937, (8, 2) = 0.6006983083228045e-1}, datatype = float[8], order = C_order); errproc := proc (x_bvp) local outpoint, X, Y, yout, L, V, i; option `Copyright (c) 2000 by Waterloo Maple Inc. All rights reserved.`; Digits := 15; outpoint := evalf(x_bvp); X := Vector(8, {(1) = -1.0, (2) = -.7168751416903357, (3) = -.4330566056110218, (4) = -.14814426160629363, (5) = .13799752611323132, (6) = .4254039189214197, (7) = .7139977024276131, (8) = 1.0}, datatype = float[8], order = C_order); Y := Matrix(8, 2, {(1, 1) = .0, (1, 2) = -0.8429929421232053e-9, (2, 1) = -0.679848427556603e-10, (2, 2) = -0.8574034149384255e-9, (3, 1) = -0.11970074931302716e-9, (3, 2) = -0.8717471078387462e-9, (4, 1) = -0.15090015903551692e-9, (4, 2) = -0.8858575206768151e-9, (5, 1) = -0.1572896146668349e-9, (5, 2) = -0.8995178935094313e-9, (6, 1) = -0.13411202148861663e-9, (6, 2) = -0.9124538458186702e-9, (7, 1) = -0.7628198073235423e-10, (7, 2) = -0.9243209198090386e-9, (8, 1) = .0, (8, 2) = -0.9353527286084252e-9}, datatype = float[8], order = C_order); if not type(outpoint, 'numeric') then if outpoint = "start" or outpoint = "left" then return X[1] elif outpoint = "right" then return X[8] elif outpoint = "order" then return 4 elif outpoint = "error" then return HFloat(9.353527286084252e-10) elif outpoint = "errorproc" then error "this is already the error procedure" elif outpoint = "rawdata" then return [2, 8, [u(y), diff(u(y), y)], X, Y] else return ('procname')(x_bvp) end if end if; if outpoint < X[1] or X[8] < outpoint then error "solution is only defined in the range %1..%2", X[1], X[8] end if; V := array([1 = 4, 2 = 0]); if Digits <= trunc(evalhf(Digits)) then L := Vector(4, 'datatype' = 'float'[8]); yout := Vector(2, 'datatype' = 'float'[8]); evalhf(`dsolve/numeric/lagrange`(8, 2, X, Y, outpoint, var(yout), var(L), var(V))) else L := Vector(4, 'datatype' = 'sfloat'); yout := Vector(2, 'datatype' = 'sfloat'); `dsolve/numeric/lagrange`(8, 2, X, Y, outpoint, yout, L, V) end if; [y = outpoint, seq('[u(y), diff(u(y), y)]'[i] = yout[i], i = 1 .. 2)] end proc; if not type(outpoint, 'numeric') then if outpoint = "start" or outpoint = "left" then return X[1] elif outpoint = "method" then return "bvp" elif outpoint = "right" then return X[8] elif outpoint = "order" then return 4 elif outpoint = "error" then return HFloat(9.353527286084252e-10) elif outpoint = "errorproc" then return eval(errproc) elif outpoint = "rawdata" then return [2, 8, "depnames", X, Y, YP] else error "non-numeric value" end if end if; if outpoint < X[1] or X[8] < outpoint then error "solution is only defined in the range %1..%2", X[1], X[8] end if; if Digits <= trunc(evalhf(Digits)) and (_EnvInFsolve <> true or _EnvDSNumericSaveDigits <= trunc(evalhf(Digits))) then V := array( 1 .. 6, [( 1 ) = (7), ( 2 ) = (0), ( 3 ) = (false), ( 4 ) = (false), ( 5 ) = (false), ( 6 ) = (false)  ] ); L := Matrix(7, 2, {(1, 1) = .0, (1, 2) = .0, (2, 1) = .0, (2, 2) = .0, (3, 1) = .0, (3, 2) = .0, (4, 1) = .0, (4, 2) = .0, (5, 1) = .0, (5, 2) = .0, (6, 1) = .0, (6, 2) = .0, (7, 1) = .0, (7, 2) = .0}, datatype = float[8], order = C_order); yout := Vector(2, {(1) = .0, (2) = .0}, datatype = float[8]); evalhf(`dsolve/numeric/hermite`(8, 2, X, Y, YP, outpoint, var(yout), var(L), var(V))) else if _EnvInFsolve = true then Digits := _EnvDSNumericSaveDigits end if; V := array( 1 .. 6, [( 1 ) = (7), ( 2 ) = (0), ( 3 ) = (false), ( 4 ) = (false), ( 5 ) = (false), ( 6 ) = (false)  ] ); L := Matrix(7, 2, {(1, 1) = 0., (1, 2) = 0., (2, 1) = 0., (2, 2) = 0., (3, 1) = 0., (3, 2) = 0., (4, 1) = 0., (4, 2) = 0., (5, 1) = 0., (5, 2) = 0., (6, 1) = 0., (6, 2) = 0., (7, 1) = 0., (7, 2) = 0.}, order = C_order); yout := Vector(2, {(1) = 0., (2) = 0.}); `dsolve/numeric/hermite`(8, 2, X, Y, YP, outpoint, yout, L, V) end if; [outpoint, seq(yout[i], i = 1 .. 2)] end proc, (2) = Array(1..3, {(1) = 18446744078181100198, (2) = 18446744078181100374, (3) = 18446744078181100550}), (3) = [y, u(y), diff(u(y), y)], (4) = 0}); solnproc := data[1]; if not type(outpoint, 'numeric') then if outpoint = "solnprocedure" then return eval(solnproc) elif member(outpoint, ["start", "left", "right", "errorproc", "rawdata", "order", "error"]) then return solnproc(y) elif outpoint = "sysvars" then return data[3] elif procname <> unknown then return ('procname')(y) else `diff(u(y),y)` := pointto(data[2][3]); return ('`diff(u(y),y)`')(y) end if end if; try res := solnproc(outpoint); res[3] catch: error  end try end proc]

 

 

# And a non convergent case

X   := 0:
r   := -(1+X^2/2)..(1+X^2/2);
sol := desol(X, 1, 1/2, 10^4, 1e-6);

-1 .. 1

 

Error, (in dsolve/numeric/bvp) initial Newton iteration is not converging

 


REMARK

DE := Diff(u(y), y, y) + 4*beta*Diff(u(y), y)^(4 - 1)*Diff(u(y), y, y)+3=0;

Diff(u(y), y, y)+4*beta*(Diff(u(y), y))^3*(Diff(u(y), y, y))+3 = 0

(2)

DE := Diff(u(y), y, y) + beta*Diff(Diff(u(y), y)^4, y)+3=0;

Diff(u(y), y, y)+beta*(Diff((Diff(u(y), y))^4, y))+3 = 0

(3)

DE := Diff(u(y), y) + beta*(Diff(u(y), y)^4)+3*y=C;

Diff(u(y), y)+beta*(Diff(u(y), y))^4+3*y = C

(4)

#------------------------------------------------------------
#
# Procedures
Xsol := proc(__beta, __k, X, i)
  local data, sols, usol, csol, T, Left_bc, Right_bc, check_de:
  data := [beta=__beta, k=__k, L=1+X^2/2];
  eval({diff(u(y), y)=ade[i], u(-L)=1}, data), data
end proc:


Cstart := proc()
  local c := 0;
  local StartNotFound := true:
  while StartNotFound do
    try
      sol(parameters=[c]);
      sol(eval(L, data));
      StartNotFound := false:
    catch:
      c := c+0.1
    end try:
  end do:
  c
end proc:


FindC := proc(c)
  sol(parameters=[c]);
  eval(u(y), sol(eval(L, data)))
end proc:


f := proc(__y)
  eval(u(y), sol(__y))
end proc:

#------------------------------------------------------------

solve(DE, Diff(u(y), y));
ade := [allvalues(%)]:

# Select the 3rd solution delivered by allvalues(...)

sys, data := Xsol(1/2, 4, 0, 3):
sol := dsolve(sys, numeric, parameters=[C]);

# Find the smaller value oc C such that the solution might be
# constructed up to L.

c0 := Cstart();

# Check if c0 is admissible.

sol(parameters=[c0]):
eval(u(y), sol(eval(L, data)));
if % < eval(k, data) then
  admissible := true
else
  admissible := false
end if;


if admissible then
  # From C=c0 find the value ck of C such that y(L)=k.

  ck := fsolve('FindC(c)'=eval(k, data), c=c0..10);

  # Instanciate the solution with C=ck

  sol(parameters=[ck]):

  # Plot it.

  plot('f(__y)', __y=eval(-L..L, data))
end if;

RootOf(_Z^4*beta-C+_Z+3*y)

 

