Kitonum

21845 Reputation

26 Badges

17 years, 230 days

MaplePrimes Activity


These are answers submitted by Kitonum

q:=T-> sin(T)*_C2+cos(T)*_C1-(1/3000)*Pi*(4012562293500*Pi^3*cos(T)^3-32100498340000*Pi^3*cos(T)^2-3009421720125*Pi^3*cos(T)+16050249170000*Pi^3+435778855000*Pi*cos(T)^2-217889427500*Pi-3539762622):

solve({q(0)=0, D(q)(0)=0});

 

 

In Maple function definition is not provided as a subset of the Cartesian product with special properties. This can be done with a simple procedure.

Definition of a function  if  it is specified as a set of ordered pairs:

f:=proc(x)

local i;

for i in S do

if i[1]=x then return i[2]  fi;

od;

end proc:

 

Your example:

S:={[1,2], [2,a], [3,b]}:

f(1); f(2); f(3);

         2

         a

         b

 

 

 

Finding a monomial with the maximum coefficient:

restart:

expand((1+2*x)^12,x);

L:=convert(PolynomialTools[CoefficientVector](%,x), list); # full list of coefficients

M:=max(L);

op(map(t->t-1, [ListTools[SearchAll](M, L)])); 

 

Edited: solution of the problem:

K:=[]:

for n from 1 do

expand((1+2*x)^n,x);

L:=convert(PolynomialTools[CoefficientVector](%,x), list); 

M:=max(L);

S:=map(t->t-1, [ListTools[SearchAll](M, L)]);

if 8 in S then K:=[op(K),n] fi;

if nops(K)=2 then break fi;

od:

K;

                               [11, 12]

convert((x^2+5*x+9)/(x+2), parfrac);

 

x+3  is  the quotient and  3  (in the numerator)  is the remainder. 

 

restart;

a:=-7:  b:=2:  c:=9:

solve(a*x^2+b*x+c=0, x);

                         -1,  9/7

 

Another way (without assignment):

restart;

simplify({eval(solve(a*x^2+b*x+c = 0, x), {a = -7, b = 2, c = 9})});

                        {-1,  9/7}

! have not any problems with your expression:

expr := a*ln(u) + b*ln(u) + a*ln(v)+b*ln(v);

collect(expr, [ln(u), ln(v)]);

                  expr := a*ln(u)+b*ln(u)+a*ln(v)+b*ln(v)


                               (a+b)*ln(u)+(a+b)*ln(v)

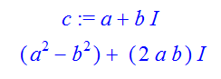
c := a+I*b;

 ``(Re(c^2))+I*``(Im(c^2))  assuming a::realcons, b::realcons;

 

1)  Maple does not know that you assume that  a  and  b  are real numbers.

2)  Construction  ``(...)  prevents the disclosure of the parentheses.

 

poly := x^2*y+x*y*z+x*z;

poly1:=0:

for i in [op(poly)] do

if degree(i, x)=2 then poly1:=poly1+subs(x=a+b, i) else

if degree(i, x)=1 then poly1:=poly1+subs(x=c+d, i) else

poly1:=poly1+i; fi; fi;

od:

poly1;

 

 Another way:

poly := x^2*y+x*y*z+x*z;

map(t->`if`(degree(t, x)=2,subs(x=a+b,t), `if`(degree(t, x)=1,subs(x=c+d,t), t)), poly);

 

 

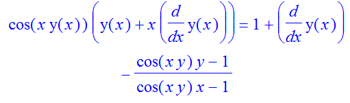
The following code simulates the manual solution:

Eq:=sin(x*y(x)) = x + y(x):

diff(Eq, x);

subs(y(x)=y, solve(%, diff(y(x), x)));

 

 

subs(W[0]=Re*V[0], V[0]/W[0] * diff(u(t),t));

 

Re  is an unfortunate designation because in Maple  Re  means the real part of a complex number.

