Kitonum

21845 Reputation

26 Badges

17 years, 229 days

MaplePrimes Activity


These are answers submitted by Kitonum

Use polar coordinates:

restart;

f := (r, phi) ->sqrt(25-r^2):

plot3d([r*cos(phi), r*sin(phi), f(r, phi)], r = 3 .. 4, phi = 0 .. 2*Pi, color = khaki, scaling = constrained, view = [-5 .. 5, -5 .. 5, 0 .. 5], axes = normal, labels = [x, y, z]);

                                

 

 

 

Just add the extra line  

local EQU;  

to your procedure:

 

Z_DAK_FSOLVE := proc( PR , TR ) # This routine solves the Dranchuk - Abou Kassem equation for the  Z  gas compressibility factor using Maple's fsolve routine.

local  EQU;

      RHOR(Z,PR,TR)        := 0.27*PR / (Z*TR) :

      C1(TR)               := 0.3265 - 1.07  /TR - 0.5339/(TR^3) + 0.01569/(TR^4) - 0.05165/(TR^5) :

      C2(TR)               := 0.5475 - 0.7361/TR + 0.1844/(TR^2) :

      C3(TR)               := 0.1056*(-0.7361/TR + 0.1844/(TR^2)):

      C4(RHOR(Z,PR,TR),TR) := 0.6134*(1.+0.721*((RHOR(Z,PR,TR))^2))*(((RHOR(Z,PR,TR))^2)/(TR^3))*exp(-0.721*((RHOR(Z,PR,TR))^2)) :

      EQU                  := Z - ( 1. + (C1(TR))*(RHOR(Z,PR,TR)) + (C2(TR))*((RHOR(Z,PR,TR))^2) - (C3(TR))*((RHOR(Z,PR,TR))^5) + (C4(RHOR(Z,PR,TR),TR)) ) :

      fsolve( EQU , Z) :

      return Z:

end proc :

 

 

 

Example:

A1:=[0, 0, 0]:  A2:=[1, 0, 0]:  A3:=[1, 1, 1]:

P:=plottools[polygon]([A1, A2, A3], color=red):

plots[display](P, axes=normal, labels=[x,y,z], orientation=[10,60]);

                       

 

 Edited.

Try  ContoursWithLabels  procedure  from  here

l:=nops(block):

for i to l do

block1[i]:=subsop(seq(j=1-block[i][j], j=3..7), block[i]);

od:

block1 := convert(block1, list);

      block1 := [[0, 1, 1, 1, 0, 1, 0, 1], [0, 1, 0, 1, 1, 1, 1, 1], [0, 1, 0, 1, 0, 1, 0, 0], [0, 1, 0, 1, 0, 1, 1, 1], ...]

 

or even shorter:

block1:=[seq(subsop(seq(j=1-block[i][j], j=3..7), block[i]), i=1..nops(block))];

 

Edited.

with(LinearAlgebra):

m := RowDimension(Ans):

n := ColumnDimension(Ans):

k := 0:

for i from 2 to m do

if convert([seq(Im(Ans[i, j]) <> 0, j = 1 .. n)], `or`) then k := k+1; L[k] := i  fi;

od:

L := convert(L, list):

DeleteRow(Ans, L);

                  

 

 

 

a := rsolve({a(0) = 2, a(n+1) = a(n)+a(n)^2}, a(n), 'makeproc'):

 

Example of use:

a(10); 

  

 

 

 

with(Statistics):

X := RandomVariable(Normal(0, 1));

f := unapply(PDF(X, t), t);

plot(f(t), t = -5 .. 5, color = blue, filled);

                        

 

 

 

The construction by  plot  command:

evalc(subs(z=x+I*y, abs(z*exp(1-z))))=1;

Eq:=solve(%, y);  # Explicit equations for the two branches of the function  y(x)

plot([Eq], x=-1..2,color=red, thickness=2, scaling=constrained);

                              

 

 

 Addition: The equations  Eq  allow  it easy to find, if necessary, loop size, its area, etc.

Edited.

The equations are algebraically dependent, and the second equation is a consequence of the first equation. See

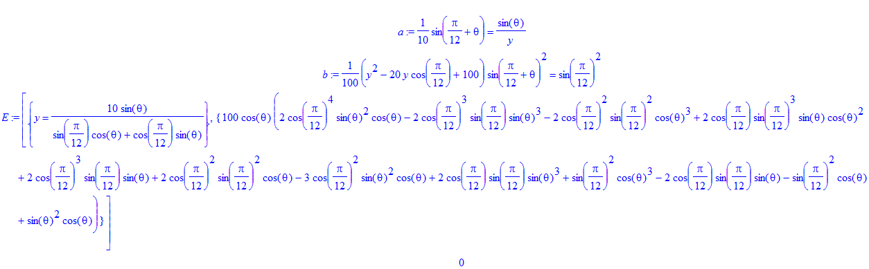
restart;

a:=sin(165*Pi/180-theta)/10=sin(theta)/y;

b:=(y^2-20*y*cos(Pi/12)+100)*sin(165*Pi/180-theta)^2/100=sin(Pi/12)^2;

E:=eliminate({a,b},y);

simplify(E[2,1]);

 

 

That is, if from the first equation we express  y  and substitute into the second equation, we obtain 0. Therefore, it is enough to solve the first equation only, which has a unique solution for each  theta

 View  option helps you:

               

 

 

with(geometry):

point(A,0,0), point(B,4,0), point(C,5,3):

triangle(T, [A, B, C]):

incircle(ic,T, 'centername'=`O`):

L:=plots[textplot]([[0.05,0,A],[4.05,0,B],[5.05,3,C],[coordinates(`O`)[1]+0.05,coordinates(`O`)[2],`O`]], font=[TIMES,ROMAN,20], align=[right,below]):

plots[display](draw([A(symbol = solidcircle),B(symbol = solidcircle),C(symbol = solidcircle), T(color=blue,thickness=2),ic(color=green,thickness=2),`O`(symbol = solidcircle)]),L, view=[-0.5..5.5,-0.5..3.5]);

              

 

 Edited.