proc (x_rkf45) local _res, _dat, _vars, _solnproc, _xout, _ndsol, _pars, _n, _i; option `Copyright (c) 2000 by Waterloo Maple Inc. All rights reserved.`; if 1 < nargs then error "invalid input: too many arguments" end if; _EnvDSNumericSaveDigits := Digits; Digits := 15; if _EnvInFsolve = true then _xout := evalf[_EnvDSNumericSaveDigits](x_rkf45) else _xout := evalf(x_rkf45) end if; _dat := Array(1..4, {(1) = proc (_xin) local _xout, _dtbl, _dat, _vmap, _x0, _y0, _val, _dig, _n, _ne, _nd, _nv, _pars, _ini, _par, _i, _j, _k, _src; option `Copyright (c) 2002 by Waterloo Maple Inc. All rights reserved.`; table( [( "complex" ) = false ] ) _xout := _xin; _pars := [C = C]; _dtbl := array( 1 .. 4, [( 1 ) = (array( 1 .. 24, [( 1 ) = (datatype = float[8], order = C_order, storage = rectangular), ( 2 ) = (datatype = float[8], order = C_order, storage = rectangular), ( 3 ) = ([0, 0, 0, Array(1..0, 1..2, {}, datatype = float[8], order = C_order)]), ( 4 ) = (Array(1..54, {(1) = 1, (2) = 1, (3) = 0, (4) = 0, (5) = 1, (6) = 0, (7) = 0, (8) = 0, (9) = 0, (10) = 0, (11) = 0, (12) = 0, (13) = 0, (14) = 0, (15) = 0, (16) = 0, (17) = 0, (18) = 0, (19) = 30000, (20) = 0, (21) = 0, (22) = 1, (23) = 4, (24) = 0, (25) = 1, (26) = 15, (27) = 1, (28) = 0, (29) = 1, (30) = 3, (31) = 3, (32) = 0, (33) = 1, (34) = 0, (35) = 0, (36) = 0, (37) = 0, (38) = 0, (39) = 0, (40) = 0, (41) = 0, (42) = 0, (43) = 1, (44) = 0, (45) = 0, (46) = 0, (47) = 0, (48) = 0, (49) = 0, (50) = 50, (51) = 1, (52) = 0, (53) = 0, (54) = 0}, datatype = integer[8])), ( 5 ) = (Array(1..28, {(1) = -1.0, (2) = 0.10e-5, (3) = .0, (4) = 0.500001e-14, (5) = -1.0, (6) = .0, (7) = .0, (8) = 0.10e-5, (9) = .0, (10) = .0, (11) = .0, (12) = .0, (13) = 1.0, (14) = .0, (15) = .49999999999999, (16) = .0, (17) = 1.0, (18) = 1.0, (19) = .0, (20) = .0, (21) = 1.0, (22) = 1.0, (23) = .0, (24) = .0, (25) = 0.10e-14, (26) = .0, (27) = .0, (28) = .0}, datatype = float[8], order = C_order)), ( 6 ) = (Array(1..2, {(1) = 1., (2) = Float(undefined)})), ( 7 ) = ([Array(1..4, 1..7, {(1, 1) = .0, (1, 2) = .203125, (1, 3) = .3046875, (1, 4) = .75, (1, 5) = .8125, (1, 6) = .40625, (1, 7) = .8125, (2, 1) = 0.6378173828125e-1, (2, 2) = .0, (2, 3) = .279296875, (2, 4) = .27237892150878906, (2, 5) = -0.9686851501464844e-1, (2, 6) = 0.1956939697265625e-1, (2, 7) = .5381584167480469, (3, 1) = 0.31890869140625e-1, (3, 2) = .0, (3, 3) = -.34375, (3, 4) = -.335235595703125, (3, 5) = .2296142578125, (3, 6) = .41748046875, (3, 7) = 11.480712890625, (4, 1) = 0.9710520505905151e-1, (4, 2) = .0, (4, 3) = .40350341796875, (4, 4) = 0.20297467708587646e-1, (4, 5) = -0.6054282188415527e-2, (4, 6) = -0.4770040512084961e-1, (4, 7) = .77858567237854}, datatype = float[8], order = C_order), Array(1..6, 1..6, {(1, 1) = .0, (1, 2) = .0, (1, 3) = .0, (1, 4) = .0, (1, 5) = .0, (1, 6) = 1.0, (2, 1) = .25, (2, 2) = .0, (2, 3) = .0, (2, 4) = .0, (2, 5) = .0, (2, 6) = 1.0, (3, 1) = .1875, (3, 2) = .5625, (3, 3) = .0, (3, 4) = .0, (3, 5) = .0, (3, 6) = 2.0, (4, 1) = .23583984375, (4, 2) = -.87890625, (4, 3) = .890625, (4, 4) = .0, (4, 5) = .0, (4, 6) = .2681884765625, (5, 1) = .1272735595703125, (5, 2) = -.5009765625, (5, 3) = .44921875, (5, 4) = -0.128936767578125e-1, (5, 5) = .0, (5, 6) = 0.626220703125e-1, (6, 1) = -0.927734375e-1, (6, 2) = .626220703125, (6, 3) = -.4326171875, (6, 4) = .1418304443359375, (6, 5) = -0.861053466796875e-1, (6, 6) = .3131103515625}, datatype = float[8], order = C_order), Array(1..6, {(1) = .0, (2) = .386, (3) = .21, (4) = .63, (5) = 1.0, (6) = 1.0}, datatype = float[8], order = C_order), Array(1..6, {(1) = .25, (2) = -.1043, (3) = .1035, (4) = -0.362e-1, (5) = .0, (6) = .0}, datatype = float[8], order = C_order), Array(1..6, 1..5, {(1, 1) = .0, (1, 2) = .0, (1, 3) = .0, (1, 4) = .0, (1, 5) = .0, (2, 1) = 1.544, (2, 2) = .0, (2, 3) = .0, (2, 4) = .0, (2, 5) = .0, (3, 1) = .9466785280815533, (3, 2) = .25570116989825814, (3, 3) = .0, (3, 4) = .0, (3, 5) = .0, (4, 1) = 3.3148251870684886, (4, 2) = 2.896124015972123, (4, 3) = .9986419139977808, (4, 4) = .0, (4, 5) = .0, (5, 1) = 1.2212245092262748, (5, 2) = 6.019134481287752, (5, 3) = 12.537083329320874, (5, 4) = -.687886036105895, (5, 5) = .0, (6, 1) = 1.2212245092262748, (6, 2) = 6.019134481287752, (6, 3) = 12.537083329320874, (6, 4) = -.687886036105895, (6, 5) = 1.0}, datatype = float[8], order = C_order), Array(1..6, 1..5, {(1, 1) = .0, (1, 2) = .0, (1, 3) = .0, (1, 4) = .0, (1, 5) = .0, (2, 1) = -5.6688, (2, 2) = .0, (2, 3) = .0, (2, 4) = .0, (2, 5) = .0, (3, 1) = -2.4300933568337584, (3, 2) = -.20635991570891224, (3, 3) = .0, (3, 4) = .0, (3, 5) = .0, (4, 1) = -.10735290581452621, (4, 2) = -9.594562251021896, (4, 3) = -20.470286148096154, (4, 4) = .0, (4, 5) = .0, (5, 1) = 7.496443313968615, (5, 2) = -10.246804314641219, (5, 3) = -33.99990352819906, (5, 4) = 11.708908932061595, (5, 5) = .0, (6, 1) = 8.083246795922411, (6, 2) = -7.981132988062785, (6, 3) = -31.52159432874373, (6, 4) = 16.319305431231363, (6, 5) = -6.0588182388340535}, datatype = float[8], order = C_order), Array(1..3, 1..5, {(1, 1) = .0, (1, 2) = .0, (1, 3) = .0, (1, 4) = .0, (1, 5) = .0, (2, 1) = 10.126235083446911, (2, 2) = -7.487995877607633, (2, 3) = -34.800918615557414, (2, 4) = -7.9927717075687275, (2, 5) = 1.0251377232956207, (3, 1) = -.6762803392806898, (3, 2) = 6.087714651678606, (3, 3) = 16.43084320892463, (3, 4) = 24.767225114183653, (3, 5) = -6.5943891257167815}, datatype = float[8], order = C_order)]), ( 9 ) = ([Array(1..1, {(1) = .1}, datatype = float[8], order = C_order), Array(1..1, {(1) = .0}, datatype = float[8], order = C_order), Array(1..1, {(1) = .0}, datatype = float[8], order = C_order), Array(1..1, {(1) = .0}, datatype = float[8], order = C_order), Array(1..1, {(1) = .0}, datatype = float[8], order = C_order), Array(1..1, 1..1, {(1, 1) = .0}, datatype = float[8], order = C_order), Array(1..1, 1..1, {(1, 1) = .0}, datatype = float[8], order = C_order), Array(1..1, 1..6, {(1, 1) = .0, (1, 2) = .0, (1, 3) = .0, (1, 4) = .0, (1, 5) = .0, (1, 6) = .0}, datatype = float[8], order = C_order), Array(1..1, {(1) = 0}, datatype = integer[8]), Array(1..2, {(1) = .0, (2) = .0}, datatype = float[8], order = C_order), Array(1..2, {(1) = .0, (2) = .0}, datatype = float[8], order = C_order), Array(1..2, {(1) = .0, (2) = .0}, datatype = float[8], order = C_order), Array(1..2, {(1) = .0, (2) = .0}, datatype = float[8], order = C_order), Array(1..1, {(1) = .0}, datatype = float[8], order = C_order)]), ( 8 ) = ([Array(1..2, {(1) = .0, (2) = .0}, datatype = float[8], order = C_order), Array(1..2, {(1) = .0, (2) = .0}, datatype = float[8], order = C_order), Array(1..1, {(1) = .0}, datatype = float[8], order = C_order), 0, 0]), ( 11 ) = (Array(1..6, 0..1, {(1, 1) = .0, (2, 0) = .0, (2, 1) = .0, (3, 0) = .0, (3, 1) = .0, (4, 0) = .0, (4, 1) = .0, (5, 0) = .0, (5, 1) = .0, (6, 0) = .0, (6, 1) = .0}, datatype = float[8], order = C_order)), ( 10 ) = ([proc (N, X, Y, YP) option `[Y[1] = u(y)]`; if -3456*X^3+3456*X^2*Y[2]-1152*X*Y[2]^2+128*Y[2]^3 < -27 then YP[1] := undefined; return 0 end if; if .866025403784440*evalf((-3456*X^3+3456*X^2*Y[2]-1152*X*Y[2]^2+128*Y[2]^3+27)^(1/2)) < -9/2 then YP[1] := undefined; return 0 end if; if .866025403784440*evalf((-3456*X^3+3456*X^2*Y[2]-1152*X*Y[2]^2+128*Y[2]^3+27)^(1/2)) < -9/2 then YP[1] := undefined; return 0 end if; if .866025403784440*evalf((-3456*X^3+3456*X^2*Y[2]-1152*X*Y[2]^2+128*Y[2]^3+27)^(1/2)) < -9/2 then YP[1] := undefined; return 0 end if; if -27.4731418212799*(4.57885697021332*Y[2]-13.7365709106400*X-evalf((.866025403784440*evalf((-3456*X^3+3456*X^2*Y[2]-1152*X*Y[2]^2+128*Y[2]^3+27)^(1/2))+9/2)^(2/3)))*evalf(1/(.866025403784440*evalf((-3456*X^3+3456*X^2*Y[2]-1152*X*Y[2]^2+128*Y[2]^3+27)^(1/2))+9/2)^(1/3)) < 0 then YP[1] := undefined; return 0 end if; if -27.4731418212799*(4.57885697021332*Y[2]-13.7365709106400*X-evalf((.866025403784440*evalf((-3456*X^3+3456*X^2*Y[2]-1152*X*Y[2]^2+128*Y[2]^3+27)^(1/2))+9/2)^(2/3)))*evalf(1/(.866025403784440*evalf((-3456*X^3+3456*X^2*Y[2]-1152*X*Y[2]^2+128*Y[2]^3+27)^(1/2))+9/2)^(1/3)) < 0 then YP[1] := undefined; return 0 end if; if (10.4829655768356*Y[2]*evalf((-27.4731418212799*(4.57885697021332*Y[2]-13.7365709106400*X-evalf((.866025403784440*evalf((-3456*X^3+3456*X^2*Y[2]-1152*X*Y[2]^2+128*Y[2]^3+27)^(1/2))+9/2)^(2/3)))*evalf(1/(.866025403784440*evalf((-3456*X^3+3456*X^2*Y[2]-1152*X*Y[2]^2+128*Y[2]^3+27)^(1/2))+9/2)^(1/3)))^(1/2))-31.4488967305067*evalf((-27.4731418212799*(4.57885697021332*Y[2]-13.7365709106400*X-evalf((.866025403784440*evalf((-3456*X^3+3456*X^2*Y[2]-1152*X*Y[2]^2+128*Y[2]^3+27)^(1/2))+9/2)^(2/3)))*evalf(1/(.866025403784440*evalf((-3456*X^3+3456*X^2*Y[2]-1152*X*Y[2]^2+128*Y[2]^3+27)^(1/2))+9/2)^(1/3)))^(1/2))*X-2.28942848510666*evalf((.866025403784440*evalf((-3456*X^3+3456*X^2*Y[2]-1152*X*Y[2]^2+128*Y[2]^3+27)^(1/2))+9/2)^(2/3))*evalf((-27.4731418212799*(4.57885697021332*Y[2]-13.7365709106400*X-evalf((.866025403784440*evalf((-3456*X^3+3456*X^2*Y[2]-1152*X*Y[2]^2+128*Y[2]^3+27)^(1/2))+9/2)^(2/3)))*evalf(1/(.866025403784440*evalf((-3456*X^3+3456*X^2*Y[2]-1152*X*Y[2]^2+128*Y[2]^3+27)^(1/2))+9/2)^(1/3)))^(1/2))+72*evalf((.866025403784440*evalf((-3456*X^3+3456*X^2*Y[2]-1152*X*Y[2]^2+128*Y[2]^3+27)^(1/2))+9/2)^(1/3)))*evalf(1/(.866025403784440*evalf((-3456*X^3+3456*X^2*Y[2]-1152*X*Y[2]^2+128*Y[2]^3+27)^(1/2))+9/2)^(1/3))*evalf(1/(-27.4731418212799*(4.57885697021332*Y[2]-13.7365709106400*X-evalf((.866025403784440*evalf((-3456*X^3+3456*X^2*Y[2]-1152*X*Y[2]^2+128*Y[2]^3+27)^(1/2))+9/2)^(2/3)))*evalf(1/(.866025403784440*evalf((-3456*X^3+3456*X^2*Y[2]-1152*X*Y[2]^2+128*Y[2]^3+27)^(1/2))+9/2)^(1/3)))^(1/2)) < 0 then YP[1] := undefined; return 0 end if; YP[1] := -(1/12)*evalf((-27.4731418212799*(4.57885697021332*Y[2]-13.7365709106400*X-evalf((.866025403784440*evalf((-3456*X^3+3456*X^2*Y[2]-1152*X*Y[2]^2+128*Y[2]^3+27)^(1/2))+9/2)^(2/3)))*evalf(1/(.866025403784440*evalf((-3456*X^3+3456*X^2*Y[2]-1152*X*Y[2]^2+128*Y[2]^3+27)^(1/2))+9/2)^(1/3)))^(1/2))+.288675134594814*evalf(((10.4829655768356*Y[2]*evalf((-27.4731418212799*(4.57885697021332*Y[2]-13.7365709106400*X-evalf((.866025403784440*evalf((-3456*X^3+3456*X^2*Y[2]-1152*X*Y[2]^2+128*Y[2]^3+27)^(1/2))+9/2)^(2/3)))*evalf(1/(.866025403784440*evalf((-3456*X^3+3456*X^2*Y[2]-1152*X*Y[2]^2+128*Y[2]^3+27)^(1/2))+9/2)^(1/3)))^(1/2))-31.4488967305067*evalf((-27.4731418212799*(4.57885697021332*Y[2]-13.7365709106400*X-evalf((.866025403784440*evalf((-3456*X^3+3456*X^2*Y[2]-1152*X*Y[2]^2+128*Y[2]^3+27)^(1/2))+9/2)^(2/3)))*evalf(1/(.866025403784440*evalf((-3456*X^3+3456*X^2*Y[2]-1152*X*Y[2]^2+128*Y[2]^3+27)^(1/2))+9/2)^(1/3)))^(1/2))*X-2.28942848510666*evalf((.866025403784440*evalf((-3456*X^3+3456*X^2*Y[2]-1152*X*Y[2]^2+128*Y[2]^3+27)^(1/2))+9/2)^(2/3))*evalf((-27.4731418212799*(4.57885697021332*Y[2]-13.7365709106400*X-evalf((.866025403784440*evalf((-3456*X^3+3456*X^2*Y[2]-1152*X*Y[2]^2+128*Y[2]^3+27)^(1/2))+9/2)^(2/3)))*evalf(1/(.866025403784440*evalf((-3456*X^3+3456*X^2*Y[2]-1152*X*Y[2]^2+128*Y[2]^3+27)^(1/2))+9/2)^(1/3)))^(1/2))+72*evalf((.866025403784440*evalf((-3456*X^3+3456*X^2*Y[2]-1152*X*Y[2]^2+128*Y[2]^3+27)^(1/2))+9/2)^(1/3)))*evalf(1/(.866025403784440*evalf((-3456*X^3+3456*X^2*Y[2]-1152*X*Y[2]^2+128*Y[2]^3+27)^(1/2))+9/2)^(1/3))*evalf(1/(-27.4731418212799*(4.57885697021332*Y[2]-13.7365709106400*X-evalf((.866025403784440*evalf((-3456*X^3+3456*X^2*Y[2]-1152*X*Y[2]^2+128*Y[2]^3+27)^(1/2))+9/2)^(2/3)))*evalf(1/(.866025403784440*evalf((-3456*X^3+3456*X^2*Y[2]-1152*X*Y[2]^2+128*Y[2]^3+27)^(1/2))+9/2)^(1/3)))^(1/2)))^(1/2)); 0 end proc, -1, 0, 0, 0, 0, 0, 0]), ( 13 ) = (), ( 12 ) = (), ( 15 ) = ("rkf45"), ( 14 ) = ([0, 0]), ( 18 ) = ([]), ( 19 ) = (0), ( 16 ) = ([0, 0, 0, []]), ( 17 ) = ([proc (N, X, Y, YP) option `[Y[1] = u(y)]`; if -3456*X^3+3456*X^2*Y[2]-1152*X*Y[2]^2+128*Y[2]^3 < -27 then YP[1] := undefined; return 0 end if; if .866025403784440*evalf((-3456*X^3+3456*X^2*Y[2]-1152*X*Y[2]^2+128*Y[2]^3+27)^(1/2)) < -9/2 then YP[1] := undefined; return 0 end if; if .866025403784440*evalf((-3456*X^3+3456*X^2*Y[2]-1152*X*Y[2]^2+128*Y[2]^3+27)^(1/2)) < -9/2 then YP[1] := undefined; return 0 end if; if .866025403784440*evalf((-3456*X^3+3456*X^2*Y[2]-1152*X*Y[2]^2+128*Y[2]^3+27)^(1/2)) < -9/2 then YP[1] := undefined; return 0 end if; if -27.4731418212799*(4.57885697021332*Y[2]-13.7365709106400*X-evalf((.866025403784440*evalf((-3456*X^3+3456*X^2*Y[2]-1152*X*Y[2]^2+128*Y[2]^3+27)^(1/2))+9/2)^(2/3)))*evalf(1/(.866025403784440*evalf((-3456*X^3+3456*X^2*Y[2]-1152*X*Y[2]^2+128*Y[2]^3+27)^(1/2))+9/2)^(1/3)) < 0 then YP[1] := undefined; return 0 end if; if -27.4731418212799*(4.57885697021332*Y[2]-13.7365709106400*X-evalf((.866025403784440*evalf((-3456*X^3+3456*X^2*Y[2]-1152*X*Y[2]^2+128*Y[2]^3+27)^(1/2))+9/2)^(2/3)))*evalf(1/(.866025403784440*evalf((-3456*X^3+3456*X^2*Y[2]-1152*X*Y[2]^2+128*Y[2]^3+27)^(1/2))+9/2)^(1/3)) < 0 then YP[1] := undefined; return 0 end if; if (10.4829655768356*Y[2]*evalf((-27.4731418212799*(4.57885697021332*Y[2]-13.7365709106400*X-evalf((.866025403784440*evalf((-3456*X^3+3456*X^2*Y[2]-1152*X*Y[2]^2+128*Y[2]^3+27)^(1/2))+9/2)^(2/3)))*evalf(1/(.866025403784440*evalf((-3456*X^3+3456*X^2*Y[2]-1152*X*Y[2]^2+128*Y[2]^3+27)^(1/2))+9/2)^(1/3)))^(1/2))-31.4488967305067*evalf((-27.4731418212799*(4.57885697021332*Y[2]-13.7365709106400*X-evalf((.866025403784440*evalf((-3456*X^3+3456*X^2*Y[2]-1152*X*Y[2]^2+128*Y[2]^3+27)^(1/2))+9/2)^(2/3)))*evalf(1/(.866025403784440*evalf((-3456*X^3+3456*X^2*Y[2]-1152*X*Y[2]^2+128*Y[2]^3+27)^(1/2))+9/2)^(1/3)))^(1/2))*X-2.28942848510666*evalf((.866025403784440*evalf((-3456*X^3+3456*X^2*Y[2]-1152*X*Y[2]^2+128*Y[2]^3+27)^(1/2))+9/2)^(2/3))*evalf((-27.4731418212799*(4.57885697021332*Y[2]-13.7365709106400*X-evalf((.866025403784440*evalf((-3456*X^3+3456*X^2*Y[2]-1152*X*Y[2]^2+128*Y[2]^3+27)^(1/2))+9/2)^(2/3)))*evalf(1/(.866025403784440*evalf((-3456*X^3+3456*X^2*Y[2]-1152*X*Y[2]^2+128*Y[2]^3+27)^(1/2))+9/2)^(1/3)))^(1/2))+72*evalf((.866025403784440*evalf((-3456*X^3+3456*X^2*Y[2]-1152*X*Y[2]^2+128*Y[2]^3+27)^(1/2))+9/2)^(1/3)))*evalf(1/(.866025403784440*evalf((-3456*X^3+3456*X^2*Y[2]-1152*X*Y[2]^2+128*Y[2]^3+27)^(1/2))+9/2)^(1/3))*evalf(1/(-27.4731418212799*(4.57885697021332*Y[2]-13.7365709106400*X-evalf((.866025403784440*evalf((-3456*X^3+3456*X^2*Y[2]-1152*X*Y[2]^2+128*Y[2]^3+27)^(1/2))+9/2)^(2/3)))*evalf(1/(.866025403784440*evalf((-3456*X^3+3456*X^2*Y[2]-1152*X*Y[2]^2+128*Y[2]^3+27)^(1/2))+9/2)^(1/3)))^(1/2)) < 0 then YP[1] := undefined; return 0 end if; YP[1] := -(1/12)*evalf((-27.4731418212799*(4.57885697021332*Y[2]-13.7365709106400*X-evalf((.866025403784440*evalf((-3456*X^3+3456*X^2*Y[2]-1152*X*Y[2]^2+128*Y[2]^3+27)^(1/2))+9/2)^(2/3)))*evalf(1/(.866025403784440*evalf((-3456*X^3+3456*X^2*Y[2]-1152*X*Y[2]^2+128*Y[2]^3+27)^(1/2))+9/2)^(1/3)))^(1/2))+.288675134594814*evalf(((10.4829655768356*Y[2]*evalf((-27.4731418212799*(4.57885697021332*Y[2]-13.7365709106400*X-evalf((.866025403784440*evalf((-3456*X^3+3456*X^2*Y[2]-1152*X*Y[2]^2+128*Y[2]^3+27)^(1/2))+9/2)^(2/3)))*evalf(1/(.866025403784440*evalf((-3456*X^3+3456*X^2*Y[2]-1152*X*Y[2]^2+128*Y[2]^3+27)^(1/2))+9/2)^(1/3)))^(1/2))-31.4488967305067*evalf((-27.4731418212799*(4.57885697021332*Y[2]-13.7365709106400*X-evalf((.866025403784440*evalf((-3456*X^3+3456*X^2*Y[2]-1152*X*Y[2]^2+128*Y[2]^3+27)^(1/2))+9/2)^(2/3)))*evalf(1/(.866025403784440*evalf((-3456*X^3+3456*X^2*Y[2]-1152*X*Y[2]^2+128*Y[2]^3+27)^(1/2))+9/2)^(1/3)))^(1/2))*X-2.28942848510666*evalf((.866025403784440*evalf((-3456*X^3+3456*X^2*Y[2]-1152*X*Y[2]^2+128*Y[2]^3+27)^(1/2))+9/2)^(2/3))*evalf((-27.4731418212799*(4.57885697021332*Y[2]-13.7365709106400*X-evalf((.866025403784440*evalf((-3456*X^3+3456*X^2*Y[2]-1152*X*Y[2]^2+128*Y[2]^3+27)^(1/2))+9/2)^(2/3)))*evalf(1/(.866025403784440*evalf((-3456*X^3+3456*X^2*Y[2]-1152*X*Y[2]^2+128*Y[2]^3+27)^(1/2))+9/2)^(1/3)))^(1/2))+72*evalf((.866025403784440*evalf((-3456*X^3+3456*X^2*Y[2]-1152*X*Y[2]^2+128*Y[2]^3+27)^(1/2))+9/2)^(1/3)))*evalf(1/(.866025403784440*evalf((-3456*X^3+3456*X^2*Y[2]-1152*X*Y[2]^2+128*Y[2]^3+27)^(1/2))+9/2)^(1/3))*evalf(1/(-27.4731418212799*(4.57885697021332*Y[2]-13.7365709106400*X-evalf((.866025403784440*evalf((-3456*X^3+3456*X^2*Y[2]-1152*X*Y[2]^2+128*Y[2]^3+27)^(1/2))+9/2)^(2/3)))*evalf(1/(.866025403784440*evalf((-3456*X^3+3456*X^2*Y[2]-1152*X*Y[2]^2+128*Y[2]^3+27)^(1/2))+9/2)^(1/3)))^(1/2)))^(1/2)); 0 end proc, -1, 0, 0, 0, 0, 0, 0]), ( 22 ) = (0), ( 23 ) = (0), ( 20 ) = ([]), ( 21 ) = (0), ( 24 ) = (0)  ] ))  ] ); _y0 := Array(0..2, {(1) = -1., (2) = 1.}); _vmap := array( 1 .. 1, [( 1 ) = (1)  ] ); _x0 := _dtbl[1][5][5]; _n := _dtbl[1][4][1]; _ne := _dtbl[1][4][3]; _nd := _dtbl[1][4][4]; _nv := _dtbl[1][4][16]; if not type(_xout, 'numeric') then if member(_xout, ["start", "left", "right"]) then if _Env_smart_dsolve_numeric = true or _dtbl[1][4][10] = 1 then if _xout = "left" then if type(_dtbl[2], 'table') then return _dtbl[2][5][1] end if elif _xout = "right" then if type(_dtbl[3], 'table') then return _dtbl[3][5][1] end if end if end if; return _dtbl[1][5][5] elif _xout = "method" then return _dtbl[1][15] elif _xout = "storage" then return evalb(_dtbl[1][4][10] = 1) elif _xout = "leftdata" then if not type(_dtbl[2], 'array') then return NULL else return eval(_dtbl[2]) end if elif _xout = "rightdata" then if not type(_dtbl[3], 'array') then return NULL else return eval(_dtbl[3]) end if elif _xout = "enginedata" then return eval(_dtbl[1]) elif _xout = "enginereset" then _dtbl[2] := evaln(_dtbl[2]); _dtbl[3] := evaln(_dtbl[3]); return NULL elif _xout = "initial" then return procname(_y0[0]) elif _xout = "laxtol" then return _dtbl[`if`(member(_dtbl[4], {2, 3}), _dtbl[4], 1)][5][18] elif _xout = "numfun" then return `if`(member(_dtbl[4], {2, 3}), _dtbl[_dtbl[4]][4][18], 0) elif _xout = "parameters" then return [seq(_y0[_n+_i], _i = 1 .. nops(_pars))] elif _xout = "initial_and_parameters" then return procname(_y0[0]), [seq(_y0[_n+_i], _i = 1 .. nops(_pars))] elif _xout = "last" then if _dtbl[4] <> 2 and _dtbl[4] <> 3 or _x0-_dtbl[_dtbl[4]][5][1] = 0. then error "no information is available on last computed point" else _xout := _dtbl[_dtbl[4]][5][1] end if elif _xout = "function" then if _dtbl[1][4][33]-2. = 0 then return eval(_dtbl[1][10], 1) else return eval(_dtbl[1][10][1], 1) end if elif _xout = "map" then return copy(_vmap) elif type(_xin, `=`) and type(rhs(_xin), 'list') and member(lhs(_xin), {"initial", "parameters", "initial_and_parameters"}) then _ini, _par := [], []; if lhs(_xin) = "initial" then _ini := rhs(_xin) elif lhs(_xin) = "parameters" then _par := rhs(_xin) elif select(type, rhs(_xin), `=`) <> [] then _par, _ini := selectremove(type, rhs(_xin), `=`) elif nops(rhs(_xin)) < nops(_pars)+1 then error "insufficient data for specification of initial and parameters" else _par := rhs(_xin)[-nops(_pars) .. -1]; _ini := rhs(_xin)[1 .. -nops(_pars)-1] end if; _xout := lhs(_xout); if _par <> [] then `dsolve/numeric/process_parameters`(_n, _pars, _par, _y0) end if; if _ini <> [] then `dsolve/numeric/process_initial`(_n-_ne, _ini, _y0, _pars, _vmap) end if; `dsolve/numeric/SC/reinitialize`(_dtbl, _y0, _n, procname, _pars); if _Env_smart_dsolve_numeric = true and type(_y0[0], 'numeric') and _dtbl[1][4][10] <> 1 then procname("right") := _y0[0]; procname("left") := _y0[0] end if; if _xout = "initial" then return [_y0[0], seq(_y0[_vmap[_i]], _i = 1 .. _n-_ne)] elif _xout = "parameters" then return [seq(_y0[_n+_i], _i = 1 .. nops(_pars))] else return [_y0[0], seq(_y0[_vmap[_i]], _i = 1 .. _n-_ne)], [seq(_y0[_n+_i], _i = 1 .. nops(_pars))] end if elif _xin = "eventstop" then if _nv = 0 then error "this solution has no events" end if; _i := _dtbl[4]; if _i <> 2 and _i <> 3 then return 0 end if; if _dtbl[_i][4][10] = 1 and assigned(_dtbl[5-_i]) and _dtbl[_i][4][9] < 100 and 100 <= _dtbl[5-_i][4][9] then _i := 5-_i; _dtbl[4] := _i; _j := round(_dtbl[_i][4][17]); return round(_dtbl[_i][3][1][_j, 1]) elif 100 <= _dtbl[_i][4][9] then _j := round(_dtbl[_i][4][17]); return round(_dtbl[_i][3][1][_j, 1]) else return 0 end if elif _xin = "eventstatus" then if _nv = 0 then error "this solution has no events" end if; _i := [selectremove(proc (a) options operator, arrow; _dtbl[1][3][1][a, 7] = 1 end proc, {seq(_j, _j = 1 .. round(_dtbl[1][3][1][_nv+1, 1]))})]; return ':-enabled' = _i[1], ':-disabled' = _i[2] elif _xin = "eventclear" then if _nv = 0 then error "this solution has no events" end if; _i := _dtbl[4]; if _i <> 2 and _i <> 3 then error "no events to clear" end if; if _dtbl[_i][4][10] = 1 and assigned(_dtbl[5-_i]) and _dtbl[_i][4][9] < 100 and 100 < _dtbl[5-_i][4][9] then _dtbl[4] := 5-_i; _i := 5-_i end if; if _dtbl[_i][4][9] < 100 then error "no events to clear" elif _nv < _dtbl[_i][4][9]-100 then error "event error condition cannot be cleared" else _j := _dtbl[_i][4][9]-100; if irem(round(_dtbl[_i][3][1][_j, 4]), 2) = 1 then error "retriggerable events cannot be cleared" end if; _j := round(_dtbl[_i][3][1][_j, 1]); for _k to _nv do if _dtbl[_i][3][1][_k, 1] = _j then if _dtbl[_i][3][1][_k, 2] = 3 then error "range events cannot be cleared" end if; _dtbl[_i][3][1][_k, 8] := _dtbl[_i][3][1][_nv+1, 8] end if end do; _dtbl[_i][4][17] := 0; _dtbl[_i][4][9] := 0; if _dtbl[1][4][10] = 1 then if _i = 2 then try procname(procname("left")) catch:  end try else try procname(procname("right")) catch:  end try end if end if end if; return  elif type(_xin, `=`) and member(lhs(_xin), {"eventdisable", "eventenable"}) then if _nv = 0 then error "this solution has no events" end if; if type(rhs(_xin), {('list')('posint'), ('set')('posint')}) then _i := {op(rhs(_xin))} elif type(rhs(_xin), 'posint') then _i := {rhs(_xin)} else error "event identifiers must be integers in the range 1..%1", round(_dtbl[1][3][1][_nv+1, 1]) end if; if select(proc (a) options operator, arrow; _nv < a end proc, _i) <> {} then error "event identifiers must be integers in the range 1..%1", round(_dtbl[1][3][1][_nv+1, 1]) end if; _k := {}; for _j to _nv do if member(round(_dtbl[1][3][1][_j, 1]), _i) then _k := `union`(_k, {_j}) end if end do; _i := _k; if lhs(_xin) = "eventdisable" then _dtbl[4] := 0; _j := [evalb(assigned(_dtbl[2]) and member(_dtbl[2][4][17], _i)), evalb(assigned(_dtbl[3]) and member(_dtbl[3][4][17], _i))]; for _k in _i do _dtbl[1][3][1][_k, 7] := 0; if assigned(_dtbl[2]) then _dtbl[2][3][1][_k, 7] := 0 end if; if assigned(_dtbl[3]) then _dtbl[3][3][1][_k, 7] := 0 end if end do; if _j[1] then for _k to _nv+1 do if _k <= _nv and not type(_dtbl[2][3][4][_k, 1], 'undefined') then userinfo(3, {'events', 'eventreset'}, `reinit #2, event code `, _k, ` to defined init `, _dtbl[2][3][4][_k, 1]); _dtbl[2][3][1][_k, 8] := _dtbl[2][3][4][_k, 1] elif _dtbl[2][3][1][_k, 2] = 0 and irem(iquo(round(_dtbl[2][3][1][_k, 4]), 32), 2) = 1 then userinfo(3, {'events', 'eventreset'}, `reinit #2, event code `, _k, ` to rate hysteresis init `, _dtbl[2][5][24]); _dtbl[2][3][1][_k, 8] := _dtbl[2][5][24] elif _dtbl[2][3][1][_k, 2] = 0 and irem(iquo(round(_dtbl[2][3][1][_k, 4]), 2), 2) = 0 then userinfo(3, {'events', 'eventreset'}, `reinit #2, event code `, _k, ` to initial init `, _x0); _dtbl[2][3][1][_k, 8] := _x0 else userinfo(3, {'events', 'eventreset'}, `reinit #2, event code `, _k, ` to fireinitial init `, _x0-1); _dtbl[2][3][1][_k, 8] := _x0-1 end if end do; _dtbl[2][4][17] := 0; _dtbl[2][4][9] := 0; if _dtbl[1][4][10] = 1 then procname(procname("left")) end if end if; if _j[2] then for _k to _nv+1 do if _k <= _nv and not type(_dtbl[3][3][4][_k, 2], 'undefined') then userinfo(3, {'events', 'eventreset'}, `reinit #3, event code `, _k, ` to defined init `, _dtbl[3][3][4][_k, 2]); _dtbl[3][3][1][_k, 8] := _dtbl[3][3][4][_k, 2] elif _dtbl[3][3][1][_k, 2] = 0 and irem(iquo(round(_dtbl[3][3][1][_k, 4]), 32), 2) = 1 then userinfo(3, {'events', 'eventreset'}, `reinit #3, event code `, _k, ` to rate hysteresis init `, _dtbl[3][5][24]); _dtbl[3][3][1][_k, 8] := _dtbl[3][5][24] elif _dtbl[3][3][1][_k, 2] = 0 and irem(iquo(round(_dtbl[3][3][1][_k, 4]), 2), 2) = 0 then userinfo(3, {'events', 'eventreset'}, `reinit #3, event code `, _k, ` to initial init `, _x0); _dtbl[3][3][1][_k, 8] := _x0 else userinfo(3, {'events', 'eventreset'}, `reinit #3, event code `, _k, ` to fireinitial init `, _x0+1); _dtbl[3][3][1][_k, 8] := _x0+1 end if end do; _dtbl[3][4][17] := 0; _dtbl[3][4][9] := 0; if _dtbl[1][4][10] = 1 then procname(procname("right")) end if end if else for _k in _i do _dtbl[1][3][1][_k, 7] := 1 end do; _dtbl[2] := evaln(_dtbl[2]); _dtbl[3] := evaln(_dtbl[3]); _dtbl[4] := 0; if _dtbl[1][4][10] = 1 then if _x0 <= procname("right") then try procname(procname("right")) catch:  end try end if; if procname("left") <= _x0 then try procname(procname("left")) catch:  end try end if end if end if; return  elif type(_xin, `=`) and lhs(_xin) = "eventfired" then if not type(rhs(_xin), 'list') then error "'eventfired' must be specified as a list" end if; if _nv = 0 then error "this solution has no events" end if; if _dtbl[4] <> 2 and _dtbl[4] <> 3 then error "'direction' must be set prior to calling/setting 'eventfired'" end if; _i := _dtbl[4]; _val := NULL; if not assigned(_EnvEventRetriggerWarned) then _EnvEventRetriggerWarned := false end if; for _k in rhs(_xin) do if type(_k, 'integer') then _src := _k elif type(_k, 'integer' = 'anything') and type(evalf(rhs(_k)), 'numeric') then _k := lhs(_k) = evalf[max(Digits, 18)](rhs(_k)); _src := lhs(_k) else error "'eventfired' entry is not valid: %1", _k end if; if _src < 1 or round(_dtbl[1][3][1][_nv+1, 1]) < _src then error "event identifiers must be integers in the range 1..