You can use the construction  ``(...)  to prevent the automatic disclosure of parentheses:

A:=simplify( (a1/2+a2/2)*ln(a1/2+a2/2+sqrt((a1/2+a2/2)^2+(b1/2-b2/2)^2)+d^2)+(a1/2-a2/2)*ln(a1/2-a2/2+sqrt((a1/2-a2/2)^2+(b1/2-b2/2)^2+d^2)), {a1-a2=deltaa,a1+a2=sigmaa}):

a:=-2*b1*b2+b2^2+b1^2;  ``(factor(a));

algsubs(a=%, A);

 

 

Different way - to convert the exponent into the symbol:

A:=simplify( (a1/2+a2/2)*ln(a1/2+a2/2+sqrt((a1/2+a2/2)^2+(b1/2-b2/2)^2)+d^2)+(a1/2-a2/2)*ln(a1/2-a2/2+sqrt((a1/2-a2/2)^2+(b1/2-b2/2)^2+d^2)), {a1-a2=deltaa,a1+a2=sigmaa}):

a:=-2*b1*b2+b2^2+b1^2; subs(2=`2`, factor(a));

algsubs(a=%, A);

 

simplify( (a1/2+a2/2)*ln(a1/2+a2/2+sqrt((a1/2+a2/2)^2+(b1/2-b2/2)^2+d^2))+(a1/2-

a2/2)*ln(a1/2-a2/2+sqrt((a1/2-a2/2)^2+(b1/2-b2/2)^2+d^2)), {a1-a2=deltaa, a1+a2=sigmaa});

 

 

The parts of the cube below and above the surface  z=x^2*y:

plot3d(x^2*y , x=0..1, y = 0 .. 1, filled, color=grey, scaling=constrained, axes=normal, orientation=[25,60], lightmodel=light4);

plottools[translate](plot3d(x^2*y-1 , x=0..1, y = 0 .. 1, filled, color=grey, scaling=constrained, axes=normal, orientation=[25,60], lightmodel=light4), 0, 0, 1);

 

 

 

Сonstruction  ``(...)  was used to prevent premature simplification.  Compound inequality  a<b<c  was replaced by the equivalent  a<b and b<c

1) First step (uncovering brackets):

A:=4477.25 <= ``(expand(4477.25+.25*(t-32450)))  and  ``(expand(4477.25+.25*(t-32450)))<= 16042.25;

                     A := 4477.25 <= ``(-3635.25+.25*t) and ``(-3635.25+.25*t) <= 16042.25

 

2) Second step (adding  of 3635.25 to both sides of the inequality):

B:=lhs(op(1,A))+3635.25<=``(expand(rhs(op(1,A))+3635.25)) and ``(expand(lhs(op(2,A)))+3635.25)<=rhs(op(2,A))+3635.25;

                                  B := 8112.50 <= ``(.25*t) and ``(.25*t) <= 19677.50

 

3) Third step (dividing by 0.25 both sides of the inequality):

map(simplify@(x->x/0.25)@expand, B);

                                                         32450. <= t and t <= 78710.

 

Your original equation:

lambda:=0.1:  k:=0.2:

dsolve({diff(f(eta),eta$3)+f(eta)*diff(f(eta),eta$2)-(diff(f(eta),eta))^2+lambda*(2*f(eta)*(diff(f(eta),eta))*(diff(f(eta),eta,eta))-f(eta)^2*(diff(f(eta),eta,eta,eta)))-K* (diff(f(eta),eta)-1)=0, f(0) = 0, D(f)(0) = 1, D(f)(10) = 0}, f(eta), numeric);

      Error, (in dsolve/numeric/bvp/convertsys) too few boundary conditions: expected 4, got 3

 

After adding the extra condition  no problems:

lambda:=0.1:  k:=0.2:

dsolve({diff(f(eta),eta$3)+f(eta)*diff(f(eta),eta$2)-(diff(f(eta),eta))^2+lambda*(2*f(eta)*(diff(f(eta),eta))*(diff(f(eta),eta,eta))-f(eta)^2*(diff(f(eta),eta,eta,eta)))-K* (diff(f(eta),eta)-1)=0, f(0) = 0, D(f)(0) = 1, f(10)=0, D(f)(10) = 0}, f(eta), numeric);

plots[odeplot](%, [eta, f(eta)], 0..10, thickness=2); 

 

 

First 241 242 243 244 245 246 247 Last Page 243 of 292