 

 


Sys := [m1*(diff(x1(x), x, x))+cv1*(diff(x1(x), x))+(k1+k2+k4)*x1(x)-k2*x2(x)-k4*x3(x) = f1(t), m2*(diff(x2(x), x, x))+cv2*(diff(x2(x), x))-cv2*(diff(x3(x), x))+(k2+k3)*x2(x)-k2*x1(x)-k3*x3(x) = f2(t), m3*(diff(x3(x), x, x))+cv2*(diff(x3(x), x))-cv2*(diff(x2(x), x))+(k3+k4)*x3(x)-k3*x2(x)-k4*x1(x) = f1(t)];

[m1*(diff(diff(x1(x), x), x))+cv1*(diff(x1(x), x))+(k1+k2+k4)*x1(x)-k2*x2(x)-k4*x3(x) = f1(t), m2*(diff(diff(x2(x), x), x))+cv2*(diff(x2(x), x))-cv2*(diff(x3(x), x))+(k2+k3)*x2(x)-k2*x1(x)-k3*x3(x) = f2(t), m3*(diff(diff(x3(x), x), x))+cv2*(diff(x3(x), x))-cv2*(diff(x2(x), x))+(k3+k4)*x3(x)-k3*x2(x)-k4*x1(x) = f1(t)]

(1)

X := [x1(x), x2(x), x3(x)]; DX := diff(X, x); D2X := diff(X, x, x); SM := LinearAlgebra[GenerateMatrix](Sys, X); M1 := SM[1]; SM1 := LinearAlgebra[GenerateMatrix](convert(-SM[2], list), DX); M2 := SM1[1]; SM2 := LinearAlgebra[GenerateMatrix](convert(-SM1[2], list), D2X); M3 := SM2[1]; R := SM2[2]; Result := M3.``(convert(D2X, Vector))+M2.``(convert(DX, Vector))+M1.``(convert(X, Vector)) = R

Typesetting[delayDotProduct](Matrix(3, 3, {(1, 1) = m1, (1, 2) = 0, (1, 3) = 0, (2, 1) = 0, (2, 2) = m2, (2, 3) = 0, (3, 1) = 0, (3, 2) = 0, (3, 3) = m3}), `.`(Vector(3, {(1) = diff(diff(x1(x), x), x), (2) = diff(diff(x2(x), x), x), (3) = diff(diff(x3(x), x), x)})), true)+Typesetting[delayDotProduct](Matrix(3, 3, {(1, 1) = cv1, (1, 2) = 0, (1, 3) = 0, (2, 1) = 0, (2, 2) = cv2, (2, 3) = -cv2, (3, 1) = 0, (3, 2) = -cv2, (3, 3) = cv2}), `.`(Vector(3, {(1) = diff(x1(x), x), (2) = diff(x2(x), x), (3) = diff(x3(x), x)})), true)+Typesetting[delayDotProduct](Matrix(3, 3, {(1, 1) = k1+k2+k4, (1, 2) = -k2, (1, 3) = -k4, (2, 1) = -k2, (2, 2) = k2+k3, (2, 3) = -k3, (3, 1) = -k4, (3, 2) = -k3, (3, 3) = k3+k4}), `.`(Vector(3, {(1) = x1(x), (2) = x2(x), (3) = x3(x)})), true) = (Vector(3, {(1) = f1(t), (2) = f2(t), (3) = f1(t)}))

(2)

NULL


Download SystemMatrixForm.mw

 

Addition: It's a pretty cumbersome solution can easily be rewritten in the form of a procedure, suitable for all the similar systems.

Edited.

The plot of the function  psi(x,eta) = x*f(eta)+int(h(s), s = 0 .. eta):


restart;

eq1:=diff(f(eta),eta,eta,eta)+f(eta)*diff(f(eta),eta,eta)-(diff(f(eta),eta))^2+1:

eq2 := diff(h(eta),eta,eta)+f(eta)*diff(h(eta),eta)-diff(f(eta),eta)*h(eta):

bc:=f(0)=0,D(f)(0)=0,D(f)(6)=1,h(0)=0,D(h)(6)=1:

A1:=dsolve({eq1,eq2,bc}, numeric, method=bvp[midrich], abserr = 1.*10^(-10), output=operator);

plot3d(eval(x*f(eta)+int(h(s), s = 0 .. eta), A1), x=0..1, eta=0..1, axes=normal); 

 

Tilde means element-wise operator.  Let  P  is any command.

P~([A, B, C]);  

is equivalent to

[P(A), P(B), P(C)]; 

 

Tilde as the element-wise operator appeared in Maple 13 or Maple 14. Instead tilde, you can use the older command  map :

map(P, [A, B, C]);

 

For details see help  ?element-wise operators   and   ?map

 

 

First 189 190 191 192 193 194 195 Last Page 191 of 292