%1", round(_dtbl[1][3][1][_nv+1, 1]) end if; _src := {seq(`if`(_dtbl[1][3][1][_j, 1]-_src = 0., _j, NULL), _j = 1 .. _nv)}; if nops(_src) <> 1 then error "'eventfired' can only be set/queried for root-finding events and time/interval events" end if; _src := _src[1]; if _dtbl[1][3][1][_src, 2] <> 0. and _dtbl[1][3][1][_src, 2]-2. <> 0. then error "'eventfired' can only be set/queried for root-finding events and time/interval events" elif irem(round(_dtbl[1][3][1][_src, 4]), 2) = 1 then if _EnvEventRetriggerWarned = false then WARNING(`'eventfired' has no effect on events that retrigger`) end if; _EnvEventRetriggerWarned := true end if; if _dtbl[_i][3][1][_src, 2] = 0 and irem(iquo(round(_dtbl[_i][3][1][_src, 4]), 32), 2) = 1 then _val := _val, undefined elif type(_dtbl[_i][3][4][_src, _i-1], 'undefined') or _i = 2 and _dtbl[2][3][1][_src, 8] < _dtbl[2][3][4][_src, 1] or _i = 3 and _dtbl[3][3][4][_src, 2] < _dtbl[3][3][1][_src, 8] then _val := _val, _dtbl[_i][3][1][_src, 8] else _val := _val, _dtbl[_i][3][4][_src, _i-1] end if; if type(_k, `=`) then if _dtbl[_i][3][1][_src, 2] = 0 and irem(iquo(round(_dtbl[_i][3][1][_src, 4]), 32), 2) = 1 then error "cannot set event code for a rate hysteresis event" end if; userinfo(3, {'events', 'eventreset'}, `manual set event code `, _src, ` to value `, rhs(_k)); _dtbl[_i][3][1][_src, 8] := rhs(_k); _dtbl[_i][3][4][_src, _i-1] := rhs(_k) end if end do; return [_val] elif type(_xin, `=`) and lhs(_xin) = "direction" then if not member(rhs(_xin), {-1, 1, ':-left', ':-right'}) then error "'direction' must be specified as either '1' or 'right' (positive) or '-1' or 'left' (negative)" end if; _src := `if`(_dtbl[4] = 2, -1, `if`(_dtbl[4] = 3, 1, undefined)); _i := `if`(member(rhs(_xin), {1, ':-right'}), 3, 2); _dtbl[4] := _i; _dtbl[_i] := `dsolve/numeric/SC/IVPdcopy`(_dtbl[1], `if`(assigned(_dtbl[_i]), _dtbl[_i], NULL)); if 0 < _nv then for _j to _nv+1 do if _j <= _nv and not type(_dtbl[_i][3][4][_j, _i-1], 'undefined') then userinfo(3, {'events', 'eventreset'}, `reinit #4, event code `, _j, ` to defined init `, _dtbl[_i][3][4][_j, _i-1]); _dtbl[_i][3][1][_j, 8] := _dtbl[_i][3][4][_j, _i-1] elif _dtbl[_i][3][1][_j, 2] = 0 and irem(iquo(round(_dtbl[_i][3][1][_j, 4]), 32), 2) = 1 then userinfo(3, {'events', 'eventreset'}, `reinit #4, event code `, _j, ` to rate hysteresis init `, _dtbl[_i][5][24]); _dtbl[_i][3][1][_j, 8] := _dtbl[_i][5][24] elif _dtbl[_i][3][1][_j, 2] = 0 and irem(iquo(round(_dtbl[_i][3][1][_j, 4]), 2), 2) = 0 then userinfo(3, {'events', 'eventreset'}, `reinit #4, event code `, _j, ` to initial init `, _x0); _dtbl[_i][3][1][_j, 8] := _x0 else userinfo(3, {'events', 'eventreset'}, `reinit #4, event code `, _j, ` to fireinitial init `, _x0-2*_i+5.0); _dtbl[_i][3][1][_j, 8] := _x0-2*_i+5.0 end if end do end if; return _src elif _xin = "eventcount" then if _dtbl[1][3][1] = 0 or _dtbl[4] <> 2 and _dtbl[4] <> 3 then return 0 else return round(_dtbl[_dtbl[4]][3][1][_nv+1, 12]) end if else return "procname" end if end if; if _xout = _x0 then return [_x0, seq(evalf(_dtbl[1][6][_vmap[_i]]), _i = 1 .. _n-_ne)] end if; _i := `if`(_x0 <= _xout, 3, 2); if _xin = "last" and 0 < _dtbl[_i][4][9] and _dtbl[_i][4][9] < 100 then _dat := eval(_dtbl[_i], 2); _j := _dat[4][20]; return [_dat[11][_j, 0], seq(_dat[11][_j, _vmap[_i]], _i = 1 .. _n-_ne-_nd), seq(_dat[8][1][_vmap[_i]], _i = _n-_ne-_nd+1 .. _n-_ne)] end if; if not type(_dtbl[_i], 'array') then _dtbl[_i] := `dsolve/numeric/SC/IVPdcopy`(_dtbl[1], `if`(assigned(_dtbl[_i]), _dtbl[_i], NULL)); if 0 < _nv then for _j to _nv+1 do if _j <= _nv and not type(_dtbl[_i][3][4][_j, _i-1], 'undefined') then userinfo(3, {'events', 'eventreset'}, `reinit #5, event code `, _j, ` to defined init `, _dtbl[_i][3][4][_j, _i-1]); _dtbl[_i][3][1][_j, 8] := _dtbl[_i][3][4][_j, _i-1] elif _dtbl[_i][3][1][_j, 2] = 0 and irem(iquo(round(_dtbl[_i][3][1][_j, 4]), 32), 2) = 1 then userinfo(3, {'events', 'eventreset'}, `reinit #5, event code `, _j, ` to rate hysteresis init `, _dtbl[_i][5][24]); _dtbl[_i][3][1][_j, 8] := _dtbl[_i][5][24] elif _dtbl[_i][3][1][_j, 2] = 0 and irem(iquo(round(_dtbl[_i][3][1][_j, 4]), 2), 2) = 0 then userinfo(3, {'events', 'eventreset'}, `reinit #5, event code `, _j, ` to initial init `, _x0); _dtbl[_i][3][1][_j, 8] := _x0 else userinfo(3, {'events', 'eventreset'}, `reinit #5, event code `, _j, ` to fireinitial init `, _x0-2*_i+5.0); _dtbl[_i][3][1][_j, 8] := _x0-2*_i+5.0 end if end do end if end if; if _xin <> "last" then if 0 < 0 then if `dsolve/numeric/checkglobals`(op(_dtbl[1][14]), _pars, _n, _y0) then `dsolve/numeric/SC/reinitialize`(_dtbl, _y0, _n, procname, _pars, _i) end if end if; if _dtbl[1][4][7] = 0 then error "parameters must be initialized before solution can be computed" end if end if; _dat := eval(_dtbl[_i], 2); _dtbl[4] := _i; try _src := `dsolve/numeric/SC/IVPrun`(_dat, _xout) catch: userinfo(2, `dsolve/debug`, print(`Exception in solnproc:`, [lastexception][2 .. -1])); error  end try; if _src = 0 and 100 < _dat[4][9] then _val := _dat[3][1][_nv+1, 8] else _val := _dat[11][_dat[4][20], 0] end if; if _src <> 0 or _dat[4][9] <= 0 then _dtbl[1][5][1] := _xout else _dtbl[1][5][1] := _val end if; if _i = 3 and _val < _xout then Rounding := -infinity; if _dat[4][9] = 1 then error "cannot evaluate the solution further right of %1, probably a singularity", evalf[8](_val) elif _dat[4][9] = 2 then error "cannot evaluate the solution further right of %1, maxfun limit exceeded (see ?dsolve,maxfun for details)", evalf[8](_val) elif _dat[4][9] = 3 then if _dat[4][25] = 3 then error "cannot evaluate the solution past the initial point, problem may be initially singular or improperly set up" else error "cannot evaluate the solution past the initial point, problem may be complex, initially singular or improperly set up" end if elif _dat[4][9] = 4 then error "cannot evaluate the solution further right of %1, accuracy goal cannot be achieved with specified 'minstep'", evalf[8](_val) elif _dat[4][9] = 5 then error "cannot evaluate the solution further right of %1, too many step failures, tolerances may be too loose for problem", evalf[8](_val) elif _dat[4][9] = 6 then error "cannot evaluate the solution further right of %1, cannot downgrade delay storage for problems with delay derivative order > 1, try increasing delaypts", evalf[8](_val) elif _dat[4][9] = 10 then error "cannot evaluate the solution further right of %1, interrupt requested", evalf[8](_val) elif 100 < _dat[4][9] then if _dat[4][9]-100 = _nv+1 then error "constraint projection failure on event at t=%1", evalf[8](_val) elif _dat[4][9]-100 = _nv+2 then error "index-1 and derivative evaluation failure on event at t=%1", evalf[8](_val) elif _dat[4][9]-100 = _nv+3 then error "maximum number of event iterations reached (%1) at t=%2", round(_dat[3][1][_nv+1, 3]), evalf[8](_val) else if _Env_dsolve_nowarnstop <> true then `dsolve/numeric/warning`(StringTools:-FormatMessage("cannot evaluate the solution further right of %1, event #%2 triggered a halt", evalf[8](_val), round(_dat[3][1][_dat[4][9]-100, 1]))) end if; Rounding := 'nearest'; _xout := _val end if else error "cannot evaluate the solution further right of %1", evalf[8](_val) end if elif _i = 2 and _xout < _val then Rounding := infinity; if _dat[4][9] = 1 then error "cannot evaluate the solution further left of %1, probably a singularity", evalf[8](_val) elif _dat[4][9] = 2 then error "cannot evaluate the solution further left of %1, maxfun limit exceeded (see ?dsolve,maxfun for details)", evalf[8](_val) elif _dat[4][9] = 3 then if _dat[4][25] = 3 then error "cannot evaluate the solution past the initial point, problem may be initially singular or improperly set up" else error "cannot evaluate the solution past the initial point, problem may be complex, initially singular or improperly set up" end if elif _dat[4][9] = 4 then error "cannot evaluate the solution further left of %1, accuracy goal cannot be achieved with specified 'minstep'", evalf[8](_val) elif _dat[4][9] = 5 then error "cannot evaluate the solution further left of %1, too many step failures, tolerances may be too loose for problem", evalf[8](_val) elif _dat[4][9] = 6 then error "cannot evaluate the solution further left of %1, cannot downgrade delay storage for problems with delay derivative order > 1, try increasing delaypts", evalf[8](_val) elif _dat[4][9] = 10 then error "cannot evaluate the solution further right of %1, interrupt requested", evalf[8](_val) elif 100 < _dat[4][9] then if _dat[4][9]-100 = _nv+1 then error "constraint projection failure on event at t=%1", evalf[8](_val) elif _dat[4][9]-100 = _nv+2 then error "index-1 and derivative evaluation failure on event at t=%1", evalf[8](_val) elif _dat[4][9]-100 = _nv+3 then error "maximum number of event iterations reached (%1) at t=%2", round(_dat[3][1][_nv+1, 3]), evalf[8](_val) else if _Env_dsolve_nowarnstop <> true then `dsolve/numeric/warning`(StringTools:-FormatMessage("cannot evaluate the solution further left of %1, event #%2 triggered a halt", evalf[8](_val), round(_dat[3][1][_dat[4][9]-100, 1]))) end if; Rounding := 'nearest'; _xout := _val end if else error "cannot evaluate the solution further left of %1", evalf[8](_val) end if end if; if _EnvInFsolve = true then _dig := _dat[4][26]; _dat[4][26] := _EnvDSNumericSaveDigits; _Env_dsolve_SC_native := true; if _dat[4][25] = 1 then _i := 1; _dat[4][25] := 2 else _i := _dat[4][25] end if; _val := `dsolve/numeric/SC/IVPval`(_dat, _xout, _src); _dat[4][25] := _i; _dat[4][26] := _dig; [_xout, seq(_val[_vmap[_i]], _i = 1 .. _n-_ne)] else Digits := _dat[4][26]; _val := `dsolve/numeric/SC/IVPval`(eval(_dat, 2), _xout, _src); [_xout, seq(_val[_vmap[_i]], _i = 1 .. _n-_ne)] end if end proc, (2) = Array(0..0, {}), (3) = [y, u(y)], (4) = [C = C]}); _vars := _dat[3]; _pars := map(rhs, _dat[4]); _n := nops(_vars)-1; _solnproc := _dat[1]; if not type(_xout, 'numeric') then if member(x_rkf45, ["start", 'start', "method", 'method', "left", 'left', "right", 'right', "leftdata", "rightdata", "enginedata", "eventstop", 'eventstop', "eventclear", 'eventclear', "eventstatus", 'eventstatus', "eventcount", 'eventcount', "laxtol", 'laxtol', "numfun", 'numfun', NULL]) then _res := _solnproc(convert(x_rkf45, 'string')); if 1 < nops([_res]) then return _res elif type(_res, 'array') then return eval(_res, 1) elif _res <> "procname" then return _res end if elif member(x_rkf45, ["last", 'last', "initial", 'initial', "parameters", 'parameters', "initial_and_parameters", 'initial_and_parameters', NULL]) then _xout := convert(x_rkf45, 'string'); _res := _solnproc(_xout); if _xout = "parameters" then return [seq(_pars[_i] = _res[_i], _i = 1 .. nops(_pars))] elif _xout = "initial_and_parameters" then return [seq(_vars[_i+1] = [_res][1][_i+1], _i = 0 .. _n), seq(_pars[_i] = [_res][2][_i], _i = 1 .. nops(_pars))] else return [seq(_vars[_i+1] = _res[_i+1], _i = 0 .. _n)] end if elif type(_xout, `=`) and member(lhs(_xout), ["initial", 'initial', "parameters", 'parameters', "initial_and_parameters", 'initial_and_parameters', NULL]) then _xout := convert(lhs(x_rkf45), 'string') = rhs(x_rkf45); if type(rhs(_xout), 'list') then _res := _solnproc(_xout) else error "initial and/or parameter values must be specified in a list" end if; if lhs(_xout) = "initial" then return [seq(_vars[_i+1] = _res[_i+1], _i = 0 .. _n)] elif lhs(_xout) = "parameters" then return [seq(_pars[_i] = _res[_i], _i = 1 .. nops(_pars))] else return [seq(_vars[_i+1] = [_res][1][_i+1], _i = 0 .. _n), seq(_pars[_i] = [_res][2][_i], _i = 1 .. nops(_pars))] end if elif type(_xout, `=`) and member(lhs(_xout), ["eventdisable", 'eventdisable', "eventenable", 'eventenable', "eventfired", 'eventfired', "direction", 'direction', NULL]) then return _solnproc(convert(lhs(x_rkf45), 'string') = rhs(x_rkf45)) elif _xout = "solnprocedure" then return eval(_solnproc) elif _xout = "sysvars" then return _vars end if; if procname <> unknown then return ('procname')(x_rkf45) else _ndsol; _ndsol := pointto(_dat[2][0]); return ('_ndsol')(x_rkf45) end if end if; try _res := _solnproc(_xout); [seq(_vars[_i+1] = _res[_i+1], _i = 0 .. _n)] catch: error  end try end proc

 

2.5

 

HFloat(3.121002019164313)

 

true

 

4.384334827

 

[C = 4.384334827]

 

 

# For k=2, and X=0 (==> 1+X^2/2 = 1) thesmallest value c9 of C
# such that the solution can be computed up to y=1 is c0=2.4.
# But y(1) = 3.12 being already larger then 2, there is no value
# of C such that y(1) = 2.

sys, data := Xsol(1/2, 2, 0, 3):
sol := dsolve(sys, numeric, parameters=[C]);

# Find the smaller value oc C such that the solution might be
# constructed up to L.

c0 := Cstart();

# Check if c0 is admissible.

sol(parameters=[c0]):
eval(u(y), sol(eval(L, data)));
if % < eval(k, data) then
  admissible := true
else
  admissible := false
end if;


if admissible then
  # From C=c0 find the value ck of C such that y(L)=k.

  ck := fsolve('FindC(c)'=eval(k, data), c=c0..10);

  # Instanciate the solution with C=ck

  sol(parameters=[ck]):

  # Plot it.

  plot('f(__y)', __y=eval(-L..L, data))
end if;

proc (x_rkf45) local _res, _dat, _vars, _solnproc, _xout, _ndsol, _pars, _n, _i; option `Copyright (c) 2000 by Waterloo Maple Inc. All rights reserved.`; if 1 < nargs then error "invalid input: too many arguments" end if; _EnvDSNumericSaveDigits := Digits; Digits := 15; if _EnvInFsolve = true then _xout := evalf[_EnvDSNumericSaveDigits](x_rkf45) else _xout := evalf(x_rkf45) end if; _dat := Array(1..4, {(1) = proc (_xin) local _xout, _dtbl, _dat, _vmap, _x0, _y0, _val, _dig, _n, _ne, _nd, _nv, _pars, _ini, _par, _i, _j, _k, _src; option `Copyright (c) 2002 by Waterloo Maple Inc. All rights reserved.`; table( [( "complex" ) = false ] ) _xout := _xin; _pars := [C = C]; _dtbl := array( 1 .. 4, [( 1 ) = (array( 1 .. 24, [( 1 ) = (datatype = float[8], order = C_order, storage = rectangular), ( 2 ) = (datatype = float[8], order = C_order, storage = rectangular), ( 3 ) = ([0, 0, 0, Array(1..0, 1..2, {}, datatype = float[8], order = C_order)]), ( 4 ) = (Array(1..54, {(1) = 1, (2) = 1, (3) = 0, (4) = 0, (5) = 1, (6) = 0, (7) = 0, (8) = 0, (9) = 0, (10) = 0, (11) = 0, (12) = 0, (13) = 0, (14) = 0, (15) = 0, (16) = 0, (17) = 0, (18) = 0, (19) = 30000, (20) = 0, (21) = 0, (22) = 1, (23) = 4, (24) = 0, (25) = 1, (26) = 15, (27) = 1, (28) = 0, (29) = 1, (30) = 3, (31) = 3, (32) = 0, (33) = 1, (34) = 0, (35) = 0, (36) = 0, (37) = 0, (38) = 0, (39) = 0, (40) = 0, (41) = 0, (42) = 0, (43) = 1, (44) = 0, (45) = 0, (46) = 0, (47) = 0, (48) = 0, (49) = 0, (50) = 50, (51) = 1, (52) = 0, (53) = 0, (54) = 0}, datatype = integer[8])), ( 5 ) = (Array(1..28, {(1) = -1.0, (2) = 0.10e-5, (3) = .0, (4) = 0.500001e-14, (5) = -1.0, (6) = .0, (7) = .0, (8) = 0.10e-5, (9) = .0, (10) = .0, (11) = .0, (12) = .0, (13) = 1.0, (14) = .0, (15) = .49999999999999, (16) = .0, (17) = 1.0, (18) = 1.0, (19) = .0, (20) = .0, (21) = 1.0, (22) = 1.0, (23) = .0, (24) = .0, (25) = 0.10e-14, (26) = .0, (27) = .0, (28) = .0}, datatype = float[8], order = C_order)), ( 6 ) = (Array(1..2, {(1) = 1., (2) = Float(undefined)})), ( 7 ) = ([Array(1..4, 1..7, {(1, 1) = .0, (1, 2) = .203125, (1, 3) = .3046875, (1, 4) = .75, (1, 5) = .8125, (1, 6) = .40625, (1, 7) = .8125, (2, 1) = 0.6378173828125e-1, (2, 2) = .0, (2, 3) = .279296875, (2, 4) = .27237892150878906, (2, 5) = -0.9686851501464844e-1, (2, 6) = 0.1956939697265625e-1, (2, 7) = .5381584167480469, (3, 1) = 0.31890869140625e-1, (3, 2) = .0, (3, 3) = -.34375, (3, 4) = -.335235595703125, (3, 5) = .2296142578125, (3, 6) = .41748046875, (3, 7) = 11.480712890625, (4, 1) = 0.9710520505905151e-1, (4, 2) = .0, (4, 3) = .40350341796875, (4, 4) = 0.20297467708587646e-1, (4, 5) = -0.6054282188415527e-2, (4, 6) = -0.4770040512084961e-1, (4, 7) = .77858567237854}, datatype = float[8], order = C_order), Array(1..6, 1..6, {(1, 1) = .0, (1, 2) = .0, (1, 3) = .0, (1, 4) = .0, (1, 5) = .0, (1, 6) = 1.0, (2, 1) = .25, (2, 2) = .0, (2, 3) = .0, (2, 4) = .0, (2, 5) = .0, (2, 6) = 1.0, (3, 1) = .1875, (3, 2) = .5625, (3, 3) = .0, (3, 4) = .0, (3, 5) = .0, (3, 6) = 2.0, (4, 1) = .23583984375, (4, 2) = -.87890625, (4, 3) = .890625, (4, 4) = .0, (4, 5) = .0, (4, 6) = .2681884765625, (5, 1) = .1272735595703125, (5, 2) = -.5009765625, (5, 3) = .44921875, (5, 4) = -0.128936767578125e-1, (5, 5) = .0, (5, 6) = 0.626220703125e-1, (6, 1) = -0.927734375e-1, (6, 2) = .626220703125, (6, 3) = -.4326171875, (6, 4) = .1418304443359375, (6, 5) = -0.861053466796875e-1, (6, 6) = .3131103515625}, datatype = float[8], order = C_order), Array(1..6, {(1) = .0, (2) = .386, (3) = .21, (4) = .63, (5) = 1.0, (6) = 1.0}, datatype = float[8], order = C_order), Array(1..6, {(1) = .25, (2) = -.1043, (3) = .1035, (4) = -0.362e-1, (5) = .0, (6) = .0}, datatype = float[8], order = C_order), Array(1..6, 1..5, {(1, 1) = .0, (1, 2) = .0, (1, 3) = .0, (1, 4) = .0, (1, 5) = .0, (2, 1) = 1.544, (2, 2) = .0, (2, 3) = .0, (2, 4) = .0, (2, 5) = .0, (3, 1) = .9466785280815533, (3, 2) = .25570116989825814, (3, 3) = .0, (3, 4) = .0, (3, 5) = .0, (4, 1) = 3.3148251870684886, (4, 2) = 2.896124015972123, (4, 3) = .9986419139977808, (4, 4) = .0, (4, 5) = .0, (5, 1) = 1.2212245092262748, (5, 2) = 6.019134481287752, (5, 3) = 12.537083329320874, (5, 4) = -.687886036105895, (5, 5) = .0, (6, 1) = 1.2212245092262748, (6, 2) = 6.019134481287752, (6, 3) = 12.537083329320874, (6, 4) = -.687886036105895, (6, 5) = 1.0}, datatype = float[8], order = C_order), Array(1..6, 1..5, {(1, 1) = .0, (1, 2) = .0, (1, 3) = .0, (1, 4) = .0, (1, 5) = .0, (2, 1) = -5.6688, (2, 2) = .0, (2, 3) = .0, (2, 4) = .0, (2, 5) = .0, (3, 1) = -2.4300933568337584, (3, 2) = -.20635991570891224, (3, 3) = .0, (3, 4) = .0, (3, 5) = .0, (4, 1) = -.10735290581452621, (4, 2) = -9.594562251021896, (4, 3) = -20.470286148096154, (4, 4) = .0, (4, 5) = .0, (5, 1) = 7.496443313968615, (5, 2) = -10.246804314641219, (5, 3) = -33.99990352819906, (5, 4) = 11.708908932061595, (5, 5) = .0, (6, 1) = 8.083246795922411, (6, 2) = -7.981132988062785, (6, 3) = -31.52159432874373, (6, 4) = 16.319305431231363, (6, 5) = -6.0588182388340535}, datatype = float[8], order = C_order), Array(1..3, 1..5, {(1, 1) = .0, (1, 2) = .0, (1, 3) = .0, (1, 4) = .0, (1, 5) = .0, (2, 1) = 10.126235083446911, (2, 2) = -7.487995877607633, (2, 3) = -34.800918615557414, (2, 4) = -7.9927717075687275, (2, 5) = 1.0251377232956207, (3, 1) = -.6762803392806898, (3, 2) = 6.087714651678606, (3, 3) = 16.43084320892463, (3, 4) = 24.767225114183653, (3, 5) = -6.5943891257167815}, datatype = float[8], order = C_order)]), ( 9 ) = ([Array(1..1, {(1) = .1}, datatype = float[8], order = C_order), Array(1..1, {(1) = .0}, datatype = float[8], order = C_order), Array(1..1, {(1) = .0}, datatype = float[8], order = C_order), Array(1..1, {(1) = .0}, datatype = float[8], order = C_order), Array(1..1, {(1) = .0}, datatype = float[8], order = C_order), Array(1..1, 1..1, {(1, 1) = .0}, datatype = float[8], order = C_order), Array(1..1, 1..1, {(1, 1) = .0}, datatype = float[8], order = C_order), Array(1..1, 1..6, {(1, 1) = .0, (1, 2) = .0, (1, 3) = .0, (1, 4) = .0, (1, 5) = .0, (1, 6) = .0}, datatype = float[8], order = C_order), Array(1..1, {(1) = 0}, datatype = integer[8]), Array(1..2, {(1) = .0, (2) = .0}, datatype = float[8], order = C_order), Array(1..2, {(1) = .0, (2) = .0}, datatype = float[8], order = C_order), Array(1..2, {(1) = .0, (2) = .0}, datatype = float[8], order = C_order), Array(1..2, {(1) = .0, (2) = .0}, datatype = float[8], order = C_order), Array(1..1, {(1) = .0}, datatype = float[8], order = C_order)]), ( 8 ) = ([Array(1..2, {(1) = .0, (2) = .0}, datatype = float[8], order = C_order), Array(1..2, {(1) = .0, (2) = .0}, datatype = float[8], order = C_order), Array(1..1, {(1) = .0}, datatype = float[8], order = C_order), 0, 0]), ( 11 ) = (Array(1..6, 0..1, {(1, 1) = .0, (2, 0) = .0, (2, 1) = .0, (3, 0) = .0, (3, 1) = .0, (4, 0) = .0, (4, 1) = .0, (5, 0) = .0, (5, 1) = .0, (6, 0) = .0, (6, 1) = .0}, datatype = float[8], order = C_order)), ( 10 ) = ([proc (N, X, Y, YP) option `[Y[1] = u(y)]`; if -3456*X^3+3456*X^2*Y[2]-1152*X*Y[2]^2+128*Y[2]^3 < -27 then YP[1] := undefined; return 0 end if; if .866025403784440*evalf((-3456*X^3+3456*X^2*Y[2]-1152*X*Y[2]^2+128*Y[2]^3+27)^(1/2)) < -9/2 then YP[1] := undefined; return 0 end if; if .866025403784440*evalf((-3456*X^3+3456*X^2*Y[2]-1152*X*Y[2]^2+128*Y[2]^3+27)^(1/2)) < -9/2 then YP[1] := undefined; return 0 end if; if .866025403784440*evalf((-3456*X^3+3456*X^2*Y[2]-1152*X*Y[2]^2+128*Y[2]^3+27)^(1/2)) < -9/2 then YP[1] := undefined; return 0 end if; if -27.4731418212799*(4.57885697021332*Y[2]-13.7365709106400*X-evalf((.866025403784440*evalf((-3456*X^3+3456*X^2*Y[2]-1152*X*Y[2]^2+128*Y[2]^3+27)^(1/2))+9/2)^(2/3)))*evalf(1/(.866025403784440*evalf((-3456*X^3+3456*X^2*Y[2]-1152*X*Y[2]^2+128*Y[2]^3+27)^(1/2))+9/2)^(1/3)) < 0 then YP[1] := undefined; return 0 end if; if -27.4731418212799*(4.57885697021332*Y[2]-13.7365709106400*X-evalf((.866025403784440*evalf((-3456*X^3+3456*X^2*Y[2]-1152*X*Y[2]^2+128*Y[2]^3+27)^(1/2))+9/2)^(2/3)))*evalf(1/(.866025403784440*evalf((-3456*X^3+3456*X^2*Y[2]-1152*X*Y[2]^2+128*Y[2]^3+27)^(1/2))+9/2)^(1/3)) < 0 then YP[1] := undefined; return 0 end if; if (10.4829655768356*Y[2]*evalf((-27.4731418212799*(4.57885697021332*Y[2]-13.7365709106400*X-evalf((.866025403784440*evalf((-3456*X^3+3456*X^2*Y[2]-1152*X*Y[2]^2+128*Y[2]^3+27)^(1/2))+9/2)^(2/3)))*evalf(1/(.866025403784440*evalf((-3456*X^3+3456*X^2*Y[2]-1152*X*Y[2]^2+128*Y[2]^3+27)^(1/2))+9/2)^(1/3)))^(1/2))-31.4488967305067*evalf((-27.4731418212799*(4.57885697021332*Y[2]-13.7365709106400*X-evalf((.866025403784440*evalf((-3456*X^3+3456*X^2*Y[2]-1152*X*Y[2]^2+128*Y[2]^3+27)^(1/2))+9/2)^(2/3)))*evalf(1/(.866025403784440*evalf((-3456*X^3+3456*X^2*Y[2]-1152*X*Y[2]^2+128*Y[2]^3+27)^(1/2))+9/2)^(1/3)))^(1/2))*X-2.28942848510666*evalf((.866025403784440*evalf((-3456*X^3+3456*X^2*Y[2]-1152*X*Y[2]^2+128*Y[2]^3+27)^(1/2))+9/2)^(2/3))*evalf((-27.4731418212799*(4.57885697021332*Y[2]-13.7365709106400*X-evalf((.866025403784440*evalf((-3456*X^3+3456*X^2*Y[2]-1152*X*Y[2]^2+128*Y[2]^3+27)^(1/2))+9/2)^(2/3)))*evalf(1/(.866025403784440*evalf((-3456*X^3+3456*X^2*Y[2]-1152*X*Y[2]^2+128*Y[2]^3+27)^(1/2))+9/2)^(1/3)))^(1/2))+72*evalf((.866025403784440*evalf((-3456*X^3+3456*X^2*Y[2]-1152*X*Y[2]^2+128*Y[2]^3+27)^(1/2))+9/2)^(1/3)))*evalf(1/(.866025403784440*evalf((-3456*X^3+3456*X^2*Y[2]-1152*X*Y[2]^2+128*Y[2]^3+27)^(1/2))+9/2)^(1/3))*evalf(1/(-27.4731418212799*(4.57885697021332*Y[2]-13.7365709106400*X-evalf((.866025403784440*evalf((-3456*X^3+3456*X^2*Y[2]-1152*X*Y[2]^2+128*Y[2]^3+27)^(1/2))+9/2)^(2/3)))*evalf(1/(.866025403784440*evalf((-3456*X^3+3456*X^2*Y[2]-1152*X*Y[2]^2+128*Y[2]^3+27)^(1/2))+9/2)^(1/3)))^(1/2)) < 0 then YP[1] := undefined; return 0 end if; YP[1] := -(1/12)*evalf((-27.4731418212799*(4.57885697021332*Y[2]-13.7365709106400*X-evalf((.866025403784440*evalf((-3456*X^3+3456*X^2*Y[2]-1152*X*Y[2]^2+128*Y[2]^3+27)^(1/2))+9/2)^(2/3)))*evalf(1/(.866025403784440*evalf((-3456*X^3+3456*X^2*Y[2]-1152*X*Y[2]^2+128*Y[2]^3+27)^(1/2))+9/2)^(1/3)))^(1/2))+.288675134594814*evalf(((10.4829655768356*Y[2]*evalf((-27.4731418212799*(4.57885697021332*Y[2]-13.7365709106400*X-evalf((.866025403784440*evalf((-3456*X^3+3456*X^2*Y[2]-1152*X*Y[2]^2+128*Y[2]^3+27)^(1/2))+9/2)^(2/3)))*evalf(1/(.866025403784440*evalf((-3456*X^3+3456*X^2*Y[2]-1152*X*Y[2]^2+128*Y[2]^3+27)^(1/2))+9/2)^(1/3)))^(1/2))-31.4488967305067*evalf((-27.4731418212799*(4.57885697021332*Y[2]-13.7365709106400*X-evalf((.866025403784440*evalf((-3456*X^3+3456*X^2*Y[2]-1152*X*Y[2]^2+128*Y[2]^3+27)^(1/2))+9/2)^(2/3)))*evalf(1/(.866025403784440*evalf((-3456*X^3+3456*X^2*Y[2]-1152*X*Y[2]^2+128*Y[2]^3+27)^(1/2))+9/2)^(1/3)))^(1/2))*X-2.28942848510666*evalf((.866025403784440*evalf((-3456*X^3+3456*X^2*Y[2]-1152*X*Y[2]^2+128*Y[2]^3+27)^(1/2))+9/2)^(2/3))*evalf((-27.4731418212799*(4.57885697021332*Y[2]-13.7365709106400*X-evalf((.866025403784440*evalf((-3456*X^3+3456*X^2*Y[2]-1152*X*Y[2]^2+128*Y[2]^3+27)^(1/2))+9/2)^(2/3)))*evalf(1/(.866025403784440*evalf((-3456*X^3+3456*X^2*Y[2]-1152*X*Y[2]^2+128*Y[2]^3+27)^(1/2))+9/2)^(1/3)))^(1/2))+72*evalf((.866025403784440*evalf((-3456*X^3+3456*X^2*Y[2]-1152*X*Y[2]^2+128*Y[2]^3+27)^(1/2))+9/2)^(1/3)))*evalf(1/(.866025403784440*evalf((-3456*X^3+3456*X^2*Y[2]-1152*X*Y[2]^2+128*Y[2]^3+27)^(1/2))+9/2)^(1/3))*evalf(1/(-27.4731418212799*(4.57885697021332*Y[2]-13.7365709106400*X-evalf((.866025403784440*evalf((-3456*X^3+3456*X^2*Y[2]-1152*X*Y[2]^2+128*Y[2]^3+27)^(1/2))+9/2)^(2/3)))*evalf(1/(.866025403784440*evalf((-3456*X^3+3456*X^2*Y[2]-1152*X*Y[2]^2+128*Y[2]^3+27)^(1/2))+9/2)^(1/3)))^(1/2)))^(1/2)); 0 end proc, -1, 0, 0, 0, 0, 0, 0]), ( 13 ) = (), ( 12 ) = (), ( 15 ) = ("rkf45"), ( 14 ) = ([0, 0]), ( 18 ) = ([]), ( 19 ) = (0), ( 16 ) = ([0, 0, 0, []]), ( 17 ) = ([proc (N, X, Y, YP) option `[Y[1] = u(y)]`; if -3456*X^3+3456*X^2*Y[2]-1152*X*Y[2]^2+128*Y[2]^3 < -27 then YP[1] := undefined; return 0 end if; if .866025403784440*evalf((-3456*X^3+3456*X^2*Y[2]-1152*X*Y[2]^2+128*Y[2]^3+27)^(1/2)) < -9/2 then YP[1] := undefined; return 0 end if; if .866025403784440*evalf((-3456*X^3+3456*X^2*Y[2]-1152*X*Y[2]^2+128*Y[2]^3+27)^(1/2)) < -9/2 then YP[1] := undefined; return 0 end if; if .866025403784440*evalf((-3456*X^3+3456*X^2*Y[2]-1152*X*Y[2]^2+128*Y[2]^3+27)^(1/2)) < -9/2 then YP[1] := undefined; return 0 end if; if -27.4731418212799*(4.57885697021332*Y[2]-13.7365709106400*X-evalf((.866025403784440*evalf((-3456*X^3+3456*X^2*Y[2]-1152*X*Y[2]^2+128*Y[2]^3+27)^(1/2))+9/2)^(2/3)))*evalf(1/(.866025403784440*evalf((-3456*X^3+3456*X^2*Y[2]-1152*X*Y[2]^2+128*Y[2]^3+27)^(1/2))+9/2)^(1/3)) < 0 then YP[1] := undefined; return 0 end if; if -27.4731418212799*(4.57885697021332*Y[2]-13.7365709106400*X-evalf((.866025403784440*evalf((-3456*X^3+3456*X^2*Y[2]-1152*X*Y[2]^2+128*Y[2]^3+27)^(1/2))+9/2)^(2/3)))*evalf(1/(.866025403784440*evalf((-3456*X^3+3456*X^2*Y[2]-1152*X*Y[2]^2+128*Y[2]^3+27)^(1/2))+9/2)^(1/3)) < 0 then YP[1] := undefined; return 0 end if; if (10.4829655768356*Y[2]*evalf((-27.4731418212799*(4.57885697021332*Y[2]-13.7365709106400*X-evalf((.866025403784440*evalf((-3456*X^3+3456*X^2*Y[2]-1152*X*Y[2]^2+128*Y[2]^3+27)^(1/2))+9/2)^(2/3)))*evalf(1/(.866025403784440*evalf((-3456*X^3+3456*X^2*Y[2]-1152*X*Y[2]^2+128*Y[2]^3+27)^(1/2))+9/2)^(1/3)))^(1/2))-31.4488967305067*evalf((-27.4731418212799*(4.57885697021332*Y[2]-13.7365709106400*X-evalf((.866025403784440*evalf((-3456*X^3+3456*X^2*Y[2]-1152*X*Y[2]^2+128*Y[2]^3+27)^(1/2))+9/2)^(2/3)))*evalf(1/(.866025403784440*evalf((-3456*X^3+3456*X^2*Y[2]-1152*X*Y[2]^2+128*Y[2]^3+27)^(1/2))+9/2)^(1/3)))^(1/2))*X-2.28942848510666*evalf((.866025403784440*evalf((-3456*X^3+3456*X^2*Y[2]-1152*X*Y[2]^2+128*Y[2]^3+27)^(1/2))+9/2)^(2/3))*evalf((-27.4731418212799*(4.57885697021332*Y[2]-13.7365709106400*X-evalf((.866025403784440*evalf((-3456*X^3+3456*X^2*Y[2]-1152*X*Y[2]^2+128*Y[2]^3+27)^(1/2))+9/2)^(2/3)))*evalf(1/(.866025403784440*evalf((-3456*X^3+3456*X^2*Y[2]-1152*X*Y[2]^2+128*Y[2]^3+27)^(1/2))+9/2)^(1/3)))^(1/2))+72*evalf((.866025403784440*evalf((-3456*X^3+3456*X^2*Y[2]-1152*X*Y[2]^2+128*Y[2]^3+27)^(1/2))+9/2)^(1/3)))*evalf(1/(.866025403784440*evalf((-3456*X^3+3456*X^2*Y[2]-1152*X*Y[2]^2+128*Y[2]^3+27)^(1/2))+9/2)^(1/3))*evalf(1/(-27.4731418212799*(4.57885697021332*Y[2]-13.7365709106400*X-evalf((.866025403784440*evalf((-3456*X^3+3456*X^2*Y[2]-1152*X*Y[2]^2+128*Y[2]^3+27)^(1/2))+9/2)^(2/3)))*evalf(1/(.866025403784440*evalf((-3456*X^3+3456*X^2*Y[2]-1152*X*Y[2]^2+128*Y[2]^3+27)^(1/2))+9/2)^(1/3)))^(1/2)) < 0 then YP[1] := undefined; return 0 end if; YP[1] := -(1/12)*evalf((-27.4731418212799*(4.57885697021332*Y[2]-13.7365709106400*X-evalf((.866025403784440*evalf((-3456*X^3+3456*X^2*Y[2]-1152*X*Y[2]^2+128*Y[2]^3+27)^(1/2))+9/2)^(2/3)))*evalf(1/(.866025403784440*evalf((-3456*X^3+3456*X^2*Y[2]-1152*X*Y[2]^2+128*Y[2]^3+27)^(1/2))+9/2)^(1/3)))^(1/2))+.288675134594814*evalf(((10.4829655768356*Y[2]*evalf((-27.4731418212799*(4.57885697021332*Y[2]-13.7365709106400*X-evalf((.866025403784440*evalf((-3456*X^3+3456*X^2*Y[2]-1152*X*Y[2]^2+128*Y[2]^3+27)^(1/2))+9/2)^(2/3)))*evalf(1/(.866025403784440*evalf((-3456*X^3+3456*X^2*Y[2]-1152*X*Y[2]^2+128*Y[2]^3+27)^(1/2))+9/2)^(1/3)))^(1/2))-31.4488967305067*evalf((-27.4731418212799*(4.57885697021332*Y[2]-13.7365709106400*X-evalf((.866025403784440*evalf((-3456*X^3+3456*X^2*Y[2]-1152*X*Y[2]^2+128*Y[2]^3+27)^(1/2))+9/2)^(2/3)))*evalf(1/(.866025403784440*evalf((-3456*X^3+3456*X^2*Y[2]-1152*X*Y[2]^2+128*Y[2]^3+27)^(1/2))+9/2)^(1/3)))^(1/2))*X-2.28942848510666*evalf((.866025403784440*evalf((-3456*X^3+3456*X^2*Y[2]-1152*X*Y[2]^2+128*Y[2]^3+27)^(1/2))+9/2)^(2/3))*evalf((-27.4731418212799*(4.57885697021332*Y[2]-13.7365709106400*X-evalf((.866025403784440*evalf((-3456*X^3+3456*X^2*Y[2]-1152*X*Y[2]^2+128*Y[2]^3+27)^(1/2))+9/2)^(2/3)))*evalf(1/(.866025403784440*evalf((-3456*X^3+3456*X^2*Y[2]-1152*X*Y[2]^2+128*Y[2]^3+27)^(1/2))+9/2)^(1/3)))^(1/2))+72*evalf((.866025403784440*evalf((-3456*X^3+3456*X^2*Y[2]-1152*X*Y[2]^2+128*Y[2]^3+27)^(1/2))+9/2)^(1/3)))*evalf(1/(.866025403784440*evalf((-3456*X^3+3456*X^2*Y[2]-1152*X*Y[2]^2+128*Y[2]^3+27)^(1/2))+9/2)^(1/3))*evalf(1/(-27.4731418212799*(4.57885697021332*Y[2]-13.7365709106400*X-evalf((.866025403784440*evalf((-3456*X^3+3456*X^2*Y[2]-1152*X*Y[2]^2+128*Y[2]^3+27)^(1/2))+9/2)^(2/3)))*evalf(1/(.866025403784440*evalf((-3456*X^3+3456*X^2*Y[2]-1152*X*Y[2]^2+128*Y[2]^3+27)^(1/2))+9/2)^(1/3)))^(1/2)))^(1/2)); 0 end proc, -1, 0, 0, 0, 0, 0, 0]), ( 22 ) = (0), ( 23 ) = (0), ( 20 ) = ([]), ( 21 ) = (0), ( 24 ) = (0)  ] ))  ] ); _y0 := Array(0..2, {(1) = -1., (2) = 1.}); _vmap := array( 1 .. 1, [( 1 ) = (1)  ] ); _x0 := _dtbl[1][5][5]; _n := _dtbl[1][4][1]; _ne := _dtbl[1][4][3]; _nd := _dtbl[1][4][4]; _nv := _dtbl[1][4][16]; if not type(_xout, 'numeric') then if member(_xout, ["start", "left", "right"]) then if _Env_smart_dsolve_numeric = true or _dtbl[1][4][10] = 1 then if _xout = "left" then if type(_dtbl[2], 'table') then return _dtbl[2][5][1] end if elif _xout = "right" then if type(_dtbl[3], 'table') then return _dtbl[3][5][1] end if end if end if; return _dtbl[1][5][5] elif _xout = "method" then return _dtbl[1][15] elif _xout = "storage" then return evalb(_dtbl[1][4][10] = 1) elif _xout = "leftdata" then if not type(_dtbl[2], 'array') then return NULL else return eval(_dtbl[2]) end if elif _xout = "rightdata" then if not type(_dtbl[3], 'array') then return NULL else return eval(_dtbl[3]) end if elif _xout = "enginedata" then return eval(_dtbl[1]) elif _xout = "enginereset" then _dtbl[2] := evaln(_dtbl[2]); _dtbl[3] := evaln(_dtbl[3]); return NULL elif _xout = "initial" then return procname(_y0[0]) elif _xout = "laxtol" then return _dtbl[`if`(member(_dtbl[4], {2, 3}), _dtbl[4], 1)][5][18] elif _xout = "numfun" then return `if`(member(_dtbl[4], {2, 3}), _dtbl[_dtbl[4]][4][18], 0) elif _xout = "parameters" then return [seq(_y0[_n+_i], _i = 1 .. nops(_pars))] elif _xout = "initial_and_parameters" then return procname(_y0[0]), [seq(_y0[_n+_i], _i = 1 .. nops(_pars))] elif _xout = "last" then if _dtbl[4] <> 2 and _dtbl[4] <> 3 or _x0-_dtbl[_dtbl[4]][5][1] = 0. then error "no information is available on last computed point" else _xout := _dtbl[_dtbl[4]][5][1] end if elif _xout = "function" then if _dtbl[1][4][33]-2. = 0 then return eval(_dtbl[1][10], 1) else return eval(_dtbl[1][10][1], 1) end if elif _xout = "map" then return copy(_vmap) elif type(_xin, `=`) and type(rhs(_xin), 'list') and member(lhs(_xin), {"initial", "parameters", "initial_and_parameters"}) then _ini, _par := [], []; if lhs(_xin) = "initial" then _ini := rhs(_xin) elif lhs(_xin) = "parameters" then _par := rhs(_xin) elif select(type, rhs(_xin), `=`) <> [] then _par, _ini := selectremove(type, rhs(_xin), `=`) elif nops(rhs(_xin)) < nops(_pars)+1 then error "insufficient data for specification of initial and parameters" else _par := rhs(_xin)[-nops(_pars) .. -1]; _ini := rhs(_xin)[1 .. -nops(_pars)-1] end if; _xout := lhs(_xout); if _par <> [] then `dsolve/numeric/process_parameters`(_n, _pars, _par, _y0) end if; if _ini <> [] then `dsolve/numeric/process_initial`(_n-_ne, _ini, _y0, _pars, _vmap) end if; `dsolve/numeric/SC/reinitialize`(_dtbl, _y0, _n, procname, _pars); if _Env_smart_dsolve_numeric = true and type(_y0[0], 'numeric') and _dtbl[1][4][10] <> 1 then procname("right") := _y0[0]; procname("left") := _y0[0] end if; if _xout = "initial" then return [_y0[0], seq(_y0[_vmap[_i]], _i = 1 .. _n-_ne)] elif _xout = "parameters" then return [seq(_y0[_n+_i], _i = 1 .. nops(_pars))] else return [_y0[0], seq(_y0[_vmap[_i]], _i = 1 .. _n-_ne)], [seq(_y0[_n+_i], _i = 1 .. nops(_pars))] end if elif _xin = "eventstop" then if _nv = 0 then error "this solution has no events" end if; _i := _dtbl[4]; if _i <> 2 and _i <> 3 then return 0 end if; if _dtbl[_i][4][10] = 1 and assigned(_dtbl[5-_i]) and _dtbl[_i][4][9] < 100 and 100 <= _dtbl[5-_i][4][9] then _i := 5-_i; _dtbl[4] := _i; _j := round(_dtbl[_i][4][17]); return round(_dtbl[_i][3][1][_j, 1]) elif 100 <= _dtbl[_i][4][9] then _j := round(_dtbl[_i][4][17]); return round(_dtbl[_i][3][1][_j, 1]) else return 0 end if elif _xin = "eventstatus" then if _nv = 0 then error "this solution has no events" end if; _i := [selectremove(proc (a) options operator, arrow; _dtbl[1][3][1][a, 7] = 1 end proc, {seq(_j, _j = 1 .. round(_dtbl[1][3][1][_nv+1, 1]))})]; return ':-enabled' = _i[1], ':-disabled' = _i[2] elif _xin = "eventclear" then if _nv = 0 then error "this solution has no events" end if; _i := _dtbl[4]; if _i <> 2 and _i <> 3 then error "no events to clear" end if; if _dtbl[_i][4][10] = 1 and assigned(_dtbl[5-_i]) and _dtbl[_i][4][9] < 100 and 100 < _dtbl[5-_i][4][9] then _dtbl[4] := 5-_i; _i := 5-_i end if; if _dtbl[_i][4][9] < 100 then error "no events to clear" elif _nv < _dtbl[_i][4][9]-100 then error "event error condition cannot be cleared" else _j := _dtbl[_i][4][9]-100; if irem(round(_dtbl[_i][3][1][_j, 4]), 2) = 1 then error "retriggerable events cannot be cleared" end if; _j := round(_dtbl[_i][3][1][_j, 1]); for _k to _nv do if _dtbl[_i][3][1][_k, 1] = _j then if _dtbl[_i][3][1][_k, 2] = 3 then error "range events cannot be cleared" end if; _dtbl[_i][3][1][_k, 8] := _dtbl[_i][3][1][_nv+1, 8] end if end do; _dtbl[_i][4][17] := 0; _dtbl[_i][4][9] := 0; if _dtbl[1][4][10] = 1 then if _i = 2 then try procname(procname("left")) catch:  end try else try procname(procname("right")) catch:  end try end if end if end if; return  elif type(_xin, `=`) and member(lhs(_xin), {"eventdisable", "eventenable"}) then if _nv = 0 then error "this solution has no events" end if; if type(rhs(_xin), {('list')('posint'), ('set')('posint')}) then _i := {op(rhs(_xin))} elif type(rhs(_xin), 'posint') then _i := {rhs(_xin)} else error "event identifiers must be integers in the range 1..%1", round(_dtbl[1][3][1][_nv+1, 1]) end if; if select(proc (a) options operator, arrow; _nv < a end proc, _i) <> {} then error "event identifiers must be integers in the range 1..%1", round(_dtbl[1][3][1][_nv+1, 1]) end if; _k := {}; for _j to _nv do if member(round(_dtbl[1][3][1][_j, 1]), _i) then _k := `union`(_k, {_j}) end if end do; _i := _k; if lhs(_xin) = "eventdisable" then _dtbl[4] := 0; _j := [evalb(assigned(_dtbl[2]) and member(_dtbl[2][4][17], _i)), evalb(assigned(_dtbl[3]) and member(_dtbl[3][4][17], _i))]; for _k in _i do _dtbl[1][3][1][_k, 7] := 0; if assigned(_dtbl[2]) then _dtbl[2][3][1][_k, 7] := 0 end if; if assigned(_dtbl[3]) then _dtbl[3][3][1][_k, 7] := 0 end if end do; if _j[1] then for _k to _nv+1 do if _k <= _nv and not type(_dtbl[2][3][4][_k, 1], 'undefined') then userinfo(3, {'events', 'eventreset'}, `reinit #2, event code `, _k, ` to defined init `, _dtbl[2][3][4][_k, 1]); _dtbl[2][3][1][_k, 8] := _dtbl[2][3][4][_k, 1] elif _dtbl[2][3][1][_k, 2] = 0 and irem(iquo(round(_dtbl[2][3][1][_k, 4]), 32), 2) = 1 then userinfo(3, {'events', 'eventreset'}, `reinit #2, event code `, _k, ` to rate hysteresis init `, _dtbl[2][5][24]); _dtbl[2][3][1][_k, 8] := _dtbl[2][5][24] elif _dtbl[2][3][1][_k, 2] = 0 and irem(iquo(round(_dtbl[2][3][1][_k, 4]), 2), 2) = 0 then userinfo(3, {'events', 'eventreset'}, `reinit #2, event code `, _k, ` to initial init `, _x0); _dtbl[2][3][1][_k, 8] := _x0 else userinfo(3, {'events', 'eventreset'}, `reinit #2, event code `, _k, ` to fireinitial init `, _x0-1); _dtbl[2][3][1][_k, 8] := _x0-1 end if end do; _dtbl[2][4][17] := 0; _dtbl[2][4][9] := 0; if _dtbl[1][4][10] = 1 then procname(procname("left")) end if end if; if _j[2] then for _k to _nv+1 do if _k <= _nv and not type(_dtbl[3][3][4][_k, 2], 'undefined') then userinfo(3, {'events', 'eventreset'}, `reinit #3, event code `, _k, ` to defined init `, _dtbl[3][3][4][_k, 2]); _dtbl[3][3][1][_k, 8] := _dtbl[3][3][4][_k, 2] elif _dtbl[3][3][1][_k, 2] = 0 and irem(iquo(round(_dtbl[3][3][1][_k, 4]), 32), 2) = 1 then userinfo(3, {'events', 'eventreset'}, `reinit #3, event code `, _k, ` to rate hysteresis init `, _dtbl[3][5][24]); _dtbl[3][3][1][_k, 8] := _dtbl[3][5][24] elif _dtbl[3][3][1][_k, 2] = 0 and irem(iquo(round(_dtbl[3][3][1][_k, 4]), 2), 2) = 0 then userinfo(3, {'events', 'eventreset'}, `reinit #3, event code `, _k, ` to initial init `, _x0); _dtbl[3][3][1][_k, 8] := _x0 else userinfo(3, {'events', 'eventreset'}, `reinit #3, event code `, _k, ` to fireinitial init `, _x0+1); _dtbl[3][3][1][_k, 8] := _x0+1 end if end do; _dtbl[3][4][17] := 0; _dtbl[3][4][9] := 0; if _dtbl[1][4][10] = 1 then procname(procname("right")) end if end if else for _k in _i do _dtbl[1][3][1][_k, 7] := 1 end do; _dtbl[2] := evaln(_dtbl[2]); _dtbl[3] := evaln(_dtbl[3]); _dtbl[4] := 0; if _dtbl[1][4][10] = 1 then if _x0 <= procname("right") then try procname(procname("right")) catch:  end try end if; if procname("left") <= _x0 then try procname(procname("left")) catch:  end try end if end if end if; return  elif type(_xin, `=`) and lhs(_xin) = "eventfired" then if not type(rhs(_xin), 'list') then error "'eventfired' must be specified as a list" end if; if _nv = 0 then error "this solution has no events" end if; if _dtbl[4] <> 2 and _dtbl[4] <> 3 then error "'direction' must be set prior to calling/setting 'eventfired'" end if; _i := _dtbl[4]; _val := NULL; if not assigned(_EnvEventRetriggerWarned) then _EnvEventRetriggerWarned := false end if; for _k in rhs(_xin) do if type(_k, 'integer') then _src := _k elif type(_k, 'integer' = 'anything') and type(evalf(rhs(_k)), 'numeric') then _k := lhs(_k) = evalf[max(Digits, 18)](rhs(_k)); _src := lhs(_k) else error "'eventfired' entry is not valid: %1", _k end if; if _src < 1 or round(_dtbl[1][3][1][_nv+1, 1]) < _src then error "event identifiers must be integers in the range 1..%1", round(_dtbl[1][3][1][_nv+1, 1]) end if; _src := {seq(`if`(_dtbl[1][3][1][_j, 1]-_src = 0., _j, NULL), _j = 1 .. _nv)}; if nops(_src) <> 1 then error "'eventfired' can only be set/queried for root-finding events and time/interval events" end if; _src := _src[1]; if _dtbl[1][3][1][_src, 2] <> 0. and _dtbl[1][3][1][_src, 2]-2. <> 0. then error "'eventfired' can only be set/queried for root-finding events and time/interval events" elif irem(round(_dtbl[1][3][1][_src, 4]), 2) = 1 then if _EnvEventRetriggerWarned = false then WARNING(`'eventfired' has no effect on events that retrigger`) end if; _EnvEventRetriggerWarned := true end if; if _dtbl[_i][3][1][_src, 2] = 0 and irem(iquo(round(_dtbl[_i][3][1][_src, 4]), 32), 2) = 1 then _val := _val, undefined elif type(_dtbl[_i][3][4][_src, _i-1], 'undefined') or _i = 2 and _dtbl[2][3][1][_src, 8] < _dtbl[2][3][4][_src, 1] or _i = 3 and _dtbl[3][3][4][_src, 2] < _dtbl[3][3][1][_src, 8] then _val := _val, _dtbl[_i][3][1][_src, 8] else _val := _val, _dtbl[_i][3][4][_src, _i-1] end if; if type(_k, `=`) then if _dtbl[_i][3][1][_src, 2] = 0 and irem(iquo(round(_dtbl[_i][3][1][_src, 4]), 32), 2) = 1 then error "cannot set event code for a rate hysteresis event" end if; userinfo(3, {'events', 'eventreset'}, `manual set event code `, _src, ` to value `, rhs(_k)); _dtbl[_i][3][1][_src, 8] := rhs(_k); _dtbl[_i][3][4][_src, _i-1] := rhs(_k) end if end do; return [_val] elif type(_xin, `=`) and lhs(_xin) = "direction" then if not member(rhs(_xin), {-1, 1, ':-left', ':-right'}) then error "'direction' must be specified as either '1' or 'right' (positive) or '-1' or 'left' (negative)" end if; _src := `if`(_dtbl[4] = 2, -1, `if`(_dtbl[4] = 3, 1, undefined)); _i := `if`(member(rhs(_xin), {1, ':-right'}), 3, 2); _dtbl[4] := _i; _dtbl[_i] := `dsolve/numeric/SC/IVPdcopy`(_dtbl[1], `if`(assigned(_dtbl[_i]), _dtbl[_i], NULL)); if 0 < _nv then for _j to _nv+1 do if _j <= _nv and not type(_dtbl[_i][3][4][_j, _i-1], 'undefined') then userinfo(3, {'events', 'eventreset'}, `reinit #4, event code `, _j, ` to defined init `, _dtbl[_i][3][4][_j, _i-1]); _dtbl[_i][3][1][_j, 8] := _dtbl[_i][3][4][_j, _i-1] elif _dtbl[_i][3][1][_j, 2] = 0 and irem(iquo(round(_dtbl[_i][3][1][_j, 4]), 32), 2) = 1 then userinfo(3, {'events', 'eventreset'}, `reinit #4, event code `, _j, ` to rate hysteresis init `, _dtbl[_i][5][24]); _dtbl[_i][3][1][_j, 8] := _dtbl[_i][5][24] elif _dtbl[_i][3][1][_j, 2] = 0 and irem(iquo(round(_dtbl[_i][3][1][_j, 4]), 2), 2) = 0 then userinfo(3, {'events', 'eventreset'}, `reinit #4, event code `, _j, ` to initial init `, _x0); _dtbl[_i][3][1][_j, 8] := _x0 else userinfo(3, {'events', 'eventreset'}, `reinit #4, event code `, _j, ` to fireinitial init `, _x0-2*_i+5.0); _dtbl[_i][3][1][_j, 8] := _x0-2*_i+5.0 end if end do end if; return _src elif _xin = "eventcount" then if _dtbl[1][3][1] = 0 or _dtbl[4] <> 2 and _dtbl[4] <> 3 then return 0 else return round(_dtbl[_dtbl[4]][3][1][_nv+1, 12]) end if else return "procname" end if end if; if _xout = _x0 then return [_x0, seq(evalf(_dtbl[1][6][_vmap[_i]]), _i = 1 .. _n-_ne)] end if; _i := `if`(_x0 <= _xout, 3, 2); if _xin = "last" and 0 < _dtbl[_i][4][9] and _dtbl[_i][4][9] < 100 then _dat := eval(_dtbl[_i], 2); _j := _dat[4][20]; return [_dat[11][_j, 0], seq(_dat[11][_j, _vmap[_i]], _i = 1 .. _n-_ne-_nd), seq(_dat[8][1][_vmap[_i]], _i = _n-_ne-_nd+1 .. _n-_ne)] end if; if not type(_dtbl[_i], 'array') then _dtbl[_i] := `dsolve/numeric/SC/IVPdcopy`(_dtbl[1], `if`(assigned(_dtbl[_i]), _dtbl[_i], NULL)); if 0 < _nv then for _j to _nv+1 do if _j <= _nv and not type(_dtbl[_i][3][4][_j, _i-1], 'undefined') then userinfo(3, {'events', 'eventreset'}, `reinit #5, event code `, _j, ` to defined init `, _dtbl[_i][3][4][_j, _i-1]); _dtbl[_i][3][1][_j, 8] := _dtbl[_i][3][4][_j, _i-1] elif _dtbl[_i][3][1][_j, 2] = 0 and irem(iquo(round(_dtbl[_i][3][1][_j, 4]), 32), 2) = 1 then userinfo(3, {'events', 'eventreset'}, `reinit #5, event code `, _j, ` to rate hysteresis init `, _dtbl[_i][5][24]); _dtbl[_i][3][1][_j, 8] := _dtbl[_i][5][24] elif _dtbl[_i][3][1][_j, 2] = 0 and irem(iquo(round(_dtbl[_i][3][1][_j, 4]), 2), 2) = 0 then userinfo(3, {'events', 'eventreset'}, `reinit #5, event code `, _j, ` to initial init `, _x0); _dtbl[_i][3][1][_j, 8] := _x0 else userinfo(3, {'events', 'eventreset'}, `reinit #5, event code `, _j, ` to fireinitial init `, _x0-2*_i+5.0); _dtbl[_i][3][1][_j, 8] := _x0-2*_i+5.0 end if end do end if end if; if _xin <> "last" then if 0 < 0 then if `dsolve/numeric/checkglobals`(op(_dtbl[1][14]), _pars, _n, _y0) then `dsolve/numeric/SC/reinitialize`(_dtbl, _y0, _n, procname, _pars, _i) end if end if; if _dtbl[1][4][7] = 0 then error "parameters must be initialized before solution can be computed" end if end if; _dat := eval(_dtbl[_i], 2); _dtbl[4] := _i; try _src := `dsolve/numeric/SC/IVPrun`(_dat, _xout) catch: userinfo(2, `dsolve/debug`, print(`Exception in solnproc:`, [lastexception][2 .. -1])); error  end try; if _src = 0 and 100 < _dat[4][9] then _val := _dat[3][1][_nv+1, 8] else _val := _dat[11][_dat[4][20], 0] end if; if _src <> 0 or _dat[4][9] <= 0 then _dtbl[1][5][1] := _xout else _dtbl[1][5][1] := _val end if; if _i = 3 and _val < _xout then Rounding := -infinity; if _dat[4][9] = 1 then error "cannot evaluate the solution further right of %1, probably a singularity", evalf[8](_val) elif _dat[4][9] = 2 then error "cannot evaluate the solution further right of %1, maxfun limit exceeded (see ?dsolve,maxfun for details)", evalf[8](_val) elif _dat[4][9] = 3 then if _dat[4][25] = 3 then error "cannot evaluate the solution past the initial point, problem may be initially singular or improperly set up" else error "cannot evaluate the solution past the initial point, problem may be complex, initially singular or improperly set up" end if elif _dat[4][9] = 4 then error "cannot evaluate the solution further right of %1, accuracy goal cannot be achieved with specified 'minstep'", evalf[8](_val) elif _dat[4][9] = 5 then error "cannot evaluate the solution further right of %1, too many step failures, tolerances may be too loose for problem", evalf[8](_val) elif _dat[4][9] = 6 then error "cannot evaluate the solution further right of %1, cannot downgrade delay storage for problems with delay derivative order > 1, try increasing delaypts", evalf[8](_val) elif _dat[4][9] = 10 then error "cannot evaluate the solution further right of %1, interrupt requested", evalf[8](_val) elif 100 < _dat[4][9] then if _dat[4][9]-100 = _nv+1 then error "constraint projection failure on event at t=%1", evalf[8](_val) elif _dat[4][9]-100 = _nv+2 then error "index-1 and derivative evaluation failure on event at t=%1", evalf[8](_val) elif _dat[4][9]-100 = _nv+3 then error "maximum number of event iterations reached (%1) at t=%2", round(_dat[3][1][_nv+1, 3]), evalf[8](_val) else if _Env_dsolve_nowarnstop <> true then `dsolve/numeric/warning`(StringTools:-FormatMessage("cannot evaluate the solution further right of %1, event #%2 triggered a halt", evalf[8](_val), round(_dat[3][1][_dat[4][9]-100, 1]))) end if; Rounding := 'nearest'; _xout := _val end if else error "cannot evaluate the solution further right of %1", evalf[8](_val) end if elif _i = 2 and _xout < _val then Rounding := infinity; if _dat[4][9] = 1 then error "cannot evaluate the solution further left of %1, probably a singularity", evalf[8](_val) elif _dat[4][9] = 2 then error "cannot evaluate the solution further left of %1, maxfun limit exceeded (see ?dsolve,maxfun for details)", evalf[8](_val) elif _dat[4][9] = 3 then if _dat[4][25] = 3 then error "cannot evaluate the solution past the initial point, problem may be initially singular or improperly set up" else error "cannot evaluate the solution past the initial point, problem may be complex, initially singular or improperly set up" end if elif _dat[4][9] = 4 then error "cannot evaluate the solution further left of %1, accuracy goal cannot be achieved with specified 'minstep'", evalf[8](_val) elif _dat[4][9] = 5 then error "cannot evaluate the solution further left of %1, too many step failures, tolerances may be too loose for problem", evalf[8](_val) elif _dat[4][9] = 6 then error "cannot evaluate the solution further left of %1, cannot downgrade delay storage for problems with delay derivative order > 1, try increasing delaypts", evalf[8](_val) elif _dat[4][9] = 10 then error "cannot evaluate the solution further right of %1, interrupt requested", evalf[8](_val) elif 100 < _dat[4][9] then if _dat[4][9]-100 = _nv+1 then error "constraint projection failure on event at t=%1", evalf[8](_val) elif _dat[4][9]-100 = _nv+2 then error "index-1 and derivative evaluation failure on event at t=%1", evalf[8](_val) elif _dat[4][9]-100 = _nv+3 then error "maximum number of event iterations reached (%1) at t=%2", round(_dat[3][1][_nv+1, 3]), evalf[8](_val) else if _Env_dsolve_nowarnstop <> true then `dsolve/numeric/warning`(StringTools:-FormatMessage("cannot evaluate the solution further left of %1, event #%2 triggered a halt", evalf[8](_val), round(_dat[3][1][_dat[4][9]-100, 1]))) end if; Rounding := 'nearest'; _xout := _val end if else error "cannot evaluate the solution further left of %1", evalf[8](_val) end if end if; if _EnvInFsolve = true then _dig := _dat[4][26]; _dat[4][26] := _EnvDSNumericSaveDigits; _Env_dsolve_SC_native := true; if _dat[4][25] = 1 then _i := 1; _dat[4][25] := 2 else _i := _dat[4][25] end if; _val := `dsolve/numeric/SC/IVPval`(_dat, _xout, _src); _dat[4][25] := _i; _dat[4][26] := _dig; [_xout, seq(_val[_vmap[_i]], _i = 1 .. _n-_ne)] else Digits := _dat[4][26]; _val := `dsolve/numeric/SC/IVPval`(eval(_dat, 2), _xout, _src); [_xout, seq(_val[_vmap[_i]], _i = 1 .. _n-_ne)] end if end proc, (2) = Array(0..0, {}), (3) = [y, u(y)], (4) = [C = C]}); _vars := _dat[3]; _pars := map(rhs, _dat[4]); _n := nops(_vars)-1; _solnproc := _dat[1]; if not type(_xout, 'numeric') then if member(x_rkf45, ["start", 'start', "method", 'method', "left", 'left', "right", 'right', "leftdata", "rightdata", "enginedata", "eventstop", 'eventstop', "eventclear", 'eventclear', "eventstatus", 'eventstatus', "eventcount", 'eventcount', "laxtol", 'laxtol', "numfun", 'numfun', NULL]) then _res := _solnproc(convert(x_rkf45, 'string')); if 1 < nops([_res]) then return _res elif type(_res, 'array') then return eval(_res, 1) elif _res <> "procname" then return _res end if elif member(x_rkf45, ["last", 'last', "initial", 'initial', "parameters", 'parameters', "initial_and_parameters", 'initial_and_parameters', NULL]) then _xout := convert(x_rkf45, 'string'); _res := _solnproc(_xout); if _xout = "parameters" then return [seq(_pars[_i] = _res[_i], _i = 1 .. nops(_pars))] elif _xout = "initial_and_parameters" then return [seq(_vars[_i+1] = [_res][1][_i+1], _i = 0 .. _n), seq(_pars[_i] = [_res][2][_i], _i = 1 .. nops(_pars))] else return [seq(_vars[_i+1] = _res[_i+1], _i = 0 .. _n)] end if elif type(_xout, `=`) and member(lhs(_xout), ["initial", 'initial', "parameters", 'parameters', "initial_and_parameters", 'initial_and_parameters', NULL]) then _xout := convert(lhs(x_rkf45), 'string') = rhs(x_rkf45); if type(rhs(_xout), 'list') then _res := _solnproc(_xout) else error "initial and/or parameter values must be specified in a list" end if; if lhs(_xout) = "initial" then return [seq(_vars[_i+1] = _res[_i+1], _i = 0 .. _n)] elif lhs(_xout) = "parameters" then return [seq(_pars[_i] = _res[_i], _i = 1 .. nops(_pars))] else return [seq(_vars[_i+1] = [_res][1][_i+1], _i = 0 .. _n), seq(_pars[_i] = [_res][2][_i], _i = 1 .. nops(_pars))] end if elif type(_xout, `=`) and member(lhs(_xout), ["eventdisable", 'eventdisable', "eventenable", 'eventenable', "eventfired", 'eventfired', "direction", 'direction', NULL]) then return _solnproc(convert(lhs(x_rkf45), 'string') = rhs(x_rkf45)) elif _xout = "solnprocedure" then return eval(_solnproc) elif _xout = "sysvars" then return _vars end if; if procname <> unknown then return ('procname')(x_rkf45) else _ndsol; _ndsol := pointto(_dat[2][0]); return ('_ndsol')(x_rkf45) end if end if; try _res := _solnproc(_xout); [seq(_vars[_i+1] = _res[_i+1], _i = 0 .. _n)] catch: error  end try end proc

 

2.5

 

HFloat(3.121002019164313)

 

false

(5)

 

Download Help_mmcdara.mw



Answer to your first question.
As the output exceeds 1000000 you can't display it if you use collect in a raw way.
So here is an indirect way to collect any components of the solution wrt to any random variables. 
I am not sure that the final expressions present any interest given their complexity, but that is my opinion and the decision is yours.
290423_Chi_version1_mmcdara.mw

Answer to your last question.
Here is a notional example

restart:

with(Statistics):

A__1 := RandomVariable(Normal(0, sigma__1));
A__2 := RandomVariable(Normal(0, sigma__2));

_R

 

_R0

(1)

RV := sigma__1 * rho__12 * A__1 + sigma__2 * sqrt(1-rho__12^2) * A__2 + nu__0

sigma__1*rho__12*_R+sigma__2*(-rho__12^2+1)^(1/2)*_R0+nu__0

(2)

# Observe that RV doesn't inherit of the type "RandomVariable"

type~([A__1, A__2, RV], RandomVariable);

[true, true, false]

(3)

# You don't whant this

expand(RV*(sigma__2 * rho__12 + nu__0));

sigma__1*rho__12^2*_R*sigma__2+sigma__1*rho__12*_R*nu__0+sigma__2^2*(-rho__12^2+1)^(1/2)*_R0*rho__12+sigma__2*(-rho__12^2+1)^(1/2)*_R0*nu__0+nu__0*sigma__2*rho__12+nu__0^2

(4)

# but this

Z := 'RV'*(sigma__2 * rho__12 + nu__0);
Z;

RV*(rho__12*sigma__2+nu__0)

 

(sigma__1*rho__12*_R+sigma__2*(-rho__12^2+1)^(1/2)*_R0+nu__0)*(rho__12*sigma__2+nu__0)

(5)

Z+1;

(sigma__1*rho__12*_R+sigma__2*(-rho__12^2+1)^(1/2)*_R0+nu__0)*(rho__12*sigma__2+nu__0)+1

(6)

f(Z);

f((sigma__1*rho__12*_R+sigma__2*(-rho__12^2+1)^(1/2)*_R0+nu__0)*(rho__12*sigma__2+nu__0))

(7)

 


 

Download Last_question.mw

A proposal to "extract" the coefficients of deAFTER n has been given a value.

UPDATED file.
Case one: n has a known numeric value (which corresponds to my initial answer and to the first part of the attached file).

Case two : n is kept formal to answer your reply "...but I need ODEs with n  by considering different power of beta like 0,1,2,3,4"

restart

de := diff(u__0(y), y, y) + beta*diff(u__1(y), y, y) + beta^2*diff(u__2(y), y, y) + n*beta*(diff(u__0(y), y) + beta*diff(u__1(y), y) + beta^2*diff(u__2(y), y))^(n - 1)*(diff(u__0(y), y, y) + beta*diff(u__1(y), y, y) + beta^2*diff(u__2(y), y, y)) - diff(p__0(x), x) - beta*diff(p__1(x), x) - beta^2*diff(p__2(x), x)

diff(diff(u__0(y), y), y)+beta*(diff(diff(u__1(y), y), y))+beta^2*(diff(diff(u__2(y), y), y))+n*beta*(diff(u__0(y), y)+beta*(diff(u__1(y), y))+beta^2*(diff(u__2(y), y)))^(n-1)*(diff(diff(u__0(y), y), y)+beta*(diff(diff(u__1(y), y), y))+beta^2*(diff(diff(u__2(y), y), y)))-(diff(p__0(x), x))-beta*(diff(p__1(x), x))-beta^2*(diff(p__2(x), x))

(1)

# This procedure returns a table whose indices are the powers of beta
# and the entries their coefficients when n is set to the value defined
# by the parameter of ExtractBeta.

ExtractBeta := proc(N)
  local c := coeffs(expand(eval(de, n=N)), beta, 'b');
  table([seq(b[i]=c[i], i=1..numelems([b]))])
end proc:

T := ExtractBeta(2)

table( [( 1 ) = diff(diff(u__0(y), y), y)-(diff(p__0(x), x)), ( beta^5 ) = 2*(diff(u__2(y), y))*(diff(diff(u__2(y), y), y)), ( beta^3 ) = 2*(diff(u__0(y), y))*(diff(diff(u__2(y), y), y))+2*(diff(u__1(y), y))*(diff(diff(u__1(y), y), y))+2*(diff(u__2(y), y))*(diff(diff(u__0(y), y), y)), ( beta ) = diff(diff(u__1(y), y), y)+2*(diff(u__0(y), y))*(diff(diff(u__0(y), y), y))-(diff(p__1(x), x)), ( beta^4 ) = 2*(diff(u__1(y), y))*(diff(diff(u__2(y), y), y))+2*(diff(u__2(y), y))*(diff(diff(u__1(y), y), y)), ( beta^2 ) = diff(diff(u__2(y), y), y)+2*(diff(u__0(y), y))*(diff(diff(u__1(y), y), y))+2*(diff(u__1(y), y))*(diff(diff(u__0(y), y), y))-(diff(p__2(x), x)) ] )

(2)


Without giving n a numeric value.

restart:

# Let A=beta and B=beta^2, and define f this way

f := (p+q*A+r*B)^n

(A*q+B*r+p)^n

(3)

# The multinomial coefficient of A^s*B^t (=beta^(s+2*t)) in the expansion of f
# has expression:


MultinomialCoeff := (n, s, t) -> n!/((n-s-t)!*s!*t!) * p^(n-s-t) * q^(s) * r^(t);

proc (n, s, t) options operator, arrow; factorial(n)*p^(n-s-t)*q^s*r^t/(factorial(n-s-t)*factorial(s)*factorial(t)) end proc

(4)

# The set of all couples couples (s, t) such that s+2*t has a given value u
# can be obtained using combinat:-composition.

st_set := proc(u)
  if   u >= 3 then map(x -> [x[1], x[2]/2], select((x -> x[2]::even), combinat:-composition(u, 2))):
  elif u =  2 then {[2, 0], [0, 1]}:
  elif u =  1 then {[1, 0]}:
  else      {[0, 0]}
  end if:
end proc:

# Examples

st_set(1);
st_set(2);
st_set(6);

{[1, 0]}

 

{[0, 1], [2, 0]}

 

{[2, 2], [4, 1]}

(5)

# Let u some positive integer.
# Compute the multinomial coefficient of beta^u in the expansion of f.

MultinomialCoeffBeta := proc(n, u)
  local MC, st_set:
  MC     := (n, s, t) -> n!/((n-s-t)!*s!*t!) * p^(n-s-t) * q^(s) * r^(t);
  st_set := proc(u)
    if   u >= 3 then map(x -> [x[1], x[2]/2], select((x -> x[2]::even), combinat:-composition(u, 2))):
    elif u =  2 then {[2, 0], [0, 1]}:
    elif u =  1 then {[1, 0]}:
    else      {[0, 0]}
    end if:
  end proc:
  add(MC(n, op(x)), x in st_set(u))
end proc:

# Examples

MultinomialCoeffBeta(n, 0);
MultinomialCoeffBeta(n, 1);
MultinomialCoeffBeta(n, 2);
MultinomialCoeffBeta(n, 6);

p^n

 

factorial(n)*p^(n-1)*q/factorial(n-1)

 

factorial(n)*p^(n-1)*r/factorial(n-1)+(1/2)*factorial(n)*p^(n-2)*q^2/factorial(n-2)

 

(1/4)*factorial(n)*p^(n-4)*q^2*r^2/factorial(n-4)+(1/24)*factorial(n)*p^(n-5)*q^4*r/factorial(n-5)

(6)

# Consider now the following expression:

g := (p+q*A+r*B)^n * (P+Q*A+R*B);

(A*q+B*r+p)^n*(A*Q+B*R+P)

(7)

# How to find the expression of beta^u in the expansion of g?
# Expanding g gives:

g := expand(g);

(A*q+B*r+p)^n*Q*A+(A*q+B*r+p)^n*R*B+(A*q+B*r+p)^n*P

(8)

# Then the coefficient of beta^u comes from three sources:
# source 1: this is MultinomialCoeffBeta(n, u) * P
# source 2: this is MultinomialCoeffBeta(n, u-1) * Q
# source 3: this is MultinomialCoeffBeta(n, u-2) * R

# Example

P*MultinomialCoeffBeta(n, 6) + Q*MultinomialCoeffBeta(n, 5) + R*MultinomialCoeffBeta(n, 4)

P*((1/4)*factorial(n)*p^(n-4)*q^2*r^2/factorial(n-4)+(1/24)*factorial(n)*p^(n-5)*q^4*r/factorial(n-5))+Q*((1/2)*factorial(n)*p^(n-3)*q*r^2/factorial(n-3)+(1/6)*factorial(n)*p^(n-4)*q^3*r/factorial(n-4))+(1/2)*R*factorial(n)*p^(n-3)*q^2*r/factorial(n-3)

(9)

simplify(%, size);

(1/4)*r*(factorial(n-5)*factorial(n-3)*q*(P*r+(2/3)*Q*q)*p^(n-4)+(1/6)*factorial(n-4)*(12*factorial(n-5)*(Q*r+R*q)*p^(n-3)+p^(n-5)*factorial(n-3)*P*q^3))*q*factorial(n)/(factorial(n-4)*factorial(n-5)*factorial(n-3))

(10)

# Your expression de is made of 3 terms:

Term_1 := diff(u__0(y), y, y) + beta*diff(u__1(y), y, y) + beta^2*diff(u__2(y), y, y);
Term_2 := n*beta*(diff(u__0(y), y) + beta*diff(u__1(y), y) + beta^2*diff(u__2(y), y))^(n - 1)*(diff(u__0(y), y, y) + beta*diff(u__1(y), y, y) + beta^2*diff(u__2(y), y, y));
Term_3 :=  - diff(p__0(x), x) - beta*diff(p__1(x), x) - beta^2*diff(p__2(x), x)

diff(diff(u__0(y), y), y)+beta*(diff(diff(u__1(y), y), y))+beta^2*(diff(diff(u__2(y), y), y))

 

n*beta*(diff(u__0(y), y)+beta*(diff(u__1(y), y))+beta^2*(diff(u__2(y), y)))^(n-1)*(diff(diff(u__0(y), y), y)+beta*(diff(diff(u__1(y), y), y))+beta^2*(diff(diff(u__2(y), y), y)))

 

-(diff(p__0(x), x))-beta*(diff(p__1(x), x))-beta^2*(diff(p__2(x), x))

(11)

# Applying the previous rules enables computing the coefficient of beta^u in Term_2:


Coeff_2 := proc(u)
  if u = 0 then
    0:
  elif u = 1 then
   n*P*MultinomialCoeffBeta(n-1, u-1):
  elif u = 2 then
   n*(P*MultinomialCoeffBeta(n-1, u-1) + Q*MultinomialCoeffBeta(n-1, u-2)):
  else
   n*(P*MultinomialCoeffBeta(n-1, u-1) + Q*MultinomialCoeffBeta(n-1, u-2) + R*MultinomialCoeffBeta(n-1, u-3)):
  end if:
end proc:

Coeff_2(0);
Coeff_2(1);
Coeff_2(2);
Coeff_2(6);

0

 

n*P*p^(n-1)

 

n*(P*factorial(n-1)*p^(n-2)*q/factorial(n-2)+Q*p^(n-1))

 

n*(P*((1/2)*factorial(n-1)*p^(n-4)*q*r^2/factorial(n-4)+(1/6)*factorial(n-1)*p^(n-5)*q^3*r/factorial(n-5))+(1/2)*Q*factorial(n-1)*p^(n-4)*q^2*r/factorial(n-4)+R*factorial(n-1)*p^(n-3)*q*r/factorial(n-3))

(12)

# Define the substitution rules

Equivalences := [p, q, r, P, Q, R] =~ [coeffs(op(1, op(-2, Term_2)), beta), coeffs(op(-1, Term_2), beta)]

[p = diff(u__0(y), y), q = diff(u__1(y), y), r = diff(u__2(y), y), P = diff(diff(u__0(y), y), y), Q = diff(diff(u__1(y), y), y), R = diff(diff(u__2(y), y), y)]

(13)

# And apply them to compute the "true" coefficient of betaû in Term_2
# Example 1

eval(Coeff_2(0), Equivalences);
print();
eval(Coeff_2(1), Equivalences);
print();
eval(Coeff_2(2), Equivalences);

0

 

 

n*(diff(diff(u__0(y), y), y))*(diff(u__0(y), y))^(n-1)

 

 

n*((diff(diff(u__0(y), y), y))*factorial(n-1)*(diff(u__0(y), y))^(n-2)*(diff(u__1(y), y))/factorial(n-2)+(diff(diff(u__1(y), y), y))*(diff(u__0(y), y))^(n-1))

(14)

# Example 2

eval(Coeff_2(6), Equivalences)

n*((diff(diff(u__0(y), y), y))*((1/2)*factorial(n-1)*(diff(u__0(y), y))^(n-4)*(diff(u__1(y), y))*(diff(u__2(y), y))^2/factorial(n-4)+(1/6)*factorial(n-1)*(diff(u__0(y), y))^(n-5)*(diff(u__1(y), y))^3*(diff(u__2(y), y))/factorial(n-5))+(1/2)*(diff(diff(u__1(y), y), y))*factorial(n-1)*(diff(u__0(y), y))^(n-4)*(diff(u__1(y), y))^2*(diff(u__2(y), y))/factorial(n-4)+(diff(diff(u__2(y), y), y))*factorial(n-1)*(diff(u__0(y), y))^(n-3)*(diff(u__1(y), y))*(diff(u__2(y), y))/factorial(n-3))

(15)

# For term_1, obviously:

Coeff_1 := proc(u)
  if u < 3 then coeffs(Term_1, beta)[u+1]
  else     0
  end if:
end proc:

# Examples

Coeff_1(0);
Coeff_1(1);
Coeff_1(2);
Coeff_1(3);

diff(diff(u__0(y), y), y)

 

diff(diff(u__1(y), y), y)

 

diff(diff(u__2(y), y), y)

 

0

(16)

# At last, for Term_3

Coeff_3 := proc(u)
  if u < 3 then coeffs(Term_3, beta)[u+1]
  else     0
  end if:
end proc:

# Examples

Coeff_3(0);
Coeff_3(1);
Coeff_3(2);
Coeff_3(3);

-(diff(p__0(x), x))

 

-(diff(p__1(x), x))

 

-(diff(p__2(x), x))

 

0

(17)

# It remains to aggregate these three partial results

Coeff_Beta := proc(u)
  Coeff_1(u) + eval(Coeff_2(u), Equivalences) + Coeff_3(u)
end proc:

# Examples

Coeff_Beta(0);
print():
Coeff_Beta(1);
print():
Coeff_Beta(2);
print():
Coeff_Beta(3);

diff(diff(u__0(y), y), y)-(diff(p__0(x), x))

 

 

diff(diff(u__1(y), y), y)+n*(diff(diff(u__0(y), y), y))*(diff(u__0(y), y))^(n-1)-(diff(p__1(x), x))

 

 

diff(diff(u__2(y), y), y)+n*((diff(diff(u__0(y), y), y))*factorial(n-1)*(diff(u__0(y), y))^(n-2)*(diff(u__1(y), y))/factorial(n-2)+(diff(diff(u__1(y), y), y))*(diff(u__0(y), y))^(n-1))-(diff(p__2(x), x))

 

 

n*((diff(diff(u__0(y), y), y))*(factorial(n-1)*(diff(u__0(y), y))^(n-2)*(diff(u__2(y), y))/factorial(n-2)+(1/2)*factorial(n-1)*(diff(u__0(y), y))^(n-3)*(diff(u__1(y), y))^2/factorial(n-3))+(diff(diff(u__1(y), y), y))*factorial(n-1)*(diff(u__0(y), y))^(n-2)*(diff(u__1(y), y))/factorial(n-2)+(diff(diff(u__2(y), y), y))*(diff(u__0(y), y))^(n-1))

(18)

 

Download Help_ODE_mmcdara_2.mw

First 22 23 24 25 26 27 28 Last Page 24 